念珠菌β- d -葡聚糖检测:阳性决定因素及其与死亡率的关系。

IF 3.1 2区 医学 Q1 DERMATOLOGY
Mycoses Pub Date : 2025-05-01 DOI:10.1111/myc.70067
Karl Oldberg, Jakob Stenmark, Helena Hammarström
{"title":"念珠菌β- d -葡聚糖检测:阳性决定因素及其与死亡率的关系。","authors":"Karl Oldberg, Jakob Stenmark, Helena Hammarström","doi":"10.1111/myc.70067","DOIUrl":null,"url":null,"abstract":"<p><strong>Background: </strong>Serum 1,3-β-d-glucan (BDG) tests are frequently used for diagnosing invasive candidiasis. However, BDG tests remain negative in many patients with candidemia, and factors influencing the probability for positive test results are poorly understood.</p><p><strong>Objectives: </strong>To study clinical and microbiological factors predictive of a positive BDG test, as well as the association of a positive BDG test with mortality in patients with candidemia.</p><p><strong>Methods: </strong>In a retrospective cohort of patients with candidemia, BDG was analysed by the Glucatell assay and the Wako Beta-Glucan Test. Predisposing conditions, focus of infection and other variables were retrieved from medical charts and laboratory databases. Their association with a positive BDG test, and the association between positive BDG and death was tested in univariate analysis and multivariable logistic regression.</p><p><strong>Results: </strong>We included 134 patients with candidemia. Positive BDG and a non-abdominal deep-seated focus of infection (e.g., hematogenously disseminated infection and deep mediastinal/pleural candidiasis) were positively correlated in univariate and multivariable analyses [Wako adjusted odds ratio 9.11 (95% CI 1.66-172, p = 0.039), Glucatell adjOR 9.14 (95% CI 1.66-172, p = 0.039)]. Having a positive BDG test increased the risk for 90 days mortality after controlling for potential confounders, mainly age, septic shock, and ICU admission [Wako adjOR 4.73 (95% CI 1.71-14.7, p = 0.0043), Glucatell adjOR 3.59 (95% CI 1.33-10.6, p = 0.015)].</p><p><strong>Conclusions: </strong>In patients with candidemia, a positive BDG test is more common in the presence of a concomitant non-abdominal deep-seated infection. Patients with a positive BDG test have a higher 90-day mortality.</p>","PeriodicalId":18797,"journal":{"name":"Mycoses","volume":"68 5","pages":"e70067"},"PeriodicalIF":3.1000,"publicationDate":"2025-05-01","publicationTypes":"Journal Article","fieldsOfStudy":null,"isOpenAccess":false,"openAccessPdf":"https://www.ncbi.nlm.nih.gov/pmc/articles/PMC12068012/pdf/","citationCount":"0","resultStr":"{\"title\":\"β-D-Glucan Testing in Candidemia: Determinants of Positivity and Association With Mortality.\",\"authors\":\"Karl Oldberg, Jakob Stenmark, Helena Hammarström\",\"doi\":\"10.1111/myc.70067\",\"DOIUrl\":null,\"url\":null,\"abstract\":\"<p><strong>Background: </strong>Serum 1,3-β-d-glucan (BDG) tests are frequently used for diagnosing invasive candidiasis. However, BDG tests remain negative in many patients with candidemia, and factors influencing the probability for positive test results are poorly understood.</p><p><strong>Objectives: </strong>To study clinical and microbiological factors predictive of a positive BDG test, as well as the association of a positive BDG test with mortality in patients with candidemia.</p><p><strong>Methods: </strong>In a retrospective cohort of patients with candidemia, BDG was analysed by the Glucatell assay and the Wako Beta-Glucan Test. Predisposing conditions, focus of infection and other variables were retrieved from medical charts and laboratory databases. Their association with a positive BDG test, and the association between positive BDG and death was tested in univariate analysis and multivariable logistic regression.</p><p><strong>Results: </strong>We included 134 patients with candidemia. Positive BDG and a non-abdominal deep-seated focus of infection (e.g., hematogenously disseminated infection and deep mediastinal/pleural candidiasis) were positively correlated in univariate and multivariable analyses [Wako adjusted odds ratio 9.11 (95% CI 1.66-172, p = 0.039), Glucatell adjOR 9.14 (95% CI 1.66-172, p = 0.039)]. Having a positive BDG test increased the risk for 90 days mortality after controlling for potential confounders, mainly age, septic shock, and ICU admission [Wako adjOR 4.73 (95% CI 1.71-14.7, p = 0.0043), Glucatell adjOR 3.59 (95% CI 1.33-10.6, p = 0.015)].</p><p><strong>Conclusions: </strong>In patients with candidemia, a positive BDG test is more common in the presence of a concomitant non-abdominal deep-seated infection. Patients with a positive BDG test have a higher 90-day mortality.</p>\",\"PeriodicalId\":18797,\"journal\":{\"name\":\"Mycoses\",\"volume\":\"68 5\",\"pages\":\"e70067\"},\"PeriodicalIF\":3.1000,\"publicationDate\":\"2025-05-01\",\"publicationTypes\":\"Journal Article\",\"fieldsOfStudy\":null,\"isOpenAccess\":false,\"openAccessPdf\":\"https://www.ncbi.nlm.nih.gov/pmc/articles/PMC12068012/pdf/\",\"citationCount\":\"0\",\"resultStr\":null,\"platform\":\"Semanticscholar\",\"paperid\":null,\"PeriodicalName\":\"Mycoses\",\"FirstCategoryId\":\"3\",\"ListUrlMain\":\"https://doi.org/10.1111/myc.70067\",\"RegionNum\":2,\"RegionCategory\":\"医学\",\"ArticlePicture\":[],\"TitleCN\":null,\"AbstractTextCN\":null,\"PMCID\":null,\"EPubDate\":\"\",\"PubModel\":\"\",\"JCR\":\"Q1\",\"JCRName\":\"DERMATOLOGY\",\"Score\":null,\"Total\":0}","platform":"Semanticscholar","paperid":null,"PeriodicalName":"Mycoses","FirstCategoryId":"3","ListUrlMain":"https://doi.org/10.1111/myc.70067","RegionNum":2,"RegionCategory":"医学","ArticlePicture":[],"TitleCN":null,"AbstractTextCN":null,"PMCID":null,"EPubDate":"","PubModel":"","JCR":"Q1","JCRName":"DERMATOLOGY","Score":null,"Total":0}
引用次数: 0

摘要

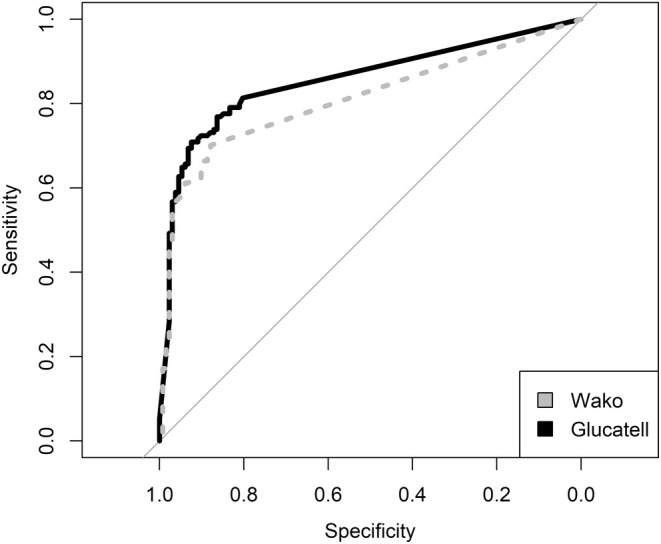
背景:血清1,3-β-d-葡聚糖(BDG)检测常用于诊断侵袭性念珠菌病。然而,在许多念珠菌病患者中,BDG检测仍为阴性,而影响检测结果阳性概率的因素尚不清楚。目的:研究预测BDG检测阳性的临床和微生物因素,以及BDG检测阳性与念珠菌病患者死亡率的关系。方法:对念珠菌血症患者进行回顾性队列分析,采用Glucatell试验和Wako β -葡聚糖试验分析BDG。从医学图表和实验室数据库中检索易感条件、感染焦点和其他变量。用单因素分析和多因素logistic回归检验了它们与BDG阳性的相关性,以及BDG阳性与死亡的相关性。结果:我们纳入134例念珠菌病患者。在单因素和多因素分析中,BDG阳性与非腹部深部感染灶(如血源性弥散性感染和深纵隔/胸膜念珠菌病)呈正相关[Wako校正比值比为9.11 (95% CI 1.66-172, p = 0.039), Glucatell adjOR为9.14 (95% CI 1.66-172, p = 0.039)]。在控制了潜在混杂因素(主要是年龄、感染性休克和ICU入院)后,BDG检测阳性增加了90天死亡率的风险[Wako值4.73 (95% CI 1.71-14.7, p = 0.0043), Glucatell值3.59 (95% CI 1.33-10.6, p = 0.015)]。结论:在念珠菌病患者中,伴有非腹腔深部感染的BDG检测阳性更为常见。BDG检测阳性的患者90天死亡率较高。
本文章由计算机程序翻译,如有差异,请以英文原文为准。

β-D-Glucan Testing in Candidemia: Determinants of Positivity and Association With Mortality.

β-D-Glucan Testing in Candidemia: Determinants of Positivity and Association With Mortality.

β-D-Glucan Testing in Candidemia: Determinants of Positivity and Association With Mortality.

β-D-Glucan Testing in Candidemia: Determinants of Positivity and Association With Mortality.

Background: Serum 1,3-β-d-glucan (BDG) tests are frequently used for diagnosing invasive candidiasis. However, BDG tests remain negative in many patients with candidemia, and factors influencing the probability for positive test results are poorly understood.

Objectives: To study clinical and microbiological factors predictive of a positive BDG test, as well as the association of a positive BDG test with mortality in patients with candidemia.

Methods: In a retrospective cohort of patients with candidemia, BDG was analysed by the Glucatell assay and the Wako Beta-Glucan Test. Predisposing conditions, focus of infection and other variables were retrieved from medical charts and laboratory databases. Their association with a positive BDG test, and the association between positive BDG and death was tested in univariate analysis and multivariable logistic regression.

Results: We included 134 patients with candidemia. Positive BDG and a non-abdominal deep-seated focus of infection (e.g., hematogenously disseminated infection and deep mediastinal/pleural candidiasis) were positively correlated in univariate and multivariable analyses [Wako adjusted odds ratio 9.11 (95% CI 1.66-172, p = 0.039), Glucatell adjOR 9.14 (95% CI 1.66-172, p = 0.039)]. Having a positive BDG test increased the risk for 90 days mortality after controlling for potential confounders, mainly age, septic shock, and ICU admission [Wako adjOR 4.73 (95% CI 1.71-14.7, p = 0.0043), Glucatell adjOR 3.59 (95% CI 1.33-10.6, p = 0.015)].

Conclusions: In patients with candidemia, a positive BDG test is more common in the presence of a concomitant non-abdominal deep-seated infection. Patients with a positive BDG test have a higher 90-day mortality.

求助全文
通过发布文献求助,成功后即可免费获取论文全文。 去求助
来源期刊
Mycoses
Mycoses 医学-皮肤病学
CiteScore
10.00
自引率
8.20%
发文量
143
审稿时长
6-12 weeks
期刊介绍: The journal Mycoses provides an international forum for original papers in English on the pathogenesis, diagnosis, therapy, prophylaxis, and epidemiology of fungal infectious diseases in humans as well as on the biology of pathogenic fungi. Medical mycology as part of medical microbiology is advancing rapidly. Effective therapeutic strategies are already available in chemotherapy and are being further developed. Their application requires reliable laboratory diagnostic techniques, which, in turn, result from mycological basic research. Opportunistic mycoses vary greatly in their clinical and pathological symptoms, because the underlying disease of a patient at risk decisively determines their symptomatology and progress. The journal Mycoses is therefore of interest to scientists in fundamental mycological research, mycological laboratory diagnosticians and clinicians interested in fungal infections.
×
引用
GB/T 7714-2015
复制
MLA
复制
APA
复制
导出至
BibTeX EndNote RefMan NoteFirst NoteExpress
×
提示
您的信息不完整,为了账户安全,请先补充。
现在去补充
×
提示
您因"违规操作"
具体请查看互助需知
我知道了
×
提示
确定
请完成安全验证×
copy
已复制链接
快去分享给好友吧!
我知道了
右上角分享
点击右上角分享
0
联系我们:info@booksci.cn Book学术提供免费学术资源搜索服务,方便国内外学者检索中英文文献。致力于提供最便捷和优质的服务体验。 Copyright © 2023 布克学术 All rights reserved.
京ICP备2023020795号-1
ghs 京公网安备 11010802042870号
Book学术文献互助
Book学术文献互助群
群 号:604180095
Book学术官方微信