微球性晶状体的新分类及其相关手术意义:一项回顾性队列研究。

IF 2.2 Q2 OPHTHALMOLOGY
Yang Sun, Zexu Chen, Yan Liu, Qiuyi Huo, Wan-Nan Jia, Zhennan Zhao, Tianhui Chen, Yongxiang Jiang
{"title":"微球性晶状体的新分类及其相关手术意义:一项回顾性队列研究。","authors":"Yang Sun, Zexu Chen, Yan Liu, Qiuyi Huo, Wan-Nan Jia, Zhennan Zhao, Tianhui Chen, Yongxiang Jiang","doi":"10.1136/bmjophth-2024-002063","DOIUrl":null,"url":null,"abstract":"<p><strong>Background: </strong>A novel classification for microspherophakia (MSP) was developed using a nomogram model to stratify patients and evaluate surgical outcomes.</p><p><strong>Methods: </strong>The study involved 99 eyes from 64 MSP patients, divided into training (64 eyes) and validation (35 eyes) cohorts. Primary outcome included the best corrected distance visual acuity (BCVA) at the 1-year follow-up, and the secondary outcome was intraocular pressure (IOP) control. MSP patients achieving a BCVA of ≤0.2 logarithm of the minimal angle of resolution with successful IOP control were categorised into the favourable outcomes group, while those not meeting these criteria were placed in the unfavourable outcomes group. A nomogram model was constructed to predict unfavourable outcomes by identifying associated risk factors.</p><p><strong>Results: </strong>In the training cohort, 39.06% (25/64) achieved favourable outcomes, while 60.94% (39/64) had unfavourable outcomes. Decreased anterior chamber depth (ACD) and the presence of glaucoma were identified as risk factors for predicting unfavourable outcomes. The concordance index for the training and validation cohorts was 0.828 and 0.768, respectively. A nomogram-derived cut-off value of 56 points stratified patients into low-risk (≤56 points) and high-risk (>56 points) groups. Postoperative BCVA was significantly better in the low-risk group at 6-month and 1-year follow-ups.</p><p><strong>Conclusion: </strong>MSP patients in the low-risk group achieved satisfactory outcomes. For high-risk patients with shallowing ACD, early surgical intervention is recommended to prevent secondary glaucoma. Close monitoring of IOP and glaucoma progression is crucial for patients with secondary glaucoma. This classification offers valuable insights for outcome stratification and guidance in clinical decision-making for MSP management. However, the limitations of this study include its small sample size, which may impact generalisability, and future studies with larger cohorts are needed to validate and refine the nomogram.</p>","PeriodicalId":9286,"journal":{"name":"BMJ Open Ophthalmology","volume":"10 1","pages":""},"PeriodicalIF":2.2000,"publicationDate":"2025-05-02","publicationTypes":"Journal Article","fieldsOfStudy":null,"isOpenAccess":false,"openAccessPdf":"https://www.ncbi.nlm.nih.gov/pmc/articles/PMC12049971/pdf/","citationCount":"0","resultStr":"{\"title\":\"Novel classification for microspherophakia and its related surgical implications: a retrospective cohort study.\",\"authors\":\"Yang Sun, Zexu Chen, Yan Liu, Qiuyi Huo, Wan-Nan Jia, Zhennan Zhao, Tianhui Chen, Yongxiang Jiang\",\"doi\":\"10.1136/bmjophth-2024-002063\",\"DOIUrl\":null,\"url\":null,\"abstract\":\"<p><strong>Background: </strong>A novel classification for microspherophakia (MSP) was developed using a nomogram model to stratify patients and evaluate surgical outcomes.</p><p><strong>Methods: </strong>The study involved 99 eyes from 64 MSP patients, divided into training (64 eyes) and validation (35 eyes) cohorts. Primary outcome included the best corrected distance visual acuity (BCVA) at the 1-year follow-up, and the secondary outcome was intraocular pressure (IOP) control. MSP patients achieving a BCVA of ≤0.2 logarithm of the minimal angle of resolution with successful IOP control were categorised into the favourable outcomes group, while those not meeting these criteria were placed in the unfavourable outcomes group. A nomogram model was constructed to predict unfavourable outcomes by identifying associated risk factors.</p><p><strong>Results: </strong>In the training cohort, 39.06% (25/64) achieved favourable outcomes, while 60.94% (39/64) had unfavourable outcomes. Decreased anterior chamber depth (ACD) and the presence of glaucoma were identified as risk factors for predicting unfavourable outcomes. The concordance index for the training and validation cohorts was 0.828 and 0.768, respectively. A nomogram-derived cut-off value of 56 points stratified patients into low-risk (≤56 points) and high-risk (>56 points) groups. Postoperative BCVA was significantly better in the low-risk group at 6-month and 1-year follow-ups.</p><p><strong>Conclusion: </strong>MSP patients in the low-risk group achieved satisfactory outcomes. For high-risk patients with shallowing ACD, early surgical intervention is recommended to prevent secondary glaucoma. Close monitoring of IOP and glaucoma progression is crucial for patients with secondary glaucoma. This classification offers valuable insights for outcome stratification and guidance in clinical decision-making for MSP management. However, the limitations of this study include its small sample size, which may impact generalisability, and future studies with larger cohorts are needed to validate and refine the nomogram.</p>\",\"PeriodicalId\":9286,\"journal\":{\"name\":\"BMJ Open Ophthalmology\",\"volume\":\"10 1\",\"pages\":\"\"},\"PeriodicalIF\":2.2000,\"publicationDate\":\"2025-05-02\",\"publicationTypes\":\"Journal Article\",\"fieldsOfStudy\":null,\"isOpenAccess\":false,\"openAccessPdf\":\"https://www.ncbi.nlm.nih.gov/pmc/articles/PMC12049971/pdf/\",\"citationCount\":\"0\",\"resultStr\":null,\"platform\":\"Semanticscholar\",\"paperid\":null,\"PeriodicalName\":\"BMJ Open Ophthalmology\",\"FirstCategoryId\":\"1085\",\"ListUrlMain\":\"https://doi.org/10.1136/bmjophth-2024-002063\",\"RegionNum\":0,\"RegionCategory\":null,\"ArticlePicture\":[],\"TitleCN\":null,\"AbstractTextCN\":null,\"PMCID\":null,\"EPubDate\":\"\",\"PubModel\":\"\",\"JCR\":\"Q2\",\"JCRName\":\"OPHTHALMOLOGY\",\"Score\":null,\"Total\":0}","platform":"Semanticscholar","paperid":null,"PeriodicalName":"BMJ Open Ophthalmology","FirstCategoryId":"1085","ListUrlMain":"https://doi.org/10.1136/bmjophth-2024-002063","RegionNum":0,"RegionCategory":null,"ArticlePicture":[],"TitleCN":null,"AbstractTextCN":null,"PMCID":null,"EPubDate":"","PubModel":"","JCR":"Q2","JCRName":"OPHTHALMOLOGY","Score":null,"Total":0}
引用次数: 0

摘要

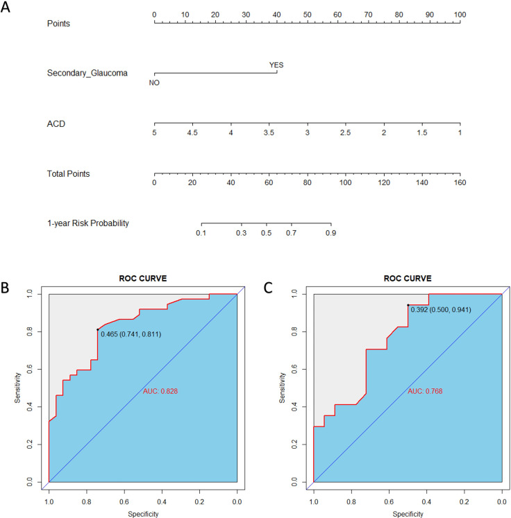
背景:一种新的微球性晶状体(MSP)分类方法被开发出来,使用nomogram模型对患者进行分层并评估手术结果。方法:研究纳入64例MSP患者的99只眼,分为训练组(64只眼)和验证组(35只眼)。主要指标为1年随访时的最佳矫正距离视力(BCVA),次要指标为眼压(IOP)控制。BCVA≤0.2最小分辨角的对数并成功控制IOP的MSP患者被归类为有利结果组,而不符合这些标准的患者被归类为不利结果组。通过识别相关的危险因素,构建了一个nomogram模型来预测不利的结果。结果:在培训队列中,39.06%(25/64)的患者预后良好,60.94%(39/64)的患者预后不良。前房深度降低(ACD)和青光眼的存在被认为是预测不良结果的危险因素。训练队列和验证队列的一致性指数分别为0.828和0.768。以56分的nomogram cut-off value将患者分为低危(≤56分)和高危(> ~ 56分)两组。术后6个月和1年随访时,低危组BCVA明显优于对照组。结论:低危组MSP患者预后满意。对于浅ACD高危患者,建议早期手术干预,预防继发性青光眼。密切监测IOP和青光眼的进展对继发性青光眼患者至关重要。这种分类为MSP治疗的结果分层和临床决策指导提供了有价值的见解。然而,本研究的局限性包括样本量小,这可能会影响普遍性,未来需要更大的队列研究来验证和完善nomogram。
本文章由计算机程序翻译,如有差异,请以英文原文为准。

Novel classification for microspherophakia and its related surgical implications: a retrospective cohort study.

Novel classification for microspherophakia and its related surgical implications: a retrospective cohort study.

Novel classification for microspherophakia and its related surgical implications: a retrospective cohort study.

Novel classification for microspherophakia and its related surgical implications: a retrospective cohort study.

Background: A novel classification for microspherophakia (MSP) was developed using a nomogram model to stratify patients and evaluate surgical outcomes.

Methods: The study involved 99 eyes from 64 MSP patients, divided into training (64 eyes) and validation (35 eyes) cohorts. Primary outcome included the best corrected distance visual acuity (BCVA) at the 1-year follow-up, and the secondary outcome was intraocular pressure (IOP) control. MSP patients achieving a BCVA of ≤0.2 logarithm of the minimal angle of resolution with successful IOP control were categorised into the favourable outcomes group, while those not meeting these criteria were placed in the unfavourable outcomes group. A nomogram model was constructed to predict unfavourable outcomes by identifying associated risk factors.

Results: In the training cohort, 39.06% (25/64) achieved favourable outcomes, while 60.94% (39/64) had unfavourable outcomes. Decreased anterior chamber depth (ACD) and the presence of glaucoma were identified as risk factors for predicting unfavourable outcomes. The concordance index for the training and validation cohorts was 0.828 and 0.768, respectively. A nomogram-derived cut-off value of 56 points stratified patients into low-risk (≤56 points) and high-risk (>56 points) groups. Postoperative BCVA was significantly better in the low-risk group at 6-month and 1-year follow-ups.

Conclusion: MSP patients in the low-risk group achieved satisfactory outcomes. For high-risk patients with shallowing ACD, early surgical intervention is recommended to prevent secondary glaucoma. Close monitoring of IOP and glaucoma progression is crucial for patients with secondary glaucoma. This classification offers valuable insights for outcome stratification and guidance in clinical decision-making for MSP management. However, the limitations of this study include its small sample size, which may impact generalisability, and future studies with larger cohorts are needed to validate and refine the nomogram.

求助全文
通过发布文献求助,成功后即可免费获取论文全文。 去求助
来源期刊
BMJ Open Ophthalmology
BMJ Open Ophthalmology OPHTHALMOLOGY-
CiteScore
3.40
自引率
4.20%
发文量
104
审稿时长
20 weeks
×
引用
GB/T 7714-2015
复制
MLA
复制
APA
复制
导出至
BibTeX EndNote RefMan NoteFirst NoteExpress
×
提示
您的信息不完整,为了账户安全,请先补充。
现在去补充
×
提示
您因"违规操作"
具体请查看互助需知
我知道了
×
提示
确定
请完成安全验证×
copy
已复制链接
快去分享给好友吧!
我知道了
右上角分享
点击右上角分享
0
联系我们:info@booksci.cn Book学术提供免费学术资源搜索服务,方便国内外学者检索中英文文献。致力于提供最便捷和优质的服务体验。 Copyright © 2023 布克学术 All rights reserved.
京ICP备2023020795号-1
ghs 京公网安备 11010802042870号
Book学术文献互助
Book学术文献互助群
群 号:604180095
Book学术官方微信