某些埃及水道中与农药残留有关的生物多样性。

IF 2.2 4区 环境科学与生态学 Q2 ENVIRONMENTAL SCIENCES
Asmaa Abdel-Motleb, Rania M. Abd El-Hamid, Sara S. M. Sayed
{"title":"某些埃及水道中与农药残留有关的生物多样性。","authors":"Asmaa Abdel-Motleb,&nbsp;Rania M. Abd El-Hamid,&nbsp;Sara S. M. Sayed","doi":"10.1007/s00244-025-01129-6","DOIUrl":null,"url":null,"abstract":"<div><p>The aquatic environment has been contaminated by pyrethroids and triazole pesticide applications, which pose serious health risks to the aquatic ecosystem and human beings. Therefore, the current study aims to evaluate water quality parameters, fungal diversity, and distribution of snails and aquatic plants of certain Egyptian water courses contaminated with pyrethroids and triazole pesticides. Seasonal samples were taken throughout 2021 from different water courses at Giza Governorate and Tanta (Gharbeya Governorate). Qualitative and quantitative surveys showed significant differences in water physical parameters between the two investigated governorates. Deltamethrin, permethrin, Es-fenvalerate, and lambada-cyhalothrin showed the highest pyrethroids concentrations, while tebuconazole, tetraconazole, and difenoconazole were the highest triazole concentrations. Fungal diversity displayed 21 molecularly identified fungal species related to four fungal genera: <i>Aspergillus, Fusarium</i>, <i>Penicillium,</i> and <i>Trichoderma</i>. <i>Penicillium</i> sp. and <i>Aspergillus niger</i> were the most frequent species. Snail diversity recorded 10 and 9 species in Giza and Tanta, respectively. <i>Physa acuta</i> was the most abundant snail. Ten species of aquatic plants were observed in Giza, while six species were observed in Tanta. Specifically, <i>Eichhornia crassipes</i> and <i>Lemna gibba</i> were the dominant species in the two governorates, with the relative abundance (39 and 22%) in Giza and (27 and 23%) in Tanta, respectively. Water quality parameters and seasonal variations could control fungal diversity, snails, and aquatic plant distribution. Different relations between pesticides and biological communities may reflect the ability/inability of certain snails and fungi species to commensalism with pesticide concentrations. Continuous pesticide monitoring is essential for life below water and aligns with SDG14.</p></div>","PeriodicalId":8377,"journal":{"name":"Archives of Environmental Contamination and Toxicology","volume":"88 4","pages":"419 - 436"},"PeriodicalIF":2.2000,"publicationDate":"2025-05-09","publicationTypes":"Journal Article","fieldsOfStudy":null,"isOpenAccess":false,"openAccessPdf":"https://www.ncbi.nlm.nih.gov/pmc/articles/PMC12126350/pdf/","citationCount":"0","resultStr":"{\"title\":\"Biological Diversity Associated with Pesticides Residues in Certain Egyptian Watercourses\",\"authors\":\"Asmaa Abdel-Motleb,&nbsp;Rania M. Abd El-Hamid,&nbsp;Sara S. M. Sayed\",\"doi\":\"10.1007/s00244-025-01129-6\",\"DOIUrl\":null,\"url\":null,\"abstract\":\"<div><p>The aquatic environment has been contaminated by pyrethroids and triazole pesticide applications, which pose serious health risks to the aquatic ecosystem and human beings. Therefore, the current study aims to evaluate water quality parameters, fungal diversity, and distribution of snails and aquatic plants of certain Egyptian water courses contaminated with pyrethroids and triazole pesticides. Seasonal samples were taken throughout 2021 from different water courses at Giza Governorate and Tanta (Gharbeya Governorate). Qualitative and quantitative surveys showed significant differences in water physical parameters between the two investigated governorates. Deltamethrin, permethrin, Es-fenvalerate, and lambada-cyhalothrin showed the highest pyrethroids concentrations, while tebuconazole, tetraconazole, and difenoconazole were the highest triazole concentrations. Fungal diversity displayed 21 molecularly identified fungal species related to four fungal genera: <i>Aspergillus, Fusarium</i>, <i>Penicillium,</i> and <i>Trichoderma</i>. <i>Penicillium</i> sp. and <i>Aspergillus niger</i> were the most frequent species. Snail diversity recorded 10 and 9 species in Giza and Tanta, respectively. <i>Physa acuta</i> was the most abundant snail. Ten species of aquatic plants were observed in Giza, while six species were observed in Tanta. Specifically, <i>Eichhornia crassipes</i> and <i>Lemna gibba</i> were the dominant species in the two governorates, with the relative abundance (39 and 22%) in Giza and (27 and 23%) in Tanta, respectively. Water quality parameters and seasonal variations could control fungal diversity, snails, and aquatic plant distribution. Different relations between pesticides and biological communities may reflect the ability/inability of certain snails and fungi species to commensalism with pesticide concentrations. Continuous pesticide monitoring is essential for life below water and aligns with SDG14.</p></div>\",\"PeriodicalId\":8377,\"journal\":{\"name\":\"Archives of Environmental Contamination and Toxicology\",\"volume\":\"88 4\",\"pages\":\"419 - 436\"},\"PeriodicalIF\":2.2000,\"publicationDate\":\"2025-05-09\",\"publicationTypes\":\"Journal Article\",\"fieldsOfStudy\":null,\"isOpenAccess\":false,\"openAccessPdf\":\"https://www.ncbi.nlm.nih.gov/pmc/articles/PMC12126350/pdf/\",\"citationCount\":\"0\",\"resultStr\":null,\"platform\":\"Semanticscholar\",\"paperid\":null,\"PeriodicalName\":\"Archives of Environmental Contamination and Toxicology\",\"FirstCategoryId\":\"93\",\"ListUrlMain\":\"https://link.springer.com/article/10.1007/s00244-025-01129-6\",\"RegionNum\":4,\"RegionCategory\":\"环境科学与生态学\",\"ArticlePicture\":[],\"TitleCN\":null,\"AbstractTextCN\":null,\"PMCID\":null,\"EPubDate\":\"\",\"PubModel\":\"\",\"JCR\":\"Q2\",\"JCRName\":\"ENVIRONMENTAL SCIENCES\",\"Score\":null,\"Total\":0}","platform":"Semanticscholar","paperid":null,"PeriodicalName":"Archives of Environmental Contamination and Toxicology","FirstCategoryId":"93","ListUrlMain":"https://link.springer.com/article/10.1007/s00244-025-01129-6","RegionNum":4,"RegionCategory":"环境科学与生态学","ArticlePicture":[],"TitleCN":null,"AbstractTextCN":null,"PMCID":null,"EPubDate":"","PubModel":"","JCR":"Q2","JCRName":"ENVIRONMENTAL SCIENCES","Score":null,"Total":0}
引用次数: 0

摘要

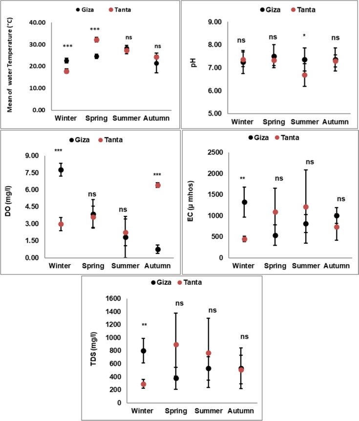
拟除虫菊酯类农药和三唑类农药的使用污染了水生环境,对水生生态系统和人类健康造成了严重的危害。因此,本研究旨在评价埃及某些被拟除虫菊酯类和三唑类杀虫剂污染的河道的水质参数、真菌多样性以及蜗牛和水生植物的分布。在2021年期间,从吉萨省和坦塔省(加尔贝亚省)的不同河道中采集了季节性样本。定性和定量调查显示,两个被调查省份之间的水物理参数存在显著差异。拟除虫菊酯的浓度以溴氰菊酯、氯菊酯、戊氰菊酯和氯氟氰菊酯最高,三唑类浓度以戊康唑、四康唑和异虫康唑最高。真菌多样性显示了21种分子鉴定的真菌,涉及4个真菌属:曲霉、镰刀菌、青霉和木霉。青霉菌和黑曲霉是最常见的菌种。吉萨和坦塔的蜗牛多样性分别为10种和9种。钉螺中数量最多的是尖裂螺。吉萨有10种水生植物,坦塔有6种水生植物。其中,吉萨省和坦塔省的优势种分别占39%和22%和27%和23%。水质参数和季节变化可以控制真菌多样性、蜗牛和水生植物的分布。农药与生物群落之间的不同关系可能反映了某些蜗牛和真菌物种对农药浓度的共生能力和不共生能力。持续的农药监测对水下生命至关重要,符合可持续发展目标14。
本文章由计算机程序翻译,如有差异,请以英文原文为准。

Biological Diversity Associated with Pesticides Residues in Certain Egyptian Watercourses

Biological Diversity Associated with Pesticides Residues in Certain Egyptian Watercourses

Biological Diversity Associated with Pesticides Residues in Certain Egyptian Watercourses

Biological Diversity Associated with Pesticides Residues in Certain Egyptian Watercourses

The aquatic environment has been contaminated by pyrethroids and triazole pesticide applications, which pose serious health risks to the aquatic ecosystem and human beings. Therefore, the current study aims to evaluate water quality parameters, fungal diversity, and distribution of snails and aquatic plants of certain Egyptian water courses contaminated with pyrethroids and triazole pesticides. Seasonal samples were taken throughout 2021 from different water courses at Giza Governorate and Tanta (Gharbeya Governorate). Qualitative and quantitative surveys showed significant differences in water physical parameters between the two investigated governorates. Deltamethrin, permethrin, Es-fenvalerate, and lambada-cyhalothrin showed the highest pyrethroids concentrations, while tebuconazole, tetraconazole, and difenoconazole were the highest triazole concentrations. Fungal diversity displayed 21 molecularly identified fungal species related to four fungal genera: Aspergillus, Fusarium, Penicillium, and Trichoderma. Penicillium sp. and Aspergillus niger were the most frequent species. Snail diversity recorded 10 and 9 species in Giza and Tanta, respectively. Physa acuta was the most abundant snail. Ten species of aquatic plants were observed in Giza, while six species were observed in Tanta. Specifically, Eichhornia crassipes and Lemna gibba were the dominant species in the two governorates, with the relative abundance (39 and 22%) in Giza and (27 and 23%) in Tanta, respectively. Water quality parameters and seasonal variations could control fungal diversity, snails, and aquatic plant distribution. Different relations between pesticides and biological communities may reflect the ability/inability of certain snails and fungi species to commensalism with pesticide concentrations. Continuous pesticide monitoring is essential for life below water and aligns with SDG14.

求助全文
通过发布文献求助,成功后即可免费获取论文全文。 去求助
来源期刊
CiteScore
7.00
自引率
2.50%
发文量
63
审稿时长
8-16 weeks
期刊介绍: Archives of Environmental Contamination and Toxicology provides a place for the publication of timely, detailed, and definitive scientific studies pertaining to the source, transport, fate and / or effects of contaminants in the environment. The journal will consider submissions dealing with new analytical and toxicological techniques that advance our understanding of the source, transport, fate and / or effects of contaminants in the environment. AECT will now consider mini-reviews (where length including references is less than 5,000 words), which highlight case studies, a geographic topic of interest, or a timely subject of debate. AECT will also consider Special Issues on subjects of broad interest. The journal strongly encourages authors to ensure that their submission places a strong emphasis on ecosystem processes; submissions limited to technical aspects of such areas as toxicity testing for single chemicals, wastewater effluent characterization, human occupation exposure, or agricultural phytotoxicity are unlikely to be considered.
×
引用
GB/T 7714-2015
复制
MLA
复制
APA
复制
导出至
BibTeX EndNote RefMan NoteFirst NoteExpress
×
提示
您的信息不完整,为了账户安全,请先补充。
现在去补充
×
提示
您因"违规操作"
具体请查看互助需知
我知道了
×
提示
确定
请完成安全验证×
copy
已复制链接
快去分享给好友吧!
我知道了
右上角分享
点击右上角分享
0
联系我们:info@booksci.cn Book学术提供免费学术资源搜索服务,方便国内外学者检索中英文文献。致力于提供最便捷和优质的服务体验。 Copyright © 2023 布克学术 All rights reserved.
京ICP备2023020795号-1
ghs 京公网安备 11010802042870号
Book学术文献互助
Book学术文献互助群
群 号:604180095
Book学术官方微信