利用基于全人口行政层面数据的个人寿命损失年数估计数,量化COVID-19的健康负担。

IF 4.4 2区 医学 Q1 PUBLIC, ENVIRONMENTAL & OCCUPATIONAL HEALTH
Epidemiology Pub Date : 2025-07-01 Epub Date: 2025-04-09 DOI:10.1097/EDE.0000000000001854
Elena Milkovska, Bram Wouterse, Jawa Issa, Pieter van Baal
{"title":"利用基于全人口行政层面数据的个人寿命损失年数估计数,量化COVID-19的健康负担。","authors":"Elena Milkovska, Bram Wouterse, Jawa Issa, Pieter van Baal","doi":"10.1097/EDE.0000000000001854","DOIUrl":null,"url":null,"abstract":"<p><strong>Background: </strong>The coronavirus disease 2019 (COVID-19) pandemic caused substantial health losses but not much is known about how these are distributed across the population. We aimed to estimate the distribution of years of life lost (YLL) due to COVID-19 and investigate its variation across the Dutch population, taking into account preexisting differences in health.</p><p><strong>Methods: </strong>We used linked administrative data covering the entire 50+ Dutch population over 2012-2018 (n = 6,102,334) to estimate counterfactual individual-level life expectancy for those who died from COVID-19 in 2020 and 2021. We estimated survival models and used Cox-LASSO and Cox-Elastic Net to perform variable selection among the large set of potential predictors in our data. Using individual-level life expectancy predictions, we generated the distribution of YLL due to COVID-19 for the entire 50+ population by age and income.</p><p><strong>Results: </strong>On average, we estimate that individuals who died of COVID-19 had a counterfactual life expectancy about 28% lower than that of the rest of the population. Within this average, there was substantial heterogeneity, with 20% of all individuals who died of COVID-19 having an estimated life expectancy exceeding that of the age-specific population average. Both the richest and poorest COVID-19 decedents lost the same average number of YLL, which were similarly dispersed.</p><p><strong>Conclusion: </strong>Accounting for preexisting health problems is crucial when estimating YLL due to COVID-19. While average life expectancy among COVID-19 decedents was substantially lower than for the rest of the population, the popular notion that only the frail died from COVID-19 is not true.</p>","PeriodicalId":11779,"journal":{"name":"Epidemiology","volume":" ","pages":"520-530"},"PeriodicalIF":4.4000,"publicationDate":"2025-07-01","publicationTypes":"Journal Article","fieldsOfStudy":null,"isOpenAccess":false,"openAccessPdf":"https://www.ncbi.nlm.nih.gov/pmc/articles/PMC12118614/pdf/","citationCount":"0","resultStr":"{\"title\":\"Quantifying the Health Burden of COVID-19 Using Individual Estimates of Years of Life Lost Based on Population-wide Administrative Level Data.\",\"authors\":\"Elena Milkovska, Bram Wouterse, Jawa Issa, Pieter van Baal\",\"doi\":\"10.1097/EDE.0000000000001854\",\"DOIUrl\":null,\"url\":null,\"abstract\":\"<p><strong>Background: </strong>The coronavirus disease 2019 (COVID-19) pandemic caused substantial health losses but not much is known about how these are distributed across the population. We aimed to estimate the distribution of years of life lost (YLL) due to COVID-19 and investigate its variation across the Dutch population, taking into account preexisting differences in health.</p><p><strong>Methods: </strong>We used linked administrative data covering the entire 50+ Dutch population over 2012-2018 (n = 6,102,334) to estimate counterfactual individual-level life expectancy for those who died from COVID-19 in 2020 and 2021. We estimated survival models and used Cox-LASSO and Cox-Elastic Net to perform variable selection among the large set of potential predictors in our data. Using individual-level life expectancy predictions, we generated the distribution of YLL due to COVID-19 for the entire 50+ population by age and income.</p><p><strong>Results: </strong>On average, we estimate that individuals who died of COVID-19 had a counterfactual life expectancy about 28% lower than that of the rest of the population. Within this average, there was substantial heterogeneity, with 20% of all individuals who died of COVID-19 having an estimated life expectancy exceeding that of the age-specific population average. Both the richest and poorest COVID-19 decedents lost the same average number of YLL, which were similarly dispersed.</p><p><strong>Conclusion: </strong>Accounting for preexisting health problems is crucial when estimating YLL due to COVID-19. While average life expectancy among COVID-19 decedents was substantially lower than for the rest of the population, the popular notion that only the frail died from COVID-19 is not true.</p>\",\"PeriodicalId\":11779,\"journal\":{\"name\":\"Epidemiology\",\"volume\":\" \",\"pages\":\"520-530\"},\"PeriodicalIF\":4.4000,\"publicationDate\":\"2025-07-01\",\"publicationTypes\":\"Journal Article\",\"fieldsOfStudy\":null,\"isOpenAccess\":false,\"openAccessPdf\":\"https://www.ncbi.nlm.nih.gov/pmc/articles/PMC12118614/pdf/\",\"citationCount\":\"0\",\"resultStr\":null,\"platform\":\"Semanticscholar\",\"paperid\":null,\"PeriodicalName\":\"Epidemiology\",\"FirstCategoryId\":\"3\",\"ListUrlMain\":\"https://doi.org/10.1097/EDE.0000000000001854\",\"RegionNum\":2,\"RegionCategory\":\"医学\",\"ArticlePicture\":[],\"TitleCN\":null,\"AbstractTextCN\":null,\"PMCID\":null,\"EPubDate\":\"2025/4/9 0:00:00\",\"PubModel\":\"Epub\",\"JCR\":\"Q1\",\"JCRName\":\"PUBLIC, ENVIRONMENTAL & OCCUPATIONAL HEALTH\",\"Score\":null,\"Total\":0}","platform":"Semanticscholar","paperid":null,"PeriodicalName":"Epidemiology","FirstCategoryId":"3","ListUrlMain":"https://doi.org/10.1097/EDE.0000000000001854","RegionNum":2,"RegionCategory":"医学","ArticlePicture":[],"TitleCN":null,"AbstractTextCN":null,"PMCID":null,"EPubDate":"2025/4/9 0:00:00","PubModel":"Epub","JCR":"Q1","JCRName":"PUBLIC, ENVIRONMENTAL & OCCUPATIONAL HEALTH","Score":null,"Total":0}
引用次数: 0

摘要

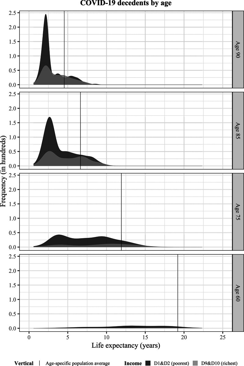
背景:2019冠状病毒病大流行造成了巨大的健康损失,但人们对这些损失在人群中的分布情况知之甚少。我们的目的是估计因COVID-19导致的寿命损失年数(YLL)的分布,并调查其在荷兰人口中的变化,同时考虑到先前存在的健康差异。方法:我们使用涵盖2012-2018年整个50+荷兰人口的相关行政数据(n=6102334)来估计2020年和2021年死于COVID-19的人的反事实个人预期寿命。我们估计了生存模型,并使用Cox-LASSO和Cox-Elastic Net从数据中的大量潜在预测因子中进行变量选择。利用个人水平的预期寿命预测,我们按年龄和收入计算了整个50岁以上人口中因COVID-19导致的YLL分布。结果:平均而言,我们估计死于COVID-19的人的预期寿命比其他人群低约28%。在这个平均值中存在很大的异质性,在所有死于COVID-19的人中,有20%的人的预期寿命估计超过了特定年龄人群的平均寿命。最富有和最贫穷的COVID-19受害者失去的平均YLL数量相同,分散程度相似。结论:在估计COVID-19导致的YLL时,考虑先前存在的健康问题至关重要。虽然COVID-19死者的平均预期寿命大大低于其他人口,但只有体弱多病的人才死于COVID-19的流行观念是不正确的。
本文章由计算机程序翻译,如有差异,请以英文原文为准。

Quantifying the Health Burden of COVID-19 Using Individual Estimates of Years of Life Lost Based on Population-wide Administrative Level Data.

Quantifying the Health Burden of COVID-19 Using Individual Estimates of Years of Life Lost Based on Population-wide Administrative Level Data.

Quantifying the Health Burden of COVID-19 Using Individual Estimates of Years of Life Lost Based on Population-wide Administrative Level Data.

Quantifying the Health Burden of COVID-19 Using Individual Estimates of Years of Life Lost Based on Population-wide Administrative Level Data.

Background: The coronavirus disease 2019 (COVID-19) pandemic caused substantial health losses but not much is known about how these are distributed across the population. We aimed to estimate the distribution of years of life lost (YLL) due to COVID-19 and investigate its variation across the Dutch population, taking into account preexisting differences in health.

Methods: We used linked administrative data covering the entire 50+ Dutch population over 2012-2018 (n = 6,102,334) to estimate counterfactual individual-level life expectancy for those who died from COVID-19 in 2020 and 2021. We estimated survival models and used Cox-LASSO and Cox-Elastic Net to perform variable selection among the large set of potential predictors in our data. Using individual-level life expectancy predictions, we generated the distribution of YLL due to COVID-19 for the entire 50+ population by age and income.

Results: On average, we estimate that individuals who died of COVID-19 had a counterfactual life expectancy about 28% lower than that of the rest of the population. Within this average, there was substantial heterogeneity, with 20% of all individuals who died of COVID-19 having an estimated life expectancy exceeding that of the age-specific population average. Both the richest and poorest COVID-19 decedents lost the same average number of YLL, which were similarly dispersed.

Conclusion: Accounting for preexisting health problems is crucial when estimating YLL due to COVID-19. While average life expectancy among COVID-19 decedents was substantially lower than for the rest of the population, the popular notion that only the frail died from COVID-19 is not true.

求助全文
通过发布文献求助,成功后即可免费获取论文全文。 去求助
来源期刊
Epidemiology
Epidemiology 医学-公共卫生、环境卫生与职业卫生
CiteScore
6.70
自引率
3.70%
发文量
177
审稿时长
6-12 weeks
期刊介绍: Epidemiology publishes original research from all fields of epidemiology. The journal also welcomes review articles and meta-analyses, novel hypotheses, descriptions and applications of new methods, and discussions of research theory or public health policy. We give special consideration to papers from developing countries.
×
引用
GB/T 7714-2015
复制
MLA
复制
APA
复制
导出至
BibTeX EndNote RefMan NoteFirst NoteExpress
×
提示
您的信息不完整,为了账户安全,请先补充。
现在去补充
×
提示
您因"违规操作"
具体请查看互助需知
我知道了
×
提示
确定
请完成安全验证×
copy
已复制链接
快去分享给好友吧!
我知道了
右上角分享
点击右上角分享
0
联系我们:info@booksci.cn Book学术提供免费学术资源搜索服务,方便国内外学者检索中英文文献。致力于提供最便捷和优质的服务体验。 Copyright © 2023 布克学术 All rights reserved.
京ICP备2023020795号-1
ghs 京公网安备 11010802042870号
Book学术文献互助
Book学术文献互助群
群 号:604180095
Book学术官方微信