拉巴纳尔河生态系统服务系统审查páramo(哥伦比亚)。

IF 8.4 4区 环境科学与生态学 Q2 ENVIRONMENTAL SCIENCES
Paulina Vergara Buitrago, Irene De Pellegrin Llorente
{"title":"拉巴纳尔河生态系统服务系统审查páramo(哥伦比亚)。","authors":"Paulina Vergara Buitrago, Irene De Pellegrin Llorente","doi":"10.1093/inteam/vjae029","DOIUrl":null,"url":null,"abstract":"<p><p>Colombian páramos, strategic ecosystems of the northern Andes, provide a broad range of ecosystem services such as carbon sequestration, water regulation, and soil protection. The department of Boyacá in Colombia contains the largest area of páramo ecosystems, with the Rabanal páramo serving as the primary water source for the capital city of Tunja. Despite scientific studies on the diversity of flora and fauna, páramos remain among the least studied ecosystems regarding their services. No study has yet addressed a detailed systematic review assessing the range of ecosystem services in the Rabanal páramo. We systematically reviewed 162 documents published between 1992 and 2022 to assess the progress of ecosystem services knowledge, identify biases, and define research priorities. Most of the studies (60%) focused on regulating services, followed by cultural services (24%) and provisioning services (16%). In the category of regulating services, biodiversity maintenance is the most studied service with 60 studies (37%), followed by vegetation cover with 22 studies (14%). In provisioning services, fresh water has the most studies 18 (11%), while environmental education, with 16 studies (10%), is the cultural service with the most publications. Likewise, we identified 21 different research methods in the documents. The most employed was environmental assessment (23%), followed by stakeholder engagement and environmental planning (10%) and inventory (7%). We conclude that there is a significant research gap in prioritizing the understanding of cultural services and the impacts of conservation initiatives on páramo communities. This unique ecosystem, which is not only a source of livelihood for local farmers but also deeply connected with their cultural identity and heritage, underscores the need to address these gaps to sustain the Rabanal páramo ecosystem.</p>","PeriodicalId":13557,"journal":{"name":"Integrated Environmental Assessment and Management","volume":"21 3","pages":"485-495"},"PeriodicalIF":8.4000,"publicationDate":"2025-05-01","publicationTypes":"Journal Article","fieldsOfStudy":null,"isOpenAccess":false,"openAccessPdf":"https://www.ncbi.nlm.nih.gov/pmc/articles/PMC12047018/pdf/","citationCount":"0","resultStr":"{\"title\":\"A systematic review of ecosystem services in the Rabanal páramo (Colombia).\",\"authors\":\"Paulina Vergara Buitrago, Irene De Pellegrin Llorente\",\"doi\":\"10.1093/inteam/vjae029\",\"DOIUrl\":null,\"url\":null,\"abstract\":\"<p><p>Colombian páramos, strategic ecosystems of the northern Andes, provide a broad range of ecosystem services such as carbon sequestration, water regulation, and soil protection. The department of Boyacá in Colombia contains the largest area of páramo ecosystems, with the Rabanal páramo serving as the primary water source for the capital city of Tunja. Despite scientific studies on the diversity of flora and fauna, páramos remain among the least studied ecosystems regarding their services. No study has yet addressed a detailed systematic review assessing the range of ecosystem services in the Rabanal páramo. We systematically reviewed 162 documents published between 1992 and 2022 to assess the progress of ecosystem services knowledge, identify biases, and define research priorities. Most of the studies (60%) focused on regulating services, followed by cultural services (24%) and provisioning services (16%). In the category of regulating services, biodiversity maintenance is the most studied service with 60 studies (37%), followed by vegetation cover with 22 studies (14%). In provisioning services, fresh water has the most studies 18 (11%), while environmental education, with 16 studies (10%), is the cultural service with the most publications. Likewise, we identified 21 different research methods in the documents. The most employed was environmental assessment (23%), followed by stakeholder engagement and environmental planning (10%) and inventory (7%). We conclude that there is a significant research gap in prioritizing the understanding of cultural services and the impacts of conservation initiatives on páramo communities. This unique ecosystem, which is not only a source of livelihood for local farmers but also deeply connected with their cultural identity and heritage, underscores the need to address these gaps to sustain the Rabanal páramo ecosystem.</p>\",\"PeriodicalId\":13557,\"journal\":{\"name\":\"Integrated Environmental Assessment and Management\",\"volume\":\"21 3\",\"pages\":\"485-495\"},\"PeriodicalIF\":8.4000,\"publicationDate\":\"2025-05-01\",\"publicationTypes\":\"Journal Article\",\"fieldsOfStudy\":null,\"isOpenAccess\":false,\"openAccessPdf\":\"https://www.ncbi.nlm.nih.gov/pmc/articles/PMC12047018/pdf/\",\"citationCount\":\"0\",\"resultStr\":null,\"platform\":\"Semanticscholar\",\"paperid\":null,\"PeriodicalName\":\"Integrated Environmental Assessment and Management\",\"FirstCategoryId\":\"93\",\"ListUrlMain\":\"https://doi.org/10.1093/inteam/vjae029\",\"RegionNum\":4,\"RegionCategory\":\"环境科学与生态学\",\"ArticlePicture\":[],\"TitleCN\":null,\"AbstractTextCN\":null,\"PMCID\":null,\"EPubDate\":\"\",\"PubModel\":\"\",\"JCR\":\"Q2\",\"JCRName\":\"ENVIRONMENTAL SCIENCES\",\"Score\":null,\"Total\":0}","platform":"Semanticscholar","paperid":null,"PeriodicalName":"Integrated Environmental Assessment and Management","FirstCategoryId":"93","ListUrlMain":"https://doi.org/10.1093/inteam/vjae029","RegionNum":4,"RegionCategory":"环境科学与生态学","ArticlePicture":[],"TitleCN":null,"AbstractTextCN":null,"PMCID":null,"EPubDate":"","PubModel":"","JCR":"Q2","JCRName":"ENVIRONMENTAL SCIENCES","Score":null,"Total":0}
引用次数: 0

摘要

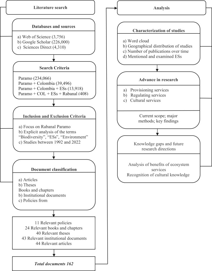
哥伦比亚páramos是安第斯山脉北部的战略生态系统,提供广泛的生态系统服务,如碳封存、水调节和土壤保护。哥伦比亚的boyac省拥有最大面积的páramo生态系统,其中Rabanal河páramo是首都Tunja的主要水源。尽管对植物和动物的多样性进行了科学研究,但páramos在其服务方面仍然是研究最少的生态系统之一。目前还没有研究对拉巴纳尔河生态系统服务范围进行了详细的系统评估páramo。我们系统地回顾了1992年至2022年间发表的162篇文献,以评估生态系统服务知识的进展,识别偏见,并确定研究重点。大多数研究(60%)侧重于规范服务,其次是文化服务(24%)和提供服务(16%)。在调节服务类别中,生物多样性维持是研究最多的服务,有60项研究(37%),其次是植被覆盖,有22项研究(14%)。在供应服务方面,淡水方面的研究最多,有18项(11%),而环境教育方面的研究最多,有16项(10%),是出版最多的文化服务。同样,我们在文件中确定了21种不同的研究方法。使用最多的是环境评估(23%),其次是利益相关者参与和环境规划(10%)和库存(7%)。我们的结论是,在优先理解文化服务和保护举措对páramo社区的影响方面存在重大研究差距。这个独特的生态系统不仅是当地农民的生计来源,而且与他们的文化身份和遗产密切相关,强调了解决这些差距以维持拉巴纳尔páramo生态系统的必要性。
本文章由计算机程序翻译,如有差异,请以英文原文为准。

A systematic review of ecosystem services in the Rabanal páramo (Colombia).

A systematic review of ecosystem services in the Rabanal páramo (Colombia).

A systematic review of ecosystem services in the Rabanal páramo (Colombia).

A systematic review of ecosystem services in the Rabanal páramo (Colombia).

Colombian páramos, strategic ecosystems of the northern Andes, provide a broad range of ecosystem services such as carbon sequestration, water regulation, and soil protection. The department of Boyacá in Colombia contains the largest area of páramo ecosystems, with the Rabanal páramo serving as the primary water source for the capital city of Tunja. Despite scientific studies on the diversity of flora and fauna, páramos remain among the least studied ecosystems regarding their services. No study has yet addressed a detailed systematic review assessing the range of ecosystem services in the Rabanal páramo. We systematically reviewed 162 documents published between 1992 and 2022 to assess the progress of ecosystem services knowledge, identify biases, and define research priorities. Most of the studies (60%) focused on regulating services, followed by cultural services (24%) and provisioning services (16%). In the category of regulating services, biodiversity maintenance is the most studied service with 60 studies (37%), followed by vegetation cover with 22 studies (14%). In provisioning services, fresh water has the most studies 18 (11%), while environmental education, with 16 studies (10%), is the cultural service with the most publications. Likewise, we identified 21 different research methods in the documents. The most employed was environmental assessment (23%), followed by stakeholder engagement and environmental planning (10%) and inventory (7%). We conclude that there is a significant research gap in prioritizing the understanding of cultural services and the impacts of conservation initiatives on páramo communities. This unique ecosystem, which is not only a source of livelihood for local farmers but also deeply connected with their cultural identity and heritage, underscores the need to address these gaps to sustain the Rabanal páramo ecosystem.

求助全文
通过发布文献求助,成功后即可免费获取论文全文。 去求助
来源期刊
Integrated Environmental Assessment and Management
Integrated Environmental Assessment and Management ENVIRONMENTAL SCIENCESTOXICOLOGY&nbs-TOXICOLOGY
CiteScore
5.90
自引率
6.50%
发文量
156
期刊介绍: Integrated Environmental Assessment and Management (IEAM) publishes the science underpinning environmental decision making and problem solving. Papers submitted to IEAM must link science and technical innovations to vexing regional or global environmental issues in one or more of the following core areas: Science-informed regulation, policy, and decision making Health and ecological risk and impact assessment Restoration and management of damaged ecosystems Sustaining ecosystems Managing large-scale environmental change Papers published in these broad fields of study are connected by an array of interdisciplinary engineering, management, and scientific themes, which collectively reflect the interconnectedness of the scientific, social, and environmental challenges facing our modern global society: Methods for environmental quality assessment; forecasting across a number of ecosystem uses and challenges (systems-based, cost-benefit, ecosystem services, etc.); measuring or predicting ecosystem change and adaptation Approaches that connect policy and management tools; harmonize national and international environmental regulation; merge human well-being with ecological management; develop and sustain the function of ecosystems; conceptualize, model and apply concepts of spatial and regional sustainability Assessment and management frameworks that incorporate conservation, life cycle, restoration, and sustainability; considerations for climate-induced adaptation, change and consequences, and vulnerability Environmental management applications using risk-based approaches; considerations for protecting and fostering biodiversity, as well as enhancement or protection of ecosystem services and resiliency.
×
引用
GB/T 7714-2015
复制
MLA
复制
APA
复制
导出至
BibTeX EndNote RefMan NoteFirst NoteExpress
×
提示
您的信息不完整,为了账户安全,请先补充。
现在去补充
×
提示
您因"违规操作"
具体请查看互助需知
我知道了
×
提示
确定
请完成安全验证×
copy
已复制链接
快去分享给好友吧!
我知道了
右上角分享
点击右上角分享
0
联系我们:info@booksci.cn Book学术提供免费学术资源搜索服务,方便国内外学者检索中英文文献。致力于提供最便捷和优质的服务体验。 Copyright © 2023 布克学术 All rights reserved.
京ICP备2023020795号-1
ghs 京公网安备 11010802042870号
Book学术文献互助
Book学术文献互助群
群 号:604180095
Book学术官方微信