壳聚糖和壳聚糖两性霉素B体外、体内杀利什曼尼菌活性及细胞毒活性的评价。

IF 3.7 3区 生物学 Q2 BIOTECHNOLOGY & APPLIED MICROBIOLOGY
Parisa Mousavi, Bahman Rahimi Esboei, Maryam Pourhajibagher, Azadeh Zolfaghari, Zabihollah Shahmoradi, Fatemeh Namdar, Somayyeh Ahmadi, Seyed Mahmood Mousavi, Fatemeh Parandin, Seyed Hossein Hejazi
{"title":"壳聚糖和壳聚糖两性霉素B体外、体内杀利什曼尼菌活性及细胞毒活性的评价。","authors":"Parisa Mousavi, Bahman Rahimi Esboei, Maryam Pourhajibagher, Azadeh Zolfaghari, Zabihollah Shahmoradi, Fatemeh Namdar, Somayyeh Ahmadi, Seyed Mahmood Mousavi, Fatemeh Parandin, Seyed Hossein Hejazi","doi":"10.1186/s13568-025-01877-7","DOIUrl":null,"url":null,"abstract":"<p><p>Cutaneous leishmaniasis (CL), classified as a neglected tropical disease (NTD), is a significant public health concern caused by Leishmania protozoa. It is transmitted through the bites of infected female sandflies and manifests in various forms, ranging from localized skin ulcers to social stigma due to scarring. Numerous reports highlight the life-threatening side effects of glucantim, the first-line treatment for this disease, indicating a pressing need foralternative drugs. This experimental study aims to assess the anti-leishmanial effects of chitosan and chitosan- amphotericin B against Leishmania major (L. major) in vitro and in vivo. Chitosan and amphotricine B were purchased, and different concentrations were prepared. L. major promastigotes were cultured in RPMI-1640 medium. In vitro anti-leishmanial activity was assessed against the promastigotes of L. major using vital staining. For the in vivo assessment, lesion sizes were measured before and after ointment treatments in Bagg Albino mice (BALB/c). The 3-(4,5-dimethylthiazol-2-yl)-2,5-diphenyl-2 H-tetrazolium bromide (MTT) assay was utilized to evaluate the cytotoxic effects of chitosan and chitosan-amphotericin B at varying concentrations on the L929 cell line. Additionally, the in vitro hemolytic activity was measured using a spectrophotometric method. The in vitro and in vivo experiments demonstrated that chitosan-amphotericin B exhibited superior inhibitory effects against L. major compared to either chitosan or amphotericin B alone, and even against the positive control, particularly at higher concentrations (P < 0.05). Furthermore, cytotoxicity tests indicated that both chitosan and amphotericin, whether used separately or in combination, had no cytotoxic effects on the L929 cell line or human blood samples in vitro and did not impact liver enzymes in vivo (P < 0.05). The findings from this in vitro and in vivo study highlighted the impressive anti-leishmanial effects of chitosan, which were further enhanced with the addition of amphotericin B.</p>","PeriodicalId":7537,"journal":{"name":"AMB Express","volume":"15 1","pages":"68"},"PeriodicalIF":3.7000,"publicationDate":"2025-04-29","publicationTypes":"Journal Article","fieldsOfStudy":null,"isOpenAccess":false,"openAccessPdf":"https://www.ncbi.nlm.nih.gov/pmc/articles/PMC12040810/pdf/","citationCount":"0","resultStr":"{\"title\":\"In vitro and in vivo evaluation of the leishmanicidal and cytotoxic activities of chitosan and chitosan-amphotericin B.\",\"authors\":\"Parisa Mousavi, Bahman Rahimi Esboei, Maryam Pourhajibagher, Azadeh Zolfaghari, Zabihollah Shahmoradi, Fatemeh Namdar, Somayyeh Ahmadi, Seyed Mahmood Mousavi, Fatemeh Parandin, Seyed Hossein Hejazi\",\"doi\":\"10.1186/s13568-025-01877-7\",\"DOIUrl\":null,\"url\":null,\"abstract\":\"<p><p>Cutaneous leishmaniasis (CL), classified as a neglected tropical disease (NTD), is a significant public health concern caused by Leishmania protozoa. It is transmitted through the bites of infected female sandflies and manifests in various forms, ranging from localized skin ulcers to social stigma due to scarring. Numerous reports highlight the life-threatening side effects of glucantim, the first-line treatment for this disease, indicating a pressing need foralternative drugs. This experimental study aims to assess the anti-leishmanial effects of chitosan and chitosan- amphotericin B against Leishmania major (L. major) in vitro and in vivo. Chitosan and amphotricine B were purchased, and different concentrations were prepared. L. major promastigotes were cultured in RPMI-1640 medium. In vitro anti-leishmanial activity was assessed against the promastigotes of L. major using vital staining. For the in vivo assessment, lesion sizes were measured before and after ointment treatments in Bagg Albino mice (BALB/c). The 3-(4,5-dimethylthiazol-2-yl)-2,5-diphenyl-2 H-tetrazolium bromide (MTT) assay was utilized to evaluate the cytotoxic effects of chitosan and chitosan-amphotericin B at varying concentrations on the L929 cell line. Additionally, the in vitro hemolytic activity was measured using a spectrophotometric method. The in vitro and in vivo experiments demonstrated that chitosan-amphotericin B exhibited superior inhibitory effects against L. major compared to either chitosan or amphotericin B alone, and even against the positive control, particularly at higher concentrations (P < 0.05). Furthermore, cytotoxicity tests indicated that both chitosan and amphotericin, whether used separately or in combination, had no cytotoxic effects on the L929 cell line or human blood samples in vitro and did not impact liver enzymes in vivo (P < 0.05). The findings from this in vitro and in vivo study highlighted the impressive anti-leishmanial effects of chitosan, which were further enhanced with the addition of amphotericin B.</p>\",\"PeriodicalId\":7537,\"journal\":{\"name\":\"AMB Express\",\"volume\":\"15 1\",\"pages\":\"68\"},\"PeriodicalIF\":3.7000,\"publicationDate\":\"2025-04-29\",\"publicationTypes\":\"Journal Article\",\"fieldsOfStudy\":null,\"isOpenAccess\":false,\"openAccessPdf\":\"https://www.ncbi.nlm.nih.gov/pmc/articles/PMC12040810/pdf/\",\"citationCount\":\"0\",\"resultStr\":null,\"platform\":\"Semanticscholar\",\"paperid\":null,\"PeriodicalName\":\"AMB Express\",\"FirstCategoryId\":\"5\",\"ListUrlMain\":\"https://doi.org/10.1186/s13568-025-01877-7\",\"RegionNum\":3,\"RegionCategory\":\"生物学\",\"ArticlePicture\":[],\"TitleCN\":null,\"AbstractTextCN\":null,\"PMCID\":null,\"EPubDate\":\"\",\"PubModel\":\"\",\"JCR\":\"Q2\",\"JCRName\":\"BIOTECHNOLOGY & APPLIED MICROBIOLOGY\",\"Score\":null,\"Total\":0}","platform":"Semanticscholar","paperid":null,"PeriodicalName":"AMB Express","FirstCategoryId":"5","ListUrlMain":"https://doi.org/10.1186/s13568-025-01877-7","RegionNum":3,"RegionCategory":"生物学","ArticlePicture":[],"TitleCN":null,"AbstractTextCN":null,"PMCID":null,"EPubDate":"","PubModel":"","JCR":"Q2","JCRName":"BIOTECHNOLOGY & APPLIED MICROBIOLOGY","Score":null,"Total":0}
引用次数: 0

摘要

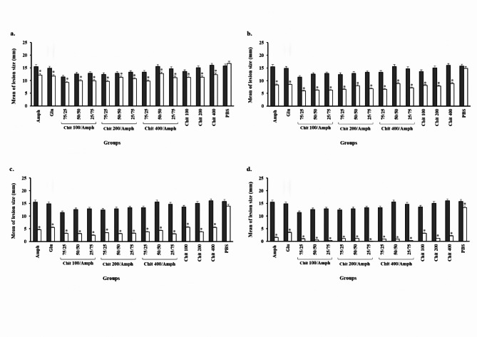
皮肤利什曼病(CL)被列为被忽视的热带病(NTD),是由利什曼原虫引起的重大公共卫生问题。它通过受感染的雌性白蛉叮咬传播,并表现为多种形式,从局部皮肤溃疡到因疤痕而引起的社会耻辱。大量的报道强调了葡聚糖的危及生命的副作用,葡聚糖是治疗这种疾病的一线药物,这表明迫切需要替代药物。本实验旨在研究壳聚糖和壳聚糖两性霉素B对利什曼原虫(L. major)体外和体内的抗利什曼原虫作用。购买壳聚糖和两性霉素B,制备不同浓度。L. major promastigotes在RPMI-1640培养基中培养。采用生命染色法测定其体外抗利什曼原虫活性。为了进行体内评估,在Bagg白化病小鼠(BALB/c)软膏治疗前后测量病变大小。采用3-(4,5-二甲基噻唑-2-酰基)-2,5-二苯基-2 h -溴化四氮唑(MTT)法研究了不同浓度壳聚糖和壳聚糖两性霉素B对L929细胞株的细胞毒作用。此外,用分光光度法测定体外溶血活性。体外和体内实验表明,壳聚糖-两性霉素B对L. major的抑制作用优于壳聚糖或两性霉素B,甚至优于阳性对照,特别是在较高浓度时(P
本文章由计算机程序翻译,如有差异,请以英文原文为准。

In vitro and in vivo evaluation of the leishmanicidal and cytotoxic activities of chitosan and chitosan-amphotericin B.

In vitro and in vivo evaluation of the leishmanicidal and cytotoxic activities of chitosan and chitosan-amphotericin B.

In vitro and in vivo evaluation of the leishmanicidal and cytotoxic activities of chitosan and chitosan-amphotericin B.

In vitro and in vivo evaluation of the leishmanicidal and cytotoxic activities of chitosan and chitosan-amphotericin B.

Cutaneous leishmaniasis (CL), classified as a neglected tropical disease (NTD), is a significant public health concern caused by Leishmania protozoa. It is transmitted through the bites of infected female sandflies and manifests in various forms, ranging from localized skin ulcers to social stigma due to scarring. Numerous reports highlight the life-threatening side effects of glucantim, the first-line treatment for this disease, indicating a pressing need foralternative drugs. This experimental study aims to assess the anti-leishmanial effects of chitosan and chitosan- amphotericin B against Leishmania major (L. major) in vitro and in vivo. Chitosan and amphotricine B were purchased, and different concentrations were prepared. L. major promastigotes were cultured in RPMI-1640 medium. In vitro anti-leishmanial activity was assessed against the promastigotes of L. major using vital staining. For the in vivo assessment, lesion sizes were measured before and after ointment treatments in Bagg Albino mice (BALB/c). The 3-(4,5-dimethylthiazol-2-yl)-2,5-diphenyl-2 H-tetrazolium bromide (MTT) assay was utilized to evaluate the cytotoxic effects of chitosan and chitosan-amphotericin B at varying concentrations on the L929 cell line. Additionally, the in vitro hemolytic activity was measured using a spectrophotometric method. The in vitro and in vivo experiments demonstrated that chitosan-amphotericin B exhibited superior inhibitory effects against L. major compared to either chitosan or amphotericin B alone, and even against the positive control, particularly at higher concentrations (P < 0.05). Furthermore, cytotoxicity tests indicated that both chitosan and amphotericin, whether used separately or in combination, had no cytotoxic effects on the L929 cell line or human blood samples in vitro and did not impact liver enzymes in vivo (P < 0.05). The findings from this in vitro and in vivo study highlighted the impressive anti-leishmanial effects of chitosan, which were further enhanced with the addition of amphotericin B.

求助全文
通过发布文献求助,成功后即可免费获取论文全文。 去求助
来源期刊
AMB Express
AMB Express BIOTECHNOLOGY & APPLIED MICROBIOLOGY-
CiteScore
7.20
自引率
2.70%
发文量
141
审稿时长
13 weeks
期刊介绍: AMB Express is a high quality journal that brings together research in the area of Applied and Industrial Microbiology with a particular interest in ''White Biotechnology'' and ''Red Biotechnology''. The emphasis is on processes employing microorganisms, eukaryotic cell cultures or enzymes for the biosynthesis, transformation and degradation of compounds. This includes fine and bulk chemicals, polymeric compounds and enzymes or other proteins. Downstream processes are also considered. Integrated processes combining biochemical and chemical processes are also published.
×
引用
GB/T 7714-2015
复制
MLA
复制
APA
复制
导出至
BibTeX EndNote RefMan NoteFirst NoteExpress
×
提示
您的信息不完整,为了账户安全,请先补充。
现在去补充
×
提示
您因"违规操作"
具体请查看互助需知
我知道了
×
提示
确定
请完成安全验证×
copy
已复制链接
快去分享给好友吧!
我知道了
右上角分享
点击右上角分享
0
联系我们:info@booksci.cn Book学术提供免费学术资源搜索服务,方便国内外学者检索中英文文献。致力于提供最便捷和优质的服务体验。 Copyright © 2023 布克学术 All rights reserved.
京ICP备2023020795号-1
ghs 京公网安备 11010802042870号
Book学术文献互助
Book学术文献互助群
群 号:604180095
Book学术官方微信