年龄小于50岁的患者易发生晚期原发性开角型青光眼的眼轴长度临界值的探讨。

IF 2.4 3区 医学 Q2 OPHTHALMOLOGY
Kenji Suda, Masahiro Miyake, Tadamichi Akagi, Hanako Ohashi Ikeda, Takanori Kameda, Tomoko Hasegawa, Shogo Numa, Akitaka Tsujikawa
{"title":"年龄小于50岁的患者易发生晚期原发性开角型青光眼的眼轴长度临界值的探讨。","authors":"Kenji Suda, Masahiro Miyake, Tadamichi Akagi, Hanako Ohashi Ikeda, Takanori Kameda, Tomoko Hasegawa, Shogo Numa, Akitaka Tsujikawa","doi":"10.1007/s00417-025-06827-4","DOIUrl":null,"url":null,"abstract":"<p><strong>Purpose: </strong>To examine the correlation of the spherical equivalent refraction (SER) and axial length with the visual field, and to determine cutoff values of SER and axial length for the risk of developing advanced primary open-angle glaucoma (POAG).</p><p><strong>Methods: </strong>Patients with POAG or secondary glaucoma were retrospectively enrolled from a clinical database at Kyoto University Hospital between August 2011 and December 2018. Correlations between the mean deviation (MD) and axial length were evaluated in these patients using the Pearson's correlation coefficient. Advanced POAG was defined as having an MD of less than -12 dB as measured by the Humphrey visual field analyzer (HFA). The cutoff values of the axial length and SER for the risk of developing advanced POAG were determined using Fisher's exact test and Youden's J statistic for HFA 24-2 and 10-2, respectively.</p><p><strong>Results: </strong>This study included 741 eyes of 438 patients. In POAG, axial length was negatively correlated with the MDs of the HFA 24-2 and 10-2. However, in secondary glaucoma, axial length did not significantly correlate with the MDs of the HFA. The cutoff axial length for the HFA 24-2 was 27.7 mm. For HFA 10-2, two peaks for the Youden's J statistic were observed, at 27.67 mm and 25.51 mm. No significant association was found between SER and severity of visual field changes.</p><p><strong>Conclusions: </strong>Axial length measurement was clinically significant in assessing risk of severe or central visual field defects in young patients with POAG.</p>","PeriodicalId":12795,"journal":{"name":"Graefe’s Archive for Clinical and Experimental Ophthalmology","volume":" ","pages":"2631-2639"},"PeriodicalIF":2.4000,"publicationDate":"2025-09-01","publicationTypes":"Journal Article","fieldsOfStudy":null,"isOpenAccess":false,"openAccessPdf":"https://www.ncbi.nlm.nih.gov/pmc/articles/PMC12513891/pdf/","citationCount":"0","resultStr":"{\"title\":\"Exploration of the cutoff values of axial length that is susceptible to develop advanced primary open angle glaucoma in patients aged less than 50 years.\",\"authors\":\"Kenji Suda, Masahiro Miyake, Tadamichi Akagi, Hanako Ohashi Ikeda, Takanori Kameda, Tomoko Hasegawa, Shogo Numa, Akitaka Tsujikawa\",\"doi\":\"10.1007/s00417-025-06827-4\",\"DOIUrl\":null,\"url\":null,\"abstract\":\"<p><strong>Purpose: </strong>To examine the correlation of the spherical equivalent refraction (SER) and axial length with the visual field, and to determine cutoff values of SER and axial length for the risk of developing advanced primary open-angle glaucoma (POAG).</p><p><strong>Methods: </strong>Patients with POAG or secondary glaucoma were retrospectively enrolled from a clinical database at Kyoto University Hospital between August 2011 and December 2018. Correlations between the mean deviation (MD) and axial length were evaluated in these patients using the Pearson's correlation coefficient. Advanced POAG was defined as having an MD of less than -12 dB as measured by the Humphrey visual field analyzer (HFA). The cutoff values of the axial length and SER for the risk of developing advanced POAG were determined using Fisher's exact test and Youden's J statistic for HFA 24-2 and 10-2, respectively.</p><p><strong>Results: </strong>This study included 741 eyes of 438 patients. In POAG, axial length was negatively correlated with the MDs of the HFA 24-2 and 10-2. However, in secondary glaucoma, axial length did not significantly correlate with the MDs of the HFA. The cutoff axial length for the HFA 24-2 was 27.7 mm. For HFA 10-2, two peaks for the Youden's J statistic were observed, at 27.67 mm and 25.51 mm. No significant association was found between SER and severity of visual field changes.</p><p><strong>Conclusions: </strong>Axial length measurement was clinically significant in assessing risk of severe or central visual field defects in young patients with POAG.</p>\",\"PeriodicalId\":12795,\"journal\":{\"name\":\"Graefe’s Archive for Clinical and Experimental Ophthalmology\",\"volume\":\" \",\"pages\":\"2631-2639\"},\"PeriodicalIF\":2.4000,\"publicationDate\":\"2025-09-01\",\"publicationTypes\":\"Journal Article\",\"fieldsOfStudy\":null,\"isOpenAccess\":false,\"openAccessPdf\":\"https://www.ncbi.nlm.nih.gov/pmc/articles/PMC12513891/pdf/\",\"citationCount\":\"0\",\"resultStr\":null,\"platform\":\"Semanticscholar\",\"paperid\":null,\"PeriodicalName\":\"Graefe’s Archive for Clinical and Experimental Ophthalmology\",\"FirstCategoryId\":\"3\",\"ListUrlMain\":\"https://doi.org/10.1007/s00417-025-06827-4\",\"RegionNum\":3,\"RegionCategory\":\"医学\",\"ArticlePicture\":[],\"TitleCN\":null,\"AbstractTextCN\":null,\"PMCID\":null,\"EPubDate\":\"2025/4/14 0:00:00\",\"PubModel\":\"Epub\",\"JCR\":\"Q2\",\"JCRName\":\"OPHTHALMOLOGY\",\"Score\":null,\"Total\":0}","platform":"Semanticscholar","paperid":null,"PeriodicalName":"Graefe’s Archive for Clinical and Experimental Ophthalmology","FirstCategoryId":"3","ListUrlMain":"https://doi.org/10.1007/s00417-025-06827-4","RegionNum":3,"RegionCategory":"医学","ArticlePicture":[],"TitleCN":null,"AbstractTextCN":null,"PMCID":null,"EPubDate":"2025/4/14 0:00:00","PubModel":"Epub","JCR":"Q2","JCRName":"OPHTHALMOLOGY","Score":null,"Total":0}
引用次数: 0

摘要

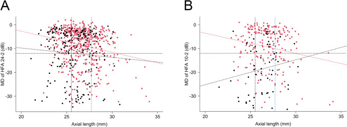
目的:探讨球面等效屈光度(SER)和眼轴长度与视野的相关性,确定SER和眼轴长度与发展为晚期原发性开角型青光眼(POAG)风险的临界值。方法:从京都大学医院2011年8月至2018年12月的临床数据库中回顾性纳入POAG或继发性青光眼患者。使用Pearson相关系数评估这些患者的平均偏差(MD)与轴向长度之间的相关性。高级POAG被定义为通过Humphrey视野分析仪(HFA)测量的MD小于-12 dB。采用HFA 24-2和10-2的Fisher精确检验和Youden's J统计分别确定轴向长度和SER发展为晚期POAG风险的临界值。结果:本研究纳入438例患者741只眼。在POAG中,轴向长度与HFA 24-2和10-2的MDs呈负相关。然而,在继发性青光眼中,眼轴长度与HFA的MDs没有显著相关。HFA 24-2的截轴长度为27.7 mm。对于HFA 10-2,约登J统计量在27.67 mm和25.51 mm处出现两个峰。SER与视野改变的严重程度之间没有明显的关联。结论:轴长测量在评估年轻POAG患者严重或中心视野缺损风险方面具有临床意义。
本文章由计算机程序翻译,如有差异,请以英文原文为准。

Exploration of the cutoff values of axial length that is susceptible to develop advanced primary open angle glaucoma in patients aged less than 50 years.

Exploration of the cutoff values of axial length that is susceptible to develop advanced primary open angle glaucoma in patients aged less than 50 years.

Exploration of the cutoff values of axial length that is susceptible to develop advanced primary open angle glaucoma in patients aged less than 50 years.

Exploration of the cutoff values of axial length that is susceptible to develop advanced primary open angle glaucoma in patients aged less than 50 years.

Purpose: To examine the correlation of the spherical equivalent refraction (SER) and axial length with the visual field, and to determine cutoff values of SER and axial length for the risk of developing advanced primary open-angle glaucoma (POAG).

Methods: Patients with POAG or secondary glaucoma were retrospectively enrolled from a clinical database at Kyoto University Hospital between August 2011 and December 2018. Correlations between the mean deviation (MD) and axial length were evaluated in these patients using the Pearson's correlation coefficient. Advanced POAG was defined as having an MD of less than -12 dB as measured by the Humphrey visual field analyzer (HFA). The cutoff values of the axial length and SER for the risk of developing advanced POAG were determined using Fisher's exact test and Youden's J statistic for HFA 24-2 and 10-2, respectively.

Results: This study included 741 eyes of 438 patients. In POAG, axial length was negatively correlated with the MDs of the HFA 24-2 and 10-2. However, in secondary glaucoma, axial length did not significantly correlate with the MDs of the HFA. The cutoff axial length for the HFA 24-2 was 27.7 mm. For HFA 10-2, two peaks for the Youden's J statistic were observed, at 27.67 mm and 25.51 mm. No significant association was found between SER and severity of visual field changes.

Conclusions: Axial length measurement was clinically significant in assessing risk of severe or central visual field defects in young patients with POAG.

求助全文
通过发布文献求助,成功后即可免费获取论文全文。 去求助
来源期刊
CiteScore
5.40
自引率
7.40%
发文量
398
审稿时长
3 months
期刊介绍: Graefe''s Archive for Clinical and Experimental Ophthalmology is a distinguished international journal that presents original clinical reports and clini-cally relevant experimental studies. Founded in 1854 by Albrecht von Graefe to serve as a source of useful clinical information and a stimulus for discussion, the journal has published articles by leading ophthalmologists and vision research scientists for more than a century. With peer review by an international Editorial Board and prompt English-language publication, Graefe''s Archive provides rapid dissemination of clinical and clinically related experimental information.
×
引用
GB/T 7714-2015
复制
MLA
复制
APA
复制
导出至
BibTeX EndNote RefMan NoteFirst NoteExpress
×
提示
您的信息不完整,为了账户安全,请先补充。
现在去补充
×
提示
您因"违规操作"
具体请查看互助需知
我知道了
×
提示
确定
请完成安全验证×
copy
已复制链接
快去分享给好友吧!
我知道了
右上角分享
点击右上角分享
0
联系我们:info@booksci.cn Book学术提供免费学术资源搜索服务,方便国内外学者检索中英文文献。致力于提供最便捷和优质的服务体验。 Copyright © 2023 布克学术 All rights reserved.
京ICP备2023020795号-1
ghs 京公网安备 11010802042870号
Book学术文献互助
Book学术文献互助群
群 号:604180095
Book学术官方微信