工程铜绿假单胞菌生产(R)-3-羟基癸酸。

IF 3.7 3区 生物学 Q2 BIOTECHNOLOGY & APPLIED MICROBIOLOGY
Shuai Wang, Haiying Yu, Kun Zhu
{"title":"工程铜绿假单胞菌生产(R)-3-羟基癸酸。","authors":"Shuai Wang, Haiying Yu, Kun Zhu","doi":"10.1186/s13568-025-01880-y","DOIUrl":null,"url":null,"abstract":"<p><p>(R)-3-hydroxyalkanoic acids (R-3HAs) play a crucial role as essential chemicals serving as precursors or intermediates in the synthesis of a wide range of valuable compounds, such as pharmaceuticals, antibiotics, and food additives. Despite their significance, achieving industrial-scale production of R-3HAs, particularly medium-chain-length (mcl) R-3HAs, has been challenging due to the absence of suitable strains with efficient biosynthesis pathways. This study focuses on achieving the production of mcl R-3HA monomers by leveraging the \"substrate pool\" of R-3-(R-3-hydroxyalkanoyloxy) alkanoic acids (HAAs) which is synthesized by HAAs synthase RhlA. The process involved truncating the rhamnolipids synthesis pathway in Pseudomonas aeruginosa PAO1 by knocking out downstream genes rhlB and rhlC, leading to the accumulation and collection of intermediate HAAs from the culture supernatant. To enhance the production of HAAs further, a series of key genes in the β-oxidation pathway were knocked out, resulting in a titer of approximately 18 g/L. Subsequently, hydrolysis of HAAs was conducted under alkaline conditions, where the dimers could be rapidly and efficiently converted into monomers. The hydrolysis process was completed in 2.5 h at 80 °C using a 0.5 M NaOH solution. The primary hydrolysis product identified through GC-MS analysis was (R)-3-hydroxydecanoic acid (R-3HD) with a purity of 95%.</p>","PeriodicalId":7537,"journal":{"name":"AMB Express","volume":"15 1","pages":"72"},"PeriodicalIF":3.7000,"publicationDate":"2025-05-06","publicationTypes":"Journal Article","fieldsOfStudy":null,"isOpenAccess":false,"openAccessPdf":"https://www.ncbi.nlm.nih.gov/pmc/articles/PMC12055736/pdf/","citationCount":"0","resultStr":"{\"title\":\"Engineering Pseudomonas aeruginosa for (R)-3-hydroxydecanoic acid production.\",\"authors\":\"Shuai Wang, Haiying Yu, Kun Zhu\",\"doi\":\"10.1186/s13568-025-01880-y\",\"DOIUrl\":null,\"url\":null,\"abstract\":\"<p><p>(R)-3-hydroxyalkanoic acids (R-3HAs) play a crucial role as essential chemicals serving as precursors or intermediates in the synthesis of a wide range of valuable compounds, such as pharmaceuticals, antibiotics, and food additives. Despite their significance, achieving industrial-scale production of R-3HAs, particularly medium-chain-length (mcl) R-3HAs, has been challenging due to the absence of suitable strains with efficient biosynthesis pathways. This study focuses on achieving the production of mcl R-3HA monomers by leveraging the \\\"substrate pool\\\" of R-3-(R-3-hydroxyalkanoyloxy) alkanoic acids (HAAs) which is synthesized by HAAs synthase RhlA. The process involved truncating the rhamnolipids synthesis pathway in Pseudomonas aeruginosa PAO1 by knocking out downstream genes rhlB and rhlC, leading to the accumulation and collection of intermediate HAAs from the culture supernatant. To enhance the production of HAAs further, a series of key genes in the β-oxidation pathway were knocked out, resulting in a titer of approximately 18 g/L. Subsequently, hydrolysis of HAAs was conducted under alkaline conditions, where the dimers could be rapidly and efficiently converted into monomers. The hydrolysis process was completed in 2.5 h at 80 °C using a 0.5 M NaOH solution. The primary hydrolysis product identified through GC-MS analysis was (R)-3-hydroxydecanoic acid (R-3HD) with a purity of 95%.</p>\",\"PeriodicalId\":7537,\"journal\":{\"name\":\"AMB Express\",\"volume\":\"15 1\",\"pages\":\"72\"},\"PeriodicalIF\":3.7000,\"publicationDate\":\"2025-05-06\",\"publicationTypes\":\"Journal Article\",\"fieldsOfStudy\":null,\"isOpenAccess\":false,\"openAccessPdf\":\"https://www.ncbi.nlm.nih.gov/pmc/articles/PMC12055736/pdf/\",\"citationCount\":\"0\",\"resultStr\":null,\"platform\":\"Semanticscholar\",\"paperid\":null,\"PeriodicalName\":\"AMB Express\",\"FirstCategoryId\":\"5\",\"ListUrlMain\":\"https://doi.org/10.1186/s13568-025-01880-y\",\"RegionNum\":3,\"RegionCategory\":\"生物学\",\"ArticlePicture\":[],\"TitleCN\":null,\"AbstractTextCN\":null,\"PMCID\":null,\"EPubDate\":\"\",\"PubModel\":\"\",\"JCR\":\"Q2\",\"JCRName\":\"BIOTECHNOLOGY & APPLIED MICROBIOLOGY\",\"Score\":null,\"Total\":0}","platform":"Semanticscholar","paperid":null,"PeriodicalName":"AMB Express","FirstCategoryId":"5","ListUrlMain":"https://doi.org/10.1186/s13568-025-01880-y","RegionNum":3,"RegionCategory":"生物学","ArticlePicture":[],"TitleCN":null,"AbstractTextCN":null,"PMCID":null,"EPubDate":"","PubModel":"","JCR":"Q2","JCRName":"BIOTECHNOLOGY & APPLIED MICROBIOLOGY","Score":null,"Total":0}
引用次数: 0

摘要

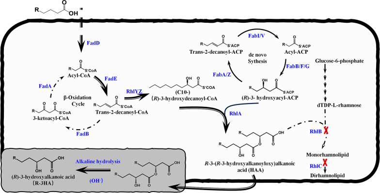
(R)-3-羟基烷酸(R- 3has)作为一种重要的化学物质,在合成一系列有价值的化合物(如药物、抗生素和食品添加剂)中起着至关重要的作用。尽管具有重要意义,但由于缺乏具有有效生物合成途径的合适菌株,实现工业规模生产R-3HAs,特别是中链长度(mcl) R-3HAs一直具有挑战性。本研究的重点是利用由HAAs合成酶RhlA合成的R-3-(R-3-羟基烷氧基)烷酸(HAAs)“底物池”来实现mcl R-3HA单体的生产。该过程通过敲除下游基因rhlB和rhlC截断铜绿假单胞菌PAO1的鼠李糖脂合成途径,导致培养上清中中间HAAs的积累和收集。为了进一步增强HAAs的产生,我们敲除了β-氧化途径中的一系列关键基因,导致滴度约为18 g/L。随后,在碱性条件下水解HAAs,二聚体可以快速有效地转化为单体。在0.5 M NaOH溶液中,在80°C下,2.5 h内完成水解过程。气相色谱-质谱分析鉴定的初级水解产物为(R)-3-羟基癸酸(R- 3hd),纯度为95%。
本文章由计算机程序翻译,如有差异,请以英文原文为准。

Engineering Pseudomonas aeruginosa for (R)-3-hydroxydecanoic acid production.

Engineering Pseudomonas aeruginosa for (R)-3-hydroxydecanoic acid production.

Engineering Pseudomonas aeruginosa for (R)-3-hydroxydecanoic acid production.

Engineering Pseudomonas aeruginosa for (R)-3-hydroxydecanoic acid production.

(R)-3-hydroxyalkanoic acids (R-3HAs) play a crucial role as essential chemicals serving as precursors or intermediates in the synthesis of a wide range of valuable compounds, such as pharmaceuticals, antibiotics, and food additives. Despite their significance, achieving industrial-scale production of R-3HAs, particularly medium-chain-length (mcl) R-3HAs, has been challenging due to the absence of suitable strains with efficient biosynthesis pathways. This study focuses on achieving the production of mcl R-3HA monomers by leveraging the "substrate pool" of R-3-(R-3-hydroxyalkanoyloxy) alkanoic acids (HAAs) which is synthesized by HAAs synthase RhlA. The process involved truncating the rhamnolipids synthesis pathway in Pseudomonas aeruginosa PAO1 by knocking out downstream genes rhlB and rhlC, leading to the accumulation and collection of intermediate HAAs from the culture supernatant. To enhance the production of HAAs further, a series of key genes in the β-oxidation pathway were knocked out, resulting in a titer of approximately 18 g/L. Subsequently, hydrolysis of HAAs was conducted under alkaline conditions, where the dimers could be rapidly and efficiently converted into monomers. The hydrolysis process was completed in 2.5 h at 80 °C using a 0.5 M NaOH solution. The primary hydrolysis product identified through GC-MS analysis was (R)-3-hydroxydecanoic acid (R-3HD) with a purity of 95%.

求助全文
通过发布文献求助,成功后即可免费获取论文全文。 去求助
来源期刊
AMB Express
AMB Express BIOTECHNOLOGY & APPLIED MICROBIOLOGY-
CiteScore
7.20
自引率
2.70%
发文量
141
审稿时长
13 weeks
期刊介绍: AMB Express is a high quality journal that brings together research in the area of Applied and Industrial Microbiology with a particular interest in ''White Biotechnology'' and ''Red Biotechnology''. The emphasis is on processes employing microorganisms, eukaryotic cell cultures or enzymes for the biosynthesis, transformation and degradation of compounds. This includes fine and bulk chemicals, polymeric compounds and enzymes or other proteins. Downstream processes are also considered. Integrated processes combining biochemical and chemical processes are also published.
×
引用
GB/T 7714-2015
复制
MLA
复制
APA
复制
导出至
BibTeX EndNote RefMan NoteFirst NoteExpress
×
提示
您的信息不完整,为了账户安全,请先补充。
现在去补充
×
提示
您因"违规操作"
具体请查看互助需知
我知道了
×
提示
确定
请完成安全验证×
copy
已复制链接
快去分享给好友吧!
我知道了
右上角分享
点击右上角分享
0
联系我们:info@booksci.cn Book学术提供免费学术资源搜索服务,方便国内外学者检索中英文文献。致力于提供最便捷和优质的服务体验。 Copyright © 2023 布克学术 All rights reserved.
京ICP备2023020795号-1
ghs 京公网安备 11010802042870号
Book学术文献互助
Book学术文献互助群
群 号:604180095
Book学术官方微信