严重精神障碍患者中孤独和社会隔离的患病率:系统回顾和荟萃分析。

IF 6.1 2区 医学 Q1 PSYCHIATRY
André Hajek, Razak M Gyasi, Supa Pengpid, Karl Peltzer, Karel Kostev, Pinar Soysal, Lee Smith, Louis Jacob, Nicola Veronese, Hans-Helmut König
{"title":"严重精神障碍患者中孤独和社会隔离的患病率:系统回顾和荟萃分析。","authors":"André Hajek, Razak M Gyasi, Supa Pengpid, Karl Peltzer, Karel Kostev, Pinar Soysal, Lee Smith, Louis Jacob, Nicola Veronese, Hans-Helmut König","doi":"10.1017/S2045796025000228","DOIUrl":null,"url":null,"abstract":"<p><strong>Aims: </strong>A systematic review and meta-analysis was conducted to investigate the prevalence and antecedents/outcomes of loneliness and social isolation among individuals with severe mental disorders (SMD), such as schizophrenia, schizoaffective disorder, bipolar disorder or major depressive disorder.</p><p><strong>Methods: </strong>Five well-known electronic databases (PubMed, PsycINFO, CINAHL, Web of Science and Scopus) were searched (plus a hand search). Observational studies that report the prevalence and, if available, antecedents and consequences of loneliness/isolation among individuals with SMD were included. Key characteristics were extracted, and a meta-analysis was performed. Our systematic review was preregistered on PROSPERO (ID: CRD42024559043). The PRISMA guidelines were followed. The Joanna Briggs Institute (JBI) standardized critical appraisal tool developed for prevalence studies was applied to assess the quality of the included studies.</p><p><strong>Results: </strong>The initial search yielded 4506 records, and after duplicate removal and screening, a total of 10 studies were finally included. The studies included used data from Europe, Asia, North America, and Oceania. Two studies employed a longitudinal design, while all other studies had a cross-sectional design. Most of the studies included between 100 and 500 individuals with SMD. All studies involved both male and female participants, with women typically comprising about 40% of the sample. The average age of participants often ranged from approximately 30 to 40 years. The estimated prevalence of loneliness was 59.1% (95% CI: 39.6% to 78.6%, <i>I</i><sup>2</sup> = 99.3, <i>P</i> < .001) among individuals with any diagnosis of SMD. Furthermore, the estimated prevalence of objective social isolation was 63.0% (95% CI: 58.6% to 67.4%) among individuals with schizophrenia or schizophrenia spectrum disorder. The quality of the studies was moderate to good. Subjective well-being and depressive symptoms in particular were found to contribute to loneliness in the included studies.</p><p><strong>Conclusions: </strong>The present systematic review with meta-analysis identified high levels of loneliness and objective social isolation among those with SMD. These findings stress the importance of monitoring and addressing social needs in this vulnerable group, which may have a positive effect on the life quality of individuals with SMD. Future research in neglected regions (e.g. South America and Africa) is recommended. Different diagnoses within severe mental disorders should be distinguished in future studies. Furthermore, additional longitudinal studies are required to explore the antecedents and consequences of loneliness and social isolation among individuals with SMD.</p>","PeriodicalId":11787,"journal":{"name":"Epidemiology and Psychiatric Sciences","volume":"34 ","pages":"e25"},"PeriodicalIF":6.1000,"publicationDate":"2025-04-15","publicationTypes":"Journal Article","fieldsOfStudy":null,"isOpenAccess":false,"openAccessPdf":"https://www.ncbi.nlm.nih.gov/pmc/articles/PMC12037343/pdf/","citationCount":"0","resultStr":"{\"title\":\"Prevalence of loneliness and social isolation amongst individuals with severe mental disorders: a systematic review and meta-analysis.\",\"authors\":\"André Hajek, Razak M Gyasi, Supa Pengpid, Karl Peltzer, Karel Kostev, Pinar Soysal, Lee Smith, Louis Jacob, Nicola Veronese, Hans-Helmut König\",\"doi\":\"10.1017/S2045796025000228\",\"DOIUrl\":null,\"url\":null,\"abstract\":\"<p><strong>Aims: </strong>A systematic review and meta-analysis was conducted to investigate the prevalence and antecedents/outcomes of loneliness and social isolation among individuals with severe mental disorders (SMD), such as schizophrenia, schizoaffective disorder, bipolar disorder or major depressive disorder.</p><p><strong>Methods: </strong>Five well-known electronic databases (PubMed, PsycINFO, CINAHL, Web of Science and Scopus) were searched (plus a hand search). Observational studies that report the prevalence and, if available, antecedents and consequences of loneliness/isolation among individuals with SMD were included. Key characteristics were extracted, and a meta-analysis was performed. Our systematic review was preregistered on PROSPERO (ID: CRD42024559043). The PRISMA guidelines were followed. The Joanna Briggs Institute (JBI) standardized critical appraisal tool developed for prevalence studies was applied to assess the quality of the included studies.</p><p><strong>Results: </strong>The initial search yielded 4506 records, and after duplicate removal and screening, a total of 10 studies were finally included. The studies included used data from Europe, Asia, North America, and Oceania. Two studies employed a longitudinal design, while all other studies had a cross-sectional design. Most of the studies included between 100 and 500 individuals with SMD. All studies involved both male and female participants, with women typically comprising about 40% of the sample. The average age of participants often ranged from approximately 30 to 40 years. The estimated prevalence of loneliness was 59.1% (95% CI: 39.6% to 78.6%, <i>I</i><sup>2</sup> = 99.3, <i>P</i> < .001) among individuals with any diagnosis of SMD. Furthermore, the estimated prevalence of objective social isolation was 63.0% (95% CI: 58.6% to 67.4%) among individuals with schizophrenia or schizophrenia spectrum disorder. The quality of the studies was moderate to good. Subjective well-being and depressive symptoms in particular were found to contribute to loneliness in the included studies.</p><p><strong>Conclusions: </strong>The present systematic review with meta-analysis identified high levels of loneliness and objective social isolation among those with SMD. These findings stress the importance of monitoring and addressing social needs in this vulnerable group, which may have a positive effect on the life quality of individuals with SMD. Future research in neglected regions (e.g. South America and Africa) is recommended. Different diagnoses within severe mental disorders should be distinguished in future studies. Furthermore, additional longitudinal studies are required to explore the antecedents and consequences of loneliness and social isolation among individuals with SMD.</p>\",\"PeriodicalId\":11787,\"journal\":{\"name\":\"Epidemiology and Psychiatric Sciences\",\"volume\":\"34 \",\"pages\":\"e25\"},\"PeriodicalIF\":6.1000,\"publicationDate\":\"2025-04-15\",\"publicationTypes\":\"Journal Article\",\"fieldsOfStudy\":null,\"isOpenAccess\":false,\"openAccessPdf\":\"https://www.ncbi.nlm.nih.gov/pmc/articles/PMC12037343/pdf/\",\"citationCount\":\"0\",\"resultStr\":null,\"platform\":\"Semanticscholar\",\"paperid\":null,\"PeriodicalName\":\"Epidemiology and Psychiatric Sciences\",\"FirstCategoryId\":\"3\",\"ListUrlMain\":\"https://doi.org/10.1017/S2045796025000228\",\"RegionNum\":2,\"RegionCategory\":\"医学\",\"ArticlePicture\":[],\"TitleCN\":null,\"AbstractTextCN\":null,\"PMCID\":null,\"EPubDate\":\"\",\"PubModel\":\"\",\"JCR\":\"Q1\",\"JCRName\":\"PSYCHIATRY\",\"Score\":null,\"Total\":0}","platform":"Semanticscholar","paperid":null,"PeriodicalName":"Epidemiology and Psychiatric Sciences","FirstCategoryId":"3","ListUrlMain":"https://doi.org/10.1017/S2045796025000228","RegionNum":2,"RegionCategory":"医学","ArticlePicture":[],"TitleCN":null,"AbstractTextCN":null,"PMCID":null,"EPubDate":"","PubModel":"","JCR":"Q1","JCRName":"PSYCHIATRY","Score":null,"Total":0}
引用次数: 0

摘要

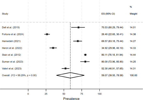
目的:通过系统回顾和荟萃分析,调查重度精神障碍(如精神分裂症、分裂情感障碍、双相情感障碍或重度抑郁症)患者孤独感和社会隔离的患病率和前因/结果。方法:检索PubMed、PsycINFO、CINAHL、Web of Science、Scopus五大知名电子数据库(外加手工检索)。观察性研究报告了SMD患者中孤独/孤立的患病率,如果有的话,还报告了其前因后果。提取关键特征,并进行meta分析。我们的系统评价在PROSPERO (ID: CRD42024559043)上进行了预注册。遵循了PRISMA准则。采用乔安娜布里格斯研究所(JBI)为流行病学研究开发的标准化关键评估工具来评估纳入研究的质量。结果:最初检索到4506条记录,经过重复删除和筛选,最终纳入10项研究。这些研究使用了来自欧洲、亚洲、北美和大洋洲的数据。两项研究采用纵向设计,而所有其他研究采用横断面设计。大多数研究包括100到500名患有抑郁症的人。所有的研究都涉及男性和女性参与者,女性通常占样本的40%左右。参与者的平均年龄通常在30到40岁之间。在任何诊断为SMD的个体中,孤独感的估计患病率为59.1% (95% CI: 39.6%至78.6%,I2 = 99.3, P < 0.001)。此外,在精神分裂症或精神分裂症谱系障碍患者中,客观社会隔离的估计患病率为63.0% (95% CI: 58.6%至67.4%)。研究的质量从中等到良好。在纳入的研究中,主观幸福感和抑郁症状尤其被发现会导致孤独感。结论:本系统综述结合荟萃分析发现,重度抑郁患者存在高度的孤独感和客观社会隔离。这些发现强调了监测和解决这一弱势群体的社会需求的重要性,这可能对SMD患者的生活质量产生积极影响。建议今后在被忽视的区域(如南美洲和非洲)开展研究。在今后的研究中,应区分严重精神障碍的不同诊断。此外,还需要更多的纵向研究来探索重度抑郁症患者孤独感和社会孤立的前因后果。
本文章由计算机程序翻译,如有差异,请以英文原文为准。

Prevalence of loneliness and social isolation amongst individuals with severe mental disorders: a systematic review and meta-analysis.

Prevalence of loneliness and social isolation amongst individuals with severe mental disorders: a systematic review and meta-analysis.

Prevalence of loneliness and social isolation amongst individuals with severe mental disorders: a systematic review and meta-analysis.

Prevalence of loneliness and social isolation amongst individuals with severe mental disorders: a systematic review and meta-analysis.

Aims: A systematic review and meta-analysis was conducted to investigate the prevalence and antecedents/outcomes of loneliness and social isolation among individuals with severe mental disorders (SMD), such as schizophrenia, schizoaffective disorder, bipolar disorder or major depressive disorder.

Methods: Five well-known electronic databases (PubMed, PsycINFO, CINAHL, Web of Science and Scopus) were searched (plus a hand search). Observational studies that report the prevalence and, if available, antecedents and consequences of loneliness/isolation among individuals with SMD were included. Key characteristics were extracted, and a meta-analysis was performed. Our systematic review was preregistered on PROSPERO (ID: CRD42024559043). The PRISMA guidelines were followed. The Joanna Briggs Institute (JBI) standardized critical appraisal tool developed for prevalence studies was applied to assess the quality of the included studies.

Results: The initial search yielded 4506 records, and after duplicate removal and screening, a total of 10 studies were finally included. The studies included used data from Europe, Asia, North America, and Oceania. Two studies employed a longitudinal design, while all other studies had a cross-sectional design. Most of the studies included between 100 and 500 individuals with SMD. All studies involved both male and female participants, with women typically comprising about 40% of the sample. The average age of participants often ranged from approximately 30 to 40 years. The estimated prevalence of loneliness was 59.1% (95% CI: 39.6% to 78.6%, I2 = 99.3, P < .001) among individuals with any diagnosis of SMD. Furthermore, the estimated prevalence of objective social isolation was 63.0% (95% CI: 58.6% to 67.4%) among individuals with schizophrenia or schizophrenia spectrum disorder. The quality of the studies was moderate to good. Subjective well-being and depressive symptoms in particular were found to contribute to loneliness in the included studies.

Conclusions: The present systematic review with meta-analysis identified high levels of loneliness and objective social isolation among those with SMD. These findings stress the importance of monitoring and addressing social needs in this vulnerable group, which may have a positive effect on the life quality of individuals with SMD. Future research in neglected regions (e.g. South America and Africa) is recommended. Different diagnoses within severe mental disorders should be distinguished in future studies. Furthermore, additional longitudinal studies are required to explore the antecedents and consequences of loneliness and social isolation among individuals with SMD.

求助全文
通过发布文献求助,成功后即可免费获取论文全文。 去求助
来源期刊
CiteScore
7.80
自引率
1.20%
发文量
121
审稿时长
>12 weeks
期刊介绍: Epidemiology and Psychiatric Sciences is a prestigious international, peer-reviewed journal that has been publishing in Open Access format since 2020. Formerly known as Epidemiologia e Psichiatria Sociale and established in 1992 by Michele Tansella, the journal prioritizes highly relevant and innovative research articles and systematic reviews in the areas of public mental health and policy, mental health services and system research, as well as epidemiological and social psychiatry. Join us in advancing knowledge and understanding in these critical fields.
×
引用
GB/T 7714-2015
复制
MLA
复制
APA
复制
导出至
BibTeX EndNote RefMan NoteFirst NoteExpress
×
提示
您的信息不完整,为了账户安全,请先补充。
现在去补充
×
提示
您因"违规操作"
具体请查看互助需知
我知道了
×
提示
确定
请完成安全验证×
copy
已复制链接
快去分享给好友吧!
我知道了
右上角分享
点击右上角分享
0
联系我们:info@booksci.cn Book学术提供免费学术资源搜索服务,方便国内外学者检索中英文文献。致力于提供最便捷和优质的服务体验。 Copyright © 2023 布克学术 All rights reserved.
京ICP备2023020795号-1
ghs 京公网安备 11010802042870号
Book学术文献互助
Book学术文献互助群
群 号:604180095
Book学术官方微信