pungens Hypogeococcus(半翅目:假球虫科)的热生物学特性解释了其作为澳大利亚Harrisia marinii(仙人掌科)的经典生物防治剂的可变性能。

IF 1.5 3区 农林科学 Q2 ENTOMOLOGY
Angela E Ezeh, Myron P Zalucki, Michael D Day, Tamara Taylor, Michael J Furlong
{"title":"pungens Hypogeococcus(半翅目:假球虫科)的热生物学特性解释了其作为澳大利亚Harrisia marinii(仙人掌科)的经典生物防治剂的可变性能。","authors":"Angela E Ezeh, Myron P Zalucki, Michael D Day, Tamara Taylor, Michael J Furlong","doi":"10.1093/ee/nvaf026","DOIUrl":null,"url":null,"abstract":"<p><p>The mealybug, Hypogeococcus pungens Granara de Willink (Hemiptera: Pseudococcidae), was released in Australia as a biological control agent for Harrisia martinii (Labour.) Britton (Cactaceae) in 1975. Although the mealybug successfully established in all released locations, its impact has been variable among regions, possibly as a result of climatic differences. Life-history traits (settling time, survival, development time, female reproduction, adult longevity) were compared at 6 constant temperatures (15 to 40 °C) in the laboratory. The mealybug settled on H. martinii at all temperatures tested, but at 15 °C and 40 °C, insects failed to develop and died. Temperature affected female size, fecundity, and integrated performance, all of which were highest at 25 °C. A linear model that fitted temperature to development time indicated a lower developmental threshold of 14.5 °C for both male and female mealybugs. CLIMEX models were developed for the mealybug and its host, H. martinii, and used to investigate the suitability of different regions of Australia, where H. martinii occurs for Hy. pungens. The Hy. pungens CLIMEX model suggests that cold stress limits mealybug growth in southern Queensland and that mealybug performance will vary between regions based on local temperatures. Locations with extreme low winter and extreme high summer temperatures are likely to have the most constrained populations. This may account for the observed differences in the effectiveness of Hy. pungens as a biological control agent at locations within the established range of H. martini in Australia.</p>","PeriodicalId":11751,"journal":{"name":"Environmental Entomology","volume":" ","pages":"454-466"},"PeriodicalIF":1.5000,"publicationDate":"2025-06-18","publicationTypes":"Journal Article","fieldsOfStudy":null,"isOpenAccess":false,"openAccessPdf":"https://www.ncbi.nlm.nih.gov/pmc/articles/PMC12199162/pdf/","citationCount":"0","resultStr":"{\"title\":\"Thermal biology of Hypogeococcus pungens (Hemiptera: Pseudococcidae) explains its variable performance as a classical biological control agent for Harrisia martinii (Cactaceae) in Australia.\",\"authors\":\"Angela E Ezeh, Myron P Zalucki, Michael D Day, Tamara Taylor, Michael J Furlong\",\"doi\":\"10.1093/ee/nvaf026\",\"DOIUrl\":null,\"url\":null,\"abstract\":\"<p><p>The mealybug, Hypogeococcus pungens Granara de Willink (Hemiptera: Pseudococcidae), was released in Australia as a biological control agent for Harrisia martinii (Labour.) Britton (Cactaceae) in 1975. Although the mealybug successfully established in all released locations, its impact has been variable among regions, possibly as a result of climatic differences. Life-history traits (settling time, survival, development time, female reproduction, adult longevity) were compared at 6 constant temperatures (15 to 40 °C) in the laboratory. The mealybug settled on H. martinii at all temperatures tested, but at 15 °C and 40 °C, insects failed to develop and died. Temperature affected female size, fecundity, and integrated performance, all of which were highest at 25 °C. A linear model that fitted temperature to development time indicated a lower developmental threshold of 14.5 °C for both male and female mealybugs. CLIMEX models were developed for the mealybug and its host, H. martinii, and used to investigate the suitability of different regions of Australia, where H. martinii occurs for Hy. pungens. The Hy. pungens CLIMEX model suggests that cold stress limits mealybug growth in southern Queensland and that mealybug performance will vary between regions based on local temperatures. Locations with extreme low winter and extreme high summer temperatures are likely to have the most constrained populations. This may account for the observed differences in the effectiveness of Hy. pungens as a biological control agent at locations within the established range of H. martini in Australia.</p>\",\"PeriodicalId\":11751,\"journal\":{\"name\":\"Environmental Entomology\",\"volume\":\" \",\"pages\":\"454-466\"},\"PeriodicalIF\":1.5000,\"publicationDate\":\"2025-06-18\",\"publicationTypes\":\"Journal Article\",\"fieldsOfStudy\":null,\"isOpenAccess\":false,\"openAccessPdf\":\"https://www.ncbi.nlm.nih.gov/pmc/articles/PMC12199162/pdf/\",\"citationCount\":\"0\",\"resultStr\":null,\"platform\":\"Semanticscholar\",\"paperid\":null,\"PeriodicalName\":\"Environmental Entomology\",\"FirstCategoryId\":\"97\",\"ListUrlMain\":\"https://doi.org/10.1093/ee/nvaf026\",\"RegionNum\":3,\"RegionCategory\":\"农林科学\",\"ArticlePicture\":[],\"TitleCN\":null,\"AbstractTextCN\":null,\"PMCID\":null,\"EPubDate\":\"\",\"PubModel\":\"\",\"JCR\":\"Q2\",\"JCRName\":\"ENTOMOLOGY\",\"Score\":null,\"Total\":0}","platform":"Semanticscholar","paperid":null,"PeriodicalName":"Environmental Entomology","FirstCategoryId":"97","ListUrlMain":"https://doi.org/10.1093/ee/nvaf026","RegionNum":3,"RegionCategory":"农林科学","ArticlePicture":[],"TitleCN":null,"AbstractTextCN":null,"PMCID":null,"EPubDate":"","PubModel":"","JCR":"Q2","JCRName":"ENTOMOLOGY","Score":null,"Total":0}
引用次数: 0

摘要

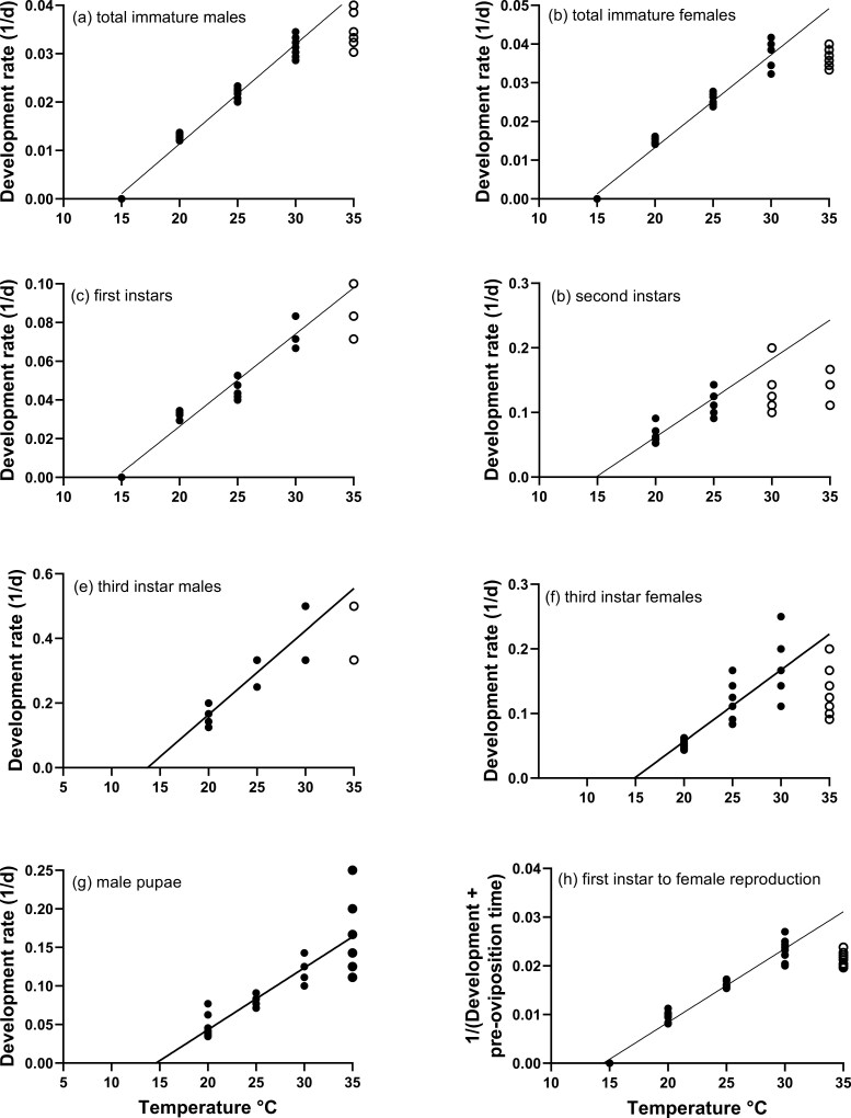
粉蚧(Hypogeococcus pungens Granara de Willink)(半翅目:假球虫科)在澳大利亚作为一种生物防治剂被释放。布里顿(仙人掌科)1975年。虽然粉蚧成功地在所有放生地点扎根,但其影响因地区而异,这可能是气候差异的结果。在15 ~ 40℃的6种恒温条件下,比较其生活史性状(安顿时间、存活时间、发育时间、雌性繁殖、成虫寿命)。在所有测试的温度下,粉蚧都在H. martini上定居,但在15°C和40°C时,昆虫无法发育并死亡。温度对雌虫的体型、繁殖力和综合性能均有影响,在25℃时影响最大。温度与发育时间拟合的线性模型表明,雌雄粉蚧的发育阈值较低,均为14.5℃。为粉蚧及其寄主H. martinii开发了CLIMEX模型,并用于调查澳大利亚不同地区的适宜性,这些地区的H. martinii发生于hy.pungens。Hy. pungens的CLIMEX模型表明,寒冷的压力限制了粉蚧在昆士兰南部的生长,而且根据当地的温度,粉蚧的表现会在不同的地区有所不同。冬季气温极低和夏季气温极高的地区,人口数量可能最受限制。这也许可以解释为什么在澳大利亚马提尼H. martini已确定的范围内,作为生物防治剂,pungens在不同地点的效果存在差异。
本文章由计算机程序翻译,如有差异,请以英文原文为准。

Thermal biology of Hypogeococcus pungens (Hemiptera: Pseudococcidae) explains its variable performance as a classical biological control agent for Harrisia martinii (Cactaceae) in Australia.

Thermal biology of Hypogeococcus pungens (Hemiptera: Pseudococcidae) explains its variable performance as a classical biological control agent for Harrisia martinii (Cactaceae) in Australia.

Thermal biology of Hypogeococcus pungens (Hemiptera: Pseudococcidae) explains its variable performance as a classical biological control agent for Harrisia martinii (Cactaceae) in Australia.

Thermal biology of Hypogeococcus pungens (Hemiptera: Pseudococcidae) explains its variable performance as a classical biological control agent for Harrisia martinii (Cactaceae) in Australia.

The mealybug, Hypogeococcus pungens Granara de Willink (Hemiptera: Pseudococcidae), was released in Australia as a biological control agent for Harrisia martinii (Labour.) Britton (Cactaceae) in 1975. Although the mealybug successfully established in all released locations, its impact has been variable among regions, possibly as a result of climatic differences. Life-history traits (settling time, survival, development time, female reproduction, adult longevity) were compared at 6 constant temperatures (15 to 40 °C) in the laboratory. The mealybug settled on H. martinii at all temperatures tested, but at 15 °C and 40 °C, insects failed to develop and died. Temperature affected female size, fecundity, and integrated performance, all of which were highest at 25 °C. A linear model that fitted temperature to development time indicated a lower developmental threshold of 14.5 °C for both male and female mealybugs. CLIMEX models were developed for the mealybug and its host, H. martinii, and used to investigate the suitability of different regions of Australia, where H. martinii occurs for Hy. pungens. The Hy. pungens CLIMEX model suggests that cold stress limits mealybug growth in southern Queensland and that mealybug performance will vary between regions based on local temperatures. Locations with extreme low winter and extreme high summer temperatures are likely to have the most constrained populations. This may account for the observed differences in the effectiveness of Hy. pungens as a biological control agent at locations within the established range of H. martini in Australia.

求助全文
通过发布文献求助,成功后即可免费获取论文全文。 去求助
来源期刊
Environmental Entomology
Environmental Entomology 生物-昆虫学
CiteScore
3.90
自引率
5.90%
发文量
97
审稿时长
3-8 weeks
期刊介绍: Environmental Entomology is published bimonthly in February, April, June, August, October, and December. The journal publishes reports on the interaction of insects with the biological, chemical, and physical aspects of their environment. In addition to research papers, Environmental Entomology publishes Reviews, interpretive articles in a Forum section, and Letters to the Editor.
×
引用
GB/T 7714-2015
复制
MLA
复制
APA
复制
导出至
BibTeX EndNote RefMan NoteFirst NoteExpress
×
提示
您的信息不完整,为了账户安全,请先补充。
现在去补充
×
提示
您因"违规操作"
具体请查看互助需知
我知道了
×
提示
确定
请完成安全验证×
copy
已复制链接
快去分享给好友吧!
我知道了
右上角分享
点击右上角分享
0
联系我们:info@booksci.cn Book学术提供免费学术资源搜索服务,方便国内外学者检索中英文文献。致力于提供最便捷和优质的服务体验。 Copyright © 2023 布克学术 All rights reserved.
京ICP备2023020795号-1
ghs 京公网安备 11010802042870号
Book学术文献互助
Book学术文献互助群
群 号:604180095
Book学术官方微信