韩国产前暴露于PM2.5化学成分对不良出生结局和5岁以下儿童死亡率的影响

IF 4.4 2区 医学 Q1 PUBLIC, ENVIRONMENTAL & OCCUPATIONAL HEALTH
Epidemiology Pub Date : 2025-07-01 Epub Date: 2025-04-21 DOI:10.1097/EDE.0000000000001868
Garam Byun, Yongsoo Choi, Jong-Tae Lee, Michelle L Bell
{"title":"韩国产前暴露于PM2.5化学成分对不良出生结局和5岁以下儿童死亡率的影响","authors":"Garam Byun, Yongsoo Choi, Jong-Tae Lee, Michelle L Bell","doi":"10.1097/EDE.0000000000001868","DOIUrl":null,"url":null,"abstract":"<p><strong>Background: </strong>Exposure to fine particulate matter (PM 2.5 ) during pregnancy has been associated with adverse birth outcomes. However, limited evidence exists on the effects of specific PM 2.5 components. We investigated the association of prenatal exposure to PM 2.5 and its components with birth outcomes and mortality at age <5 years in four metropolitan cities in South Korea.</p><p><strong>Methods: </strong>We obtained data from Statistic Korea linking birth records for 2013-2015 to death records under age 5 years. Data for PM 2.5 and 10 of its components were collected from four monitoring stations. We calculated exposures during pregnancy and each trimester for a total of 324,566 births. We used logistic regression to estimate the associations between exposure and risk of preterm birth (PTB) (<37 weeks), low birth weight (<2.5 kg), small for gestational age (birth weight <10 th percentile for the same gestational age), and under-5 mortality.</p><p><strong>Results: </strong>An interquartile range (8.7 µg/m 3 ) increase in exposure to PM 2.5 during the entire pregnancy was associated with increased odds of PTB (odds ratio [OR] = 1.17; 95% confidence interval [CI] = 1.11, 1.23). We observed no association with low birth weight, small for gestational age, or under-5 mortality for the entire pregnancy exposure. Elemental carbon and secondary inorganic aerosols showed higher effect estimates for PTB than did other components.</p><p><strong>Conclusions: </strong>In urban populations of South Korea, exposure to PM 2.5 during pregnancy was associated with an increased risk of PTB. Different components showed varying associations with adverse birth outcomes.</p>","PeriodicalId":11779,"journal":{"name":"Epidemiology","volume":" ","pages":"531-540"},"PeriodicalIF":4.4000,"publicationDate":"2025-07-01","publicationTypes":"Journal Article","fieldsOfStudy":null,"isOpenAccess":false,"openAccessPdf":"https://www.ncbi.nlm.nih.gov/pmc/articles/PMC12118620/pdf/","citationCount":"0","resultStr":"{\"title\":\"Effects of Prenatal Exposure to PM 2.5 Chemical Components on Adverse Birth Outcomes and Under-5 Mortality in South Korea.\",\"authors\":\"Garam Byun, Yongsoo Choi, Jong-Tae Lee, Michelle L Bell\",\"doi\":\"10.1097/EDE.0000000000001868\",\"DOIUrl\":null,\"url\":null,\"abstract\":\"<p><strong>Background: </strong>Exposure to fine particulate matter (PM 2.5 ) during pregnancy has been associated with adverse birth outcomes. However, limited evidence exists on the effects of specific PM 2.5 components. We investigated the association of prenatal exposure to PM 2.5 and its components with birth outcomes and mortality at age <5 years in four metropolitan cities in South Korea.</p><p><strong>Methods: </strong>We obtained data from Statistic Korea linking birth records for 2013-2015 to death records under age 5 years. Data for PM 2.5 and 10 of its components were collected from four monitoring stations. We calculated exposures during pregnancy and each trimester for a total of 324,566 births. We used logistic regression to estimate the associations between exposure and risk of preterm birth (PTB) (<37 weeks), low birth weight (<2.5 kg), small for gestational age (birth weight <10 th percentile for the same gestational age), and under-5 mortality.</p><p><strong>Results: </strong>An interquartile range (8.7 µg/m 3 ) increase in exposure to PM 2.5 during the entire pregnancy was associated with increased odds of PTB (odds ratio [OR] = 1.17; 95% confidence interval [CI] = 1.11, 1.23). We observed no association with low birth weight, small for gestational age, or under-5 mortality for the entire pregnancy exposure. Elemental carbon and secondary inorganic aerosols showed higher effect estimates for PTB than did other components.</p><p><strong>Conclusions: </strong>In urban populations of South Korea, exposure to PM 2.5 during pregnancy was associated with an increased risk of PTB. Different components showed varying associations with adverse birth outcomes.</p>\",\"PeriodicalId\":11779,\"journal\":{\"name\":\"Epidemiology\",\"volume\":\" \",\"pages\":\"531-540\"},\"PeriodicalIF\":4.4000,\"publicationDate\":\"2025-07-01\",\"publicationTypes\":\"Journal Article\",\"fieldsOfStudy\":null,\"isOpenAccess\":false,\"openAccessPdf\":\"https://www.ncbi.nlm.nih.gov/pmc/articles/PMC12118620/pdf/\",\"citationCount\":\"0\",\"resultStr\":null,\"platform\":\"Semanticscholar\",\"paperid\":null,\"PeriodicalName\":\"Epidemiology\",\"FirstCategoryId\":\"3\",\"ListUrlMain\":\"https://doi.org/10.1097/EDE.0000000000001868\",\"RegionNum\":2,\"RegionCategory\":\"医学\",\"ArticlePicture\":[],\"TitleCN\":null,\"AbstractTextCN\":null,\"PMCID\":null,\"EPubDate\":\"2025/4/21 0:00:00\",\"PubModel\":\"Epub\",\"JCR\":\"Q1\",\"JCRName\":\"PUBLIC, ENVIRONMENTAL & OCCUPATIONAL HEALTH\",\"Score\":null,\"Total\":0}","platform":"Semanticscholar","paperid":null,"PeriodicalName":"Epidemiology","FirstCategoryId":"3","ListUrlMain":"https://doi.org/10.1097/EDE.0000000000001868","RegionNum":2,"RegionCategory":"医学","ArticlePicture":[],"TitleCN":null,"AbstractTextCN":null,"PMCID":null,"EPubDate":"2025/4/21 0:00:00","PubModel":"Epub","JCR":"Q1","JCRName":"PUBLIC, ENVIRONMENTAL & OCCUPATIONAL HEALTH","Score":null,"Total":0}
引用次数: 0

摘要

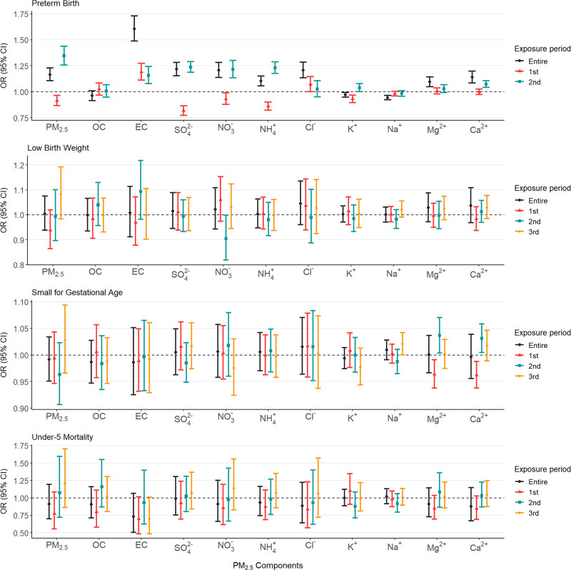
背景:怀孕期间暴露于细颗粒物(PM2.5)与不良出生结局有关。然而,关于PM2.5特定成分影响的证据有限。我们调查了产前暴露于PM2.5及其成分与出生结局和年龄死亡率的关系方法:我们从韩国统计局获得了2013-2015年出生记录与5岁以下死亡记录的数据。PM2.5及其10种成分的数据来自4个监测站。我们计算了324,566名新生儿在怀孕期间和每个孕期的暴露情况。我们使用逻辑回归来估计暴露与早产(PTB)风险之间的关联(结果:整个怀孕期间暴露于PM2.5的四分位数范围(8.7 μ g/m3)增加与PTB的几率增加相关(优势比[OR] = 1.17;95%置信区间[CI] = 1.11, 1.23)。我们观察到整个妊娠暴露与低出生体重、小胎龄或5岁以下儿童死亡率无关联。单质碳和二次无机气溶胶对PTB的影响估计高于其他组分。结论:在韩国城市人群中,怀孕期间暴露于PM2.5与PTB风险增加有关。不同成分与不良出生结局的关联不同。
本文章由计算机程序翻译,如有差异,请以英文原文为准。

Effects of Prenatal Exposure to PM 2.5 Chemical Components on Adverse Birth Outcomes and Under-5 Mortality in South Korea.

Effects of Prenatal Exposure to PM 2.5 Chemical Components on Adverse Birth Outcomes and Under-5 Mortality in South Korea.

Effects of Prenatal Exposure to PM 2.5 Chemical Components on Adverse Birth Outcomes and Under-5 Mortality in South Korea.

Background: Exposure to fine particulate matter (PM 2.5 ) during pregnancy has been associated with adverse birth outcomes. However, limited evidence exists on the effects of specific PM 2.5 components. We investigated the association of prenatal exposure to PM 2.5 and its components with birth outcomes and mortality at age <5 years in four metropolitan cities in South Korea.

Methods: We obtained data from Statistic Korea linking birth records for 2013-2015 to death records under age 5 years. Data for PM 2.5 and 10 of its components were collected from four monitoring stations. We calculated exposures during pregnancy and each trimester for a total of 324,566 births. We used logistic regression to estimate the associations between exposure and risk of preterm birth (PTB) (<37 weeks), low birth weight (<2.5 kg), small for gestational age (birth weight <10 th percentile for the same gestational age), and under-5 mortality.

Results: An interquartile range (8.7 µg/m 3 ) increase in exposure to PM 2.5 during the entire pregnancy was associated with increased odds of PTB (odds ratio [OR] = 1.17; 95% confidence interval [CI] = 1.11, 1.23). We observed no association with low birth weight, small for gestational age, or under-5 mortality for the entire pregnancy exposure. Elemental carbon and secondary inorganic aerosols showed higher effect estimates for PTB than did other components.

Conclusions: In urban populations of South Korea, exposure to PM 2.5 during pregnancy was associated with an increased risk of PTB. Different components showed varying associations with adverse birth outcomes.

求助全文
通过发布文献求助,成功后即可免费获取论文全文。 去求助
来源期刊
Epidemiology
Epidemiology 医学-公共卫生、环境卫生与职业卫生
CiteScore
6.70
自引率
3.70%
发文量
177
审稿时长
6-12 weeks
期刊介绍: Epidemiology publishes original research from all fields of epidemiology. The journal also welcomes review articles and meta-analyses, novel hypotheses, descriptions and applications of new methods, and discussions of research theory or public health policy. We give special consideration to papers from developing countries.
×
引用
GB/T 7714-2015
复制
MLA
复制
APA
复制
导出至
BibTeX EndNote RefMan NoteFirst NoteExpress
×
提示
您的信息不完整,为了账户安全,请先补充。
现在去补充
×
提示
您因"违规操作"
具体请查看互助需知
我知道了
×
提示
确定
请完成安全验证×
copy
已复制链接
快去分享给好友吧!
我知道了
右上角分享
点击右上角分享
0
联系我们:info@booksci.cn Book学术提供免费学术资源搜索服务,方便国内外学者检索中英文文献。致力于提供最便捷和优质的服务体验。 Copyright © 2023 布克学术 All rights reserved.
京ICP备2023020795号-1
ghs 京公网安备 11010802042870号
Book学术文献互助
Book学术文献互助群
群 号:604180095
Book学术官方微信