唾液细菌、葡萄糖代谢和生活方式减少硝酸盐。

IF 5.5 2区 医学 Q2 MICROBIOLOGY
Journal of Oral Microbiology Pub Date : 2025-04-09 eCollection Date: 2025-01-01 DOI:10.1080/20002297.2025.2489612
Evangelia Morou-Bermúdez, Kai Guo, Jairelisse Morales Morales, Karina Ricart, Rakesh P Patel, José C Clemente, Kaumudi Joshipura
{"title":"唾液细菌、葡萄糖代谢和生活方式减少硝酸盐。","authors":"Evangelia Morou-Bermúdez, Kai Guo, Jairelisse Morales Morales, Karina Ricart, Rakesh P Patel, José C Clemente, Kaumudi Joshipura","doi":"10.1080/20002297.2025.2489612","DOIUrl":null,"url":null,"abstract":"<p><strong>Background: </strong>Nitrate reductases (NR) expressed in oral bacteria reduce nitrate to nitrite. Depending on the environmental conditions and types of bacteria present nitrite can be further reduced to ammonium via Dissimilatory Nitrate Reduction to Ammonium (DNRA), or alternatively to nitric oxide (NO), which impacts cardiometabolic health.</p><p><strong>Objective: </strong>To evaluate the associations between nitrate reduction by salivary bacteria, clinical markers of glucose metabolism, and lifestyle factors that can modulate the oral environment, potentially impacting DNRA and NR expression.</p><p><strong>Methods: </strong>A cross-sectional study was conducted using a convenience sample of 144 participants from the San Juan Overweight Adult Longitudinal Study (SOALS), which includes data on glucose metabolism and lifestyle. DNRA and NR activities were measured in saliva under aerobic or CO<sub>2</sub>-enriched conditions.</p><p><strong>Results: </strong>DNRA activity was inversely associated with insulin resistance (HOMA-IR) [aerobic<sub>3rd vs.1st tertile</sub>: β=-0.48 (-0.81, -0.15); CO<sub>2</sub>-enriched<sub>3rd vs.1st tertile</sub> β=-0.42 (-0.68, -0.17)], fasting blood glucose [aerobic<sub>3rd vs.1st tertile</sub> β=-0.144 (-0.268, -0.019); CO<sub>2</sub>-enriched<sub>3rd vs.1st tertile</sub>: β=-0.070 (-0.130, -0.011)], and 2-h glucose [CO<sub>2</sub>-enriched<sub>3rd vs.1st tertile</sub>β=-0.21 (-0.37, -0.04)]. Current smokers had lower DNRA activity than non-smokers under aerobic conditions [β=-1.55 (-2.96, -0.14)], but higher under CO<sub>2</sub>-enriched conditions [β = 0.93 (0.15, 1.71)]. Toothbrushing frequency (twice/day vs. once/day) was positively associated with DNRA activity under CO<sub>2</sub>-enriched conditions [β = 4.11 (1.90, 6.32)] and with aerobic NR activity [β = 1.20, (0.14, 2.27)]. Physical activity was inversely associated with aerobic NR [β=-0.01, (-0.022, -0.003)]. Under CO<sub>2</sub>-enriched conditions NR was inversely associated with the BMI (β=-0.11, <i>p</i> = 0.007). Aerobic NR was higher when sucrose was added to the assays (NADP vs. sucrose β=-0.74, <i>p</i> = 0.02) and positively associated with salivary nitrate levels (β = 0.002, <i>p</i> = 0.002).</p><p><strong>Conclusions: </strong>Nitrate reduction by salivary bacteria is inversely associated with insulin resistance and can be modulated by lifestyle factors. This knowledge could lead to the development of novel, non-invasive approaches for monitoring and preventing diabetes progression.</p>","PeriodicalId":16598,"journal":{"name":"Journal of Oral Microbiology","volume":"17 1","pages":"2489612"},"PeriodicalIF":5.5000,"publicationDate":"2025-04-09","publicationTypes":"Journal Article","fieldsOfStudy":null,"isOpenAccess":false,"openAccessPdf":"https://www.ncbi.nlm.nih.gov/pmc/articles/PMC11986870/pdf/","citationCount":"0","resultStr":"{\"title\":\"Nitrate reduction by salivary bacteria, glucose metabolism, and lifestyle.\",\"authors\":\"Evangelia Morou-Bermúdez, Kai Guo, Jairelisse Morales Morales, Karina Ricart, Rakesh P Patel, José C Clemente, Kaumudi Joshipura\",\"doi\":\"10.1080/20002297.2025.2489612\",\"DOIUrl\":null,\"url\":null,\"abstract\":\"<p><strong>Background: </strong>Nitrate reductases (NR) expressed in oral bacteria reduce nitrate to nitrite. Depending on the environmental conditions and types of bacteria present nitrite can be further reduced to ammonium via Dissimilatory Nitrate Reduction to Ammonium (DNRA), or alternatively to nitric oxide (NO), which impacts cardiometabolic health.</p><p><strong>Objective: </strong>To evaluate the associations between nitrate reduction by salivary bacteria, clinical markers of glucose metabolism, and lifestyle factors that can modulate the oral environment, potentially impacting DNRA and NR expression.</p><p><strong>Methods: </strong>A cross-sectional study was conducted using a convenience sample of 144 participants from the San Juan Overweight Adult Longitudinal Study (SOALS), which includes data on glucose metabolism and lifestyle. DNRA and NR activities were measured in saliva under aerobic or CO<sub>2</sub>-enriched conditions.</p><p><strong>Results: </strong>DNRA activity was inversely associated with insulin resistance (HOMA-IR) [aerobic<sub>3rd vs.1st tertile</sub>: β=-0.48 (-0.81, -0.15); CO<sub>2</sub>-enriched<sub>3rd vs.1st tertile</sub> β=-0.42 (-0.68, -0.17)], fasting blood glucose [aerobic<sub>3rd vs.1st tertile</sub> β=-0.144 (-0.268, -0.019); CO<sub>2</sub>-enriched<sub>3rd vs.1st tertile</sub>: β=-0.070 (-0.130, -0.011)], and 2-h glucose [CO<sub>2</sub>-enriched<sub>3rd vs.1st tertile</sub>β=-0.21 (-0.37, -0.04)]. Current smokers had lower DNRA activity than non-smokers under aerobic conditions [β=-1.55 (-2.96, -0.14)], but higher under CO<sub>2</sub>-enriched conditions [β = 0.93 (0.15, 1.71)]. Toothbrushing frequency (twice/day vs. once/day) was positively associated with DNRA activity under CO<sub>2</sub>-enriched conditions [β = 4.11 (1.90, 6.32)] and with aerobic NR activity [β = 1.20, (0.14, 2.27)]. Physical activity was inversely associated with aerobic NR [β=-0.01, (-0.022, -0.003)]. Under CO<sub>2</sub>-enriched conditions NR was inversely associated with the BMI (β=-0.11, <i>p</i> = 0.007). Aerobic NR was higher when sucrose was added to the assays (NADP vs. sucrose β=-0.74, <i>p</i> = 0.02) and positively associated with salivary nitrate levels (β = 0.002, <i>p</i> = 0.002).</p><p><strong>Conclusions: </strong>Nitrate reduction by salivary bacteria is inversely associated with insulin resistance and can be modulated by lifestyle factors. This knowledge could lead to the development of novel, non-invasive approaches for monitoring and preventing diabetes progression.</p>\",\"PeriodicalId\":16598,\"journal\":{\"name\":\"Journal of Oral Microbiology\",\"volume\":\"17 1\",\"pages\":\"2489612\"},\"PeriodicalIF\":5.5000,\"publicationDate\":\"2025-04-09\",\"publicationTypes\":\"Journal Article\",\"fieldsOfStudy\":null,\"isOpenAccess\":false,\"openAccessPdf\":\"https://www.ncbi.nlm.nih.gov/pmc/articles/PMC11986870/pdf/\",\"citationCount\":\"0\",\"resultStr\":null,\"platform\":\"Semanticscholar\",\"paperid\":null,\"PeriodicalName\":\"Journal of Oral Microbiology\",\"FirstCategoryId\":\"3\",\"ListUrlMain\":\"https://doi.org/10.1080/20002297.2025.2489612\",\"RegionNum\":2,\"RegionCategory\":\"医学\",\"ArticlePicture\":[],\"TitleCN\":null,\"AbstractTextCN\":null,\"PMCID\":null,\"EPubDate\":\"2025/1/1 0:00:00\",\"PubModel\":\"eCollection\",\"JCR\":\"Q2\",\"JCRName\":\"MICROBIOLOGY\",\"Score\":null,\"Total\":0}","platform":"Semanticscholar","paperid":null,"PeriodicalName":"Journal of Oral Microbiology","FirstCategoryId":"3","ListUrlMain":"https://doi.org/10.1080/20002297.2025.2489612","RegionNum":2,"RegionCategory":"医学","ArticlePicture":[],"TitleCN":null,"AbstractTextCN":null,"PMCID":null,"EPubDate":"2025/1/1 0:00:00","PubModel":"eCollection","JCR":"Q2","JCRName":"MICROBIOLOGY","Score":null,"Total":0}
引用次数: 0

摘要

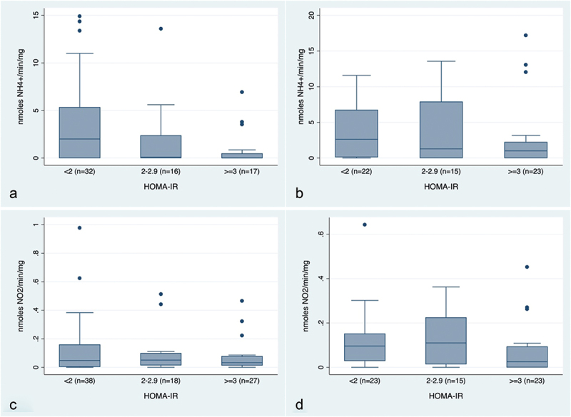
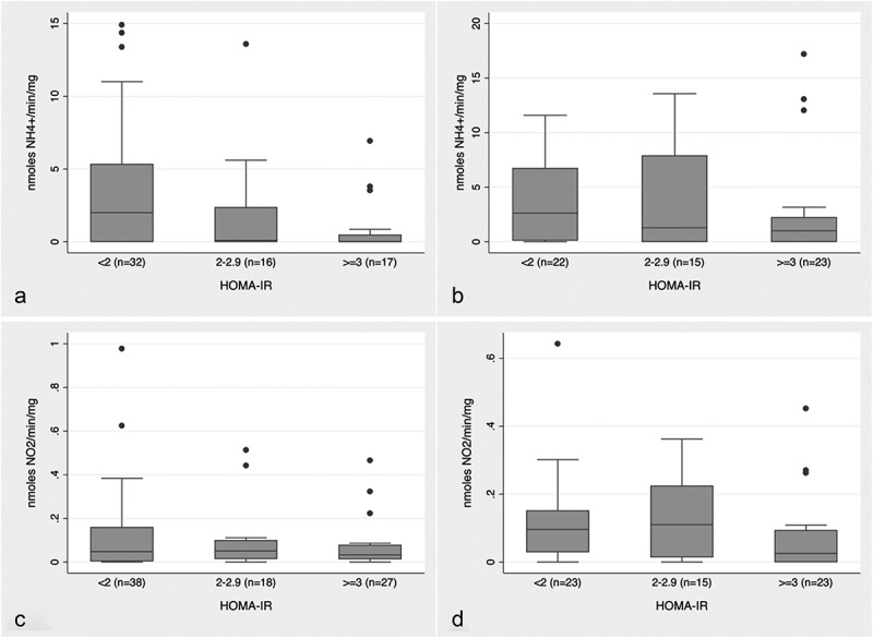
背景:口腔细菌中表达的硝酸还原酶(NR)可将硝酸盐还原为亚硝酸盐。根据环境条件和存在的细菌类型,亚硝酸盐可以通过硝酸异化还原为铵(DNRA)进一步还原为铵,或者通过影响心脏代谢健康的一氧化氮(NO)。目的:探讨唾液细菌减少硝酸盐、糖代谢临床指标和生活方式因素之间的关系,这些因素可以调节口腔环境,可能影响DNRA和NR的表达。方法:采用来自圣胡安超重成人纵向研究(SOALS)的144名参与者进行横断面研究,其中包括葡萄糖代谢和生活方式的数据。在有氧或co2富集条件下测定唾液中DNRA和NR的活性。结果:DNRA活性与胰岛素抵抗(HOMA-IR)呈负相关[有氧3比1:β=-0.48 (-0.81, -0.15);co2富集3 / 1分位β=-0.42(-0.68, -0.17),空腹血糖[有氧3 / 1分位β=-0.144 (-0.268, -0.019)];2 h葡萄糖[co2富集的3 / 1 terle β=-0.070(-0.130, -0.011)]和2 h葡萄糖[co2富集的3 / 1 terle β=-0.21(-0.37, -0.04)]。在有氧条件下,当前吸烟者的DNRA活性低于不吸烟者[β=-1.55(-2.96, -0.14)],但在二氧化碳富集条件下,DNRA活性高于非吸烟者[β= 0.93(0.15, 1.71)]。在co2富集条件下,刷牙频率(2次/天vs 1次/天)与DNRA活性呈正相关[β = 4.11(1.90, 6.32)],与有氧NR活性呈正相关[β = 1.20,(0.14, 2.27)]。体力活动与有氧NR呈负相关[β=-0.01,(-0.022, -0.003)]。在co2富集条件下,NR与BMI呈负相关(β=-0.11, p = 0.007)。添加蔗糖后,好氧NR升高(NADP vs.蔗糖β=-0.74, p = 0.02),且与唾液硝酸盐水平呈正相关(β = 0.002, p = 0.002)。结论:唾液细菌减少硝酸盐与胰岛素抵抗呈负相关,并可通过生活方式因素调节。这一知识可能会导致新的、非侵入性的监测和预防糖尿病进展的方法的发展。
本文章由计算机程序翻译,如有差异,请以英文原文为准。

Nitrate reduction by salivary bacteria, glucose metabolism, and lifestyle.

Nitrate reduction by salivary bacteria, glucose metabolism, and lifestyle.

Nitrate reduction by salivary bacteria, glucose metabolism, and lifestyle.

Nitrate reduction by salivary bacteria, glucose metabolism, and lifestyle.

Background: Nitrate reductases (NR) expressed in oral bacteria reduce nitrate to nitrite. Depending on the environmental conditions and types of bacteria present nitrite can be further reduced to ammonium via Dissimilatory Nitrate Reduction to Ammonium (DNRA), or alternatively to nitric oxide (NO), which impacts cardiometabolic health.

Objective: To evaluate the associations between nitrate reduction by salivary bacteria, clinical markers of glucose metabolism, and lifestyle factors that can modulate the oral environment, potentially impacting DNRA and NR expression.

Methods: A cross-sectional study was conducted using a convenience sample of 144 participants from the San Juan Overweight Adult Longitudinal Study (SOALS), which includes data on glucose metabolism and lifestyle. DNRA and NR activities were measured in saliva under aerobic or CO2-enriched conditions.

Results: DNRA activity was inversely associated with insulin resistance (HOMA-IR) [aerobic3rd vs.1st tertile: β=-0.48 (-0.81, -0.15); CO2-enriched3rd vs.1st tertile β=-0.42 (-0.68, -0.17)], fasting blood glucose [aerobic3rd vs.1st tertile β=-0.144 (-0.268, -0.019); CO2-enriched3rd vs.1st tertile: β=-0.070 (-0.130, -0.011)], and 2-h glucose [CO2-enriched3rd vs.1st tertileβ=-0.21 (-0.37, -0.04)]. Current smokers had lower DNRA activity than non-smokers under aerobic conditions [β=-1.55 (-2.96, -0.14)], but higher under CO2-enriched conditions [β = 0.93 (0.15, 1.71)]. Toothbrushing frequency (twice/day vs. once/day) was positively associated with DNRA activity under CO2-enriched conditions [β = 4.11 (1.90, 6.32)] and with aerobic NR activity [β = 1.20, (0.14, 2.27)]. Physical activity was inversely associated with aerobic NR [β=-0.01, (-0.022, -0.003)]. Under CO2-enriched conditions NR was inversely associated with the BMI (β=-0.11, p = 0.007). Aerobic NR was higher when sucrose was added to the assays (NADP vs. sucrose β=-0.74, p = 0.02) and positively associated with salivary nitrate levels (β = 0.002, p = 0.002).

Conclusions: Nitrate reduction by salivary bacteria is inversely associated with insulin resistance and can be modulated by lifestyle factors. This knowledge could lead to the development of novel, non-invasive approaches for monitoring and preventing diabetes progression.

求助全文
通过发布文献求助,成功后即可免费获取论文全文。 去求助
来源期刊
CiteScore
8.00
自引率
4.40%
发文量
52
审稿时长
12 weeks
期刊介绍: As the first Open Access journal in its field, the Journal of Oral Microbiology aims to be an influential source of knowledge on the aetiological agents behind oral infectious diseases. The journal is an international forum for original research on all aspects of ''oral health''. Articles which seek to understand ''oral health'' through exploration of the pathogenesis, virulence, host-parasite interactions, and immunology of oral infections are of particular interest. However, the journal also welcomes work that addresses the global agenda of oral infectious diseases and articles that present new strategies for treatment and prevention or improvements to existing strategies. Topics: ''oral health'', microbiome, genomics, host-pathogen interactions, oral infections, aetiologic agents, pathogenesis, molecular microbiology systemic diseases, ecology/environmental microbiology, treatment, diagnostics, epidemiology, basic oral microbiology, and taxonomy/systematics. Article types: original articles, notes, review articles, mini-reviews and commentaries
×
引用
GB/T 7714-2015
复制
MLA
复制
APA
复制
导出至
BibTeX EndNote RefMan NoteFirst NoteExpress
×
提示
您的信息不完整,为了账户安全,请先补充。
现在去补充
×
提示
您因"违规操作"
具体请查看互助需知
我知道了
×
提示
确定
请完成安全验证×
copy
已复制链接
快去分享给好友吧!
我知道了
右上角分享
点击右上角分享
0
联系我们:info@booksci.cn Book学术提供免费学术资源搜索服务,方便国内外学者检索中英文文献。致力于提供最便捷和优质的服务体验。 Copyright © 2023 布克学术 All rights reserved.
京ICP备2023020795号-1
ghs 京公网安备 11010802042870号
Book学术文献互助
Book学术文献互助群
群 号:604180095
Book学术官方微信