有减肥手术史的孕妇妊娠期糖尿病发病率的服务评价

IF 3.9 4区 医学 Q1 MEDICINE, GENERAL & INTERNAL
Clinical Medicine Pub Date : 2025-05-01 Epub Date: 2025-04-29 DOI:10.1016/j.clinme.2025.100318
B Jenner, D Jones, L C Kusinski, C Patient, A Park, A Sarker, V Bansiya, E M Gurnell, C L Meek
{"title":"有减肥手术史的孕妇妊娠期糖尿病发病率的服务评价","authors":"B Jenner, D Jones, L C Kusinski, C Patient, A Park, A Sarker, V Bansiya, E M Gurnell, C L Meek","doi":"10.1016/j.clinme.2025.100318","DOIUrl":null,"url":null,"abstract":"<p><strong>Background: </strong>Pregnant women with previous bariatric surgery are at increased risk of gestational diabetes mellitus (GDM) but many cannot safely tolerate the oral glucose tolerance test (OGTT). Consensus recommendations advise self-monitoring of blood glucose (SMBG) for GDM diagnosis, but diagnostic thresholds are unexplored in this population.</p><p><strong>Study objective: </strong>To assess the incidence of SMBG-defined GDM (fasting, 1-hr postprandial thresholds: 90, 140 mg/dL (5.3, 7.8 mmol/L)) after bariatric surgery, compared to the incidence of OGTT-defined GDM in women with risk factors for GDM but no history of bariatric surgery.</p><p><strong>Design and setting: </strong>Patients with a history of bariatric surgery (n=24) were included in a retrospective service evaluation based at a single tertiary referral centre in England, with results compared to a national study of women at high risk of GDM but without a history of bariatric surgery (n=1,308).</p><p><strong>Main outcome measures: </strong>The incidence of GDM diagnosed according to SMBG vs OGTT.</p><p><strong>Results: </strong>GDM incidence was 16/24 (66.7%; SMBG-defined) after bariatric surgery and 121/1,308 (9.3%; OGTT-defined) in the control group, with the highest incidence rates seen after gastric bypass (85.7%). In women with previous bariatric surgery, HbA1c showed no association with GDM diagnosis, the requirement for treatment or offspring birth weight.</p><p><strong>Conclusions: </strong>SMBG at standard thresholds is not able to reliably diagnose GDM after bariatric surgery and is likely to over-diagnose GDM, especially after gastric bypass, although small sample size limits generalisability of this study. Alternative diagnostic and prognostic markers are warranted for diagnosis of GDM after bariatric surgery.</p>","PeriodicalId":10492,"journal":{"name":"Clinical Medicine","volume":" ","pages":"100318"},"PeriodicalIF":3.9000,"publicationDate":"2025-05-01","publicationTypes":"Journal Article","fieldsOfStudy":null,"isOpenAccess":false,"openAccessPdf":"https://www.ncbi.nlm.nih.gov/pmc/articles/PMC12144429/pdf/","citationCount":"0","resultStr":"{\"title\":\"Incidence of gestational diabetes in pregnant women with a history of bariatric surgery using a service evaluation.\",\"authors\":\"B Jenner, D Jones, L C Kusinski, C Patient, A Park, A Sarker, V Bansiya, E M Gurnell, C L Meek\",\"doi\":\"10.1016/j.clinme.2025.100318\",\"DOIUrl\":null,\"url\":null,\"abstract\":\"<p><strong>Background: </strong>Pregnant women with previous bariatric surgery are at increased risk of gestational diabetes mellitus (GDM) but many cannot safely tolerate the oral glucose tolerance test (OGTT). Consensus recommendations advise self-monitoring of blood glucose (SMBG) for GDM diagnosis, but diagnostic thresholds are unexplored in this population.</p><p><strong>Study objective: </strong>To assess the incidence of SMBG-defined GDM (fasting, 1-hr postprandial thresholds: 90, 140 mg/dL (5.3, 7.8 mmol/L)) after bariatric surgery, compared to the incidence of OGTT-defined GDM in women with risk factors for GDM but no history of bariatric surgery.</p><p><strong>Design and setting: </strong>Patients with a history of bariatric surgery (n=24) were included in a retrospective service evaluation based at a single tertiary referral centre in England, with results compared to a national study of women at high risk of GDM but without a history of bariatric surgery (n=1,308).</p><p><strong>Main outcome measures: </strong>The incidence of GDM diagnosed according to SMBG vs OGTT.</p><p><strong>Results: </strong>GDM incidence was 16/24 (66.7%; SMBG-defined) after bariatric surgery and 121/1,308 (9.3%; OGTT-defined) in the control group, with the highest incidence rates seen after gastric bypass (85.7%). In women with previous bariatric surgery, HbA1c showed no association with GDM diagnosis, the requirement for treatment or offspring birth weight.</p><p><strong>Conclusions: </strong>SMBG at standard thresholds is not able to reliably diagnose GDM after bariatric surgery and is likely to over-diagnose GDM, especially after gastric bypass, although small sample size limits generalisability of this study. Alternative diagnostic and prognostic markers are warranted for diagnosis of GDM after bariatric surgery.</p>\",\"PeriodicalId\":10492,\"journal\":{\"name\":\"Clinical Medicine\",\"volume\":\" \",\"pages\":\"100318\"},\"PeriodicalIF\":3.9000,\"publicationDate\":\"2025-05-01\",\"publicationTypes\":\"Journal Article\",\"fieldsOfStudy\":null,\"isOpenAccess\":false,\"openAccessPdf\":\"https://www.ncbi.nlm.nih.gov/pmc/articles/PMC12144429/pdf/\",\"citationCount\":\"0\",\"resultStr\":null,\"platform\":\"Semanticscholar\",\"paperid\":null,\"PeriodicalName\":\"Clinical Medicine\",\"FirstCategoryId\":\"3\",\"ListUrlMain\":\"https://doi.org/10.1016/j.clinme.2025.100318\",\"RegionNum\":4,\"RegionCategory\":\"医学\",\"ArticlePicture\":[],\"TitleCN\":null,\"AbstractTextCN\":null,\"PMCID\":null,\"EPubDate\":\"2025/4/29 0:00:00\",\"PubModel\":\"Epub\",\"JCR\":\"Q1\",\"JCRName\":\"MEDICINE, GENERAL & INTERNAL\",\"Score\":null,\"Total\":0}","platform":"Semanticscholar","paperid":null,"PeriodicalName":"Clinical Medicine","FirstCategoryId":"3","ListUrlMain":"https://doi.org/10.1016/j.clinme.2025.100318","RegionNum":4,"RegionCategory":"医学","ArticlePicture":[],"TitleCN":null,"AbstractTextCN":null,"PMCID":null,"EPubDate":"2025/4/29 0:00:00","PubModel":"Epub","JCR":"Q1","JCRName":"MEDICINE, GENERAL & INTERNAL","Score":null,"Total":0}
引用次数: 0

摘要

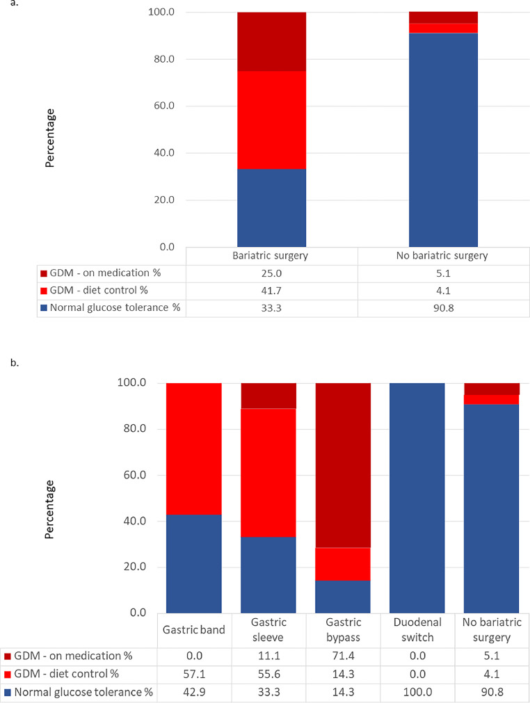
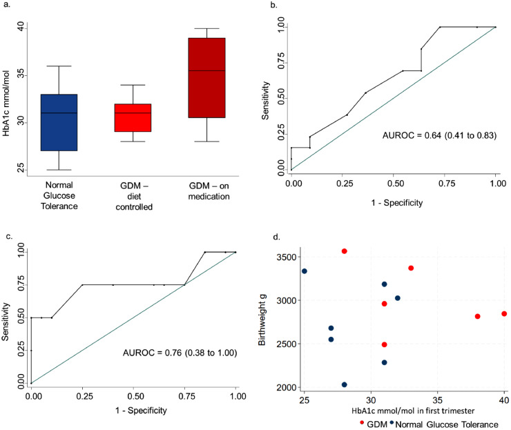
背景:既往接受过减肥手术的孕妇患妊娠期糖尿病(GDM)的风险增加,但许多人不能安全地耐受口服葡萄糖耐量试验(OGTT)。共识建议自我监测血糖(SMBG)诊断GDM,但诊断阈值尚未在这一人群中探索。研究目的:评估减肥手术后smbg定义的GDM(空腹,餐后1小时阈值:90、140 mg/dl(5.3、7.8 mmol/l))的发生率,与ogtt定义的GDM在有GDM危险因素但没有减肥手术史的女性中的发生率进行比较。设计和背景:有减肥手术史的患者(n=24)被纳入基于英格兰单一中心三级转诊中心的回顾性服务评估,结果与一项针对GDM高风险但没有减肥手术史的女性的全国性研究(n=1308)进行比较。主要结局指标:根据SMBG和OGTT诊断的GDM发生率。结果:GDM发病率为16/24 (66.7%);smbg定义)和121/1308 (9.3%;ogtt定义),胃旁路术后发生率最高(85.7%)。在既往接受过减肥手术的女性中,HbA1c与GDM诊断、治疗需求或后代出生体重无关。结论:标准阈值的SMBG不能可靠地诊断减肥手术后的GDM,而且有可能过度诊断GDM,特别是胃分流术后,尽管小样本量限制了本研究的普遍性。对于减肥手术后的GDM的诊断,需要其他的诊断和预后指标。
本文章由计算机程序翻译,如有差异,请以英文原文为准。

Incidence of gestational diabetes in pregnant women with a history of bariatric surgery using a service evaluation.

Incidence of gestational diabetes in pregnant women with a history of bariatric surgery using a service evaluation.

Incidence of gestational diabetes in pregnant women with a history of bariatric surgery using a service evaluation.

Background: Pregnant women with previous bariatric surgery are at increased risk of gestational diabetes mellitus (GDM) but many cannot safely tolerate the oral glucose tolerance test (OGTT). Consensus recommendations advise self-monitoring of blood glucose (SMBG) for GDM diagnosis, but diagnostic thresholds are unexplored in this population.

Study objective: To assess the incidence of SMBG-defined GDM (fasting, 1-hr postprandial thresholds: 90, 140 mg/dL (5.3, 7.8 mmol/L)) after bariatric surgery, compared to the incidence of OGTT-defined GDM in women with risk factors for GDM but no history of bariatric surgery.

Design and setting: Patients with a history of bariatric surgery (n=24) were included in a retrospective service evaluation based at a single tertiary referral centre in England, with results compared to a national study of women at high risk of GDM but without a history of bariatric surgery (n=1,308).

Main outcome measures: The incidence of GDM diagnosed according to SMBG vs OGTT.

Results: GDM incidence was 16/24 (66.7%; SMBG-defined) after bariatric surgery and 121/1,308 (9.3%; OGTT-defined) in the control group, with the highest incidence rates seen after gastric bypass (85.7%). In women with previous bariatric surgery, HbA1c showed no association with GDM diagnosis, the requirement for treatment or offspring birth weight.

Conclusions: SMBG at standard thresholds is not able to reliably diagnose GDM after bariatric surgery and is likely to over-diagnose GDM, especially after gastric bypass, although small sample size limits generalisability of this study. Alternative diagnostic and prognostic markers are warranted for diagnosis of GDM after bariatric surgery.

求助全文
通过发布文献求助,成功后即可免费获取论文全文。 去求助
来源期刊
Clinical Medicine
Clinical Medicine 医学-医学:内科
CiteScore
7.20
自引率
0.00%
发文量
0
审稿时长
6-12 weeks
期刊介绍: Clinical Medicine is aimed at practising physicians in the UK and overseas and has relevance to all those managing or working within the healthcare sector. Available in print and online, the journal seeks to encourage high standards of medical care by promoting good clinical practice through original research, review and comment. The journal also includes a dedicated continuing medical education (CME) section in each issue. This presents the latest advances in a chosen specialty, with self-assessment questions at the end of each topic enabling CPD accreditation to be acquired. ISSN: 1470-2118 E-ISSN: 1473-4893 Frequency: 6 issues per year
×
引用
GB/T 7714-2015
复制
MLA
复制
APA
复制
导出至
BibTeX EndNote RefMan NoteFirst NoteExpress
×
提示
您的信息不完整,为了账户安全,请先补充。
现在去补充
×
提示
您因"违规操作"
具体请查看互助需知
我知道了
×
提示
确定
请完成安全验证×
copy
已复制链接
快去分享给好友吧!
我知道了
右上角分享
点击右上角分享
0
联系我们:info@booksci.cn Book学术提供免费学术资源搜索服务,方便国内外学者检索中英文文献。致力于提供最便捷和优质的服务体验。 Copyright © 2023 布克学术 All rights reserved.
京ICP备2023020795号-1
ghs 京公网安备 11010802042870号
Book学术文献互助
Book学术文献互助群
群 号:604180095
Book学术官方微信