使用18f -氟替他莫进行淀粉样蛋白PET检查的脑放射性药物积累的时间变化。

IF 2.5 4区 医学 Q2 RADIOLOGY, NUCLEAR MEDICINE & MEDICAL IMAGING
Shota Takemoto, Koji Onuki, Keiko Tanimoto, Masaho Taniguchi, Takako Suero, Mio Okamoto, Satoshi Kimura, Monami Osawa, Haruka Takeshige-Amano, Noriko Nishikawa, Shigeki Aoki, Ryohei Kuwatsuru, Nobutaka Hattori, Koji Murakami
{"title":"使用18f -氟替他莫进行淀粉样蛋白PET检查的脑放射性药物积累的时间变化。","authors":"Shota Takemoto,&nbsp;Koji Onuki,&nbsp;Keiko Tanimoto,&nbsp;Masaho Taniguchi,&nbsp;Takako Suero,&nbsp;Mio Okamoto,&nbsp;Satoshi Kimura,&nbsp;Monami Osawa,&nbsp;Haruka Takeshige-Amano,&nbsp;Noriko Nishikawa,&nbsp;Shigeki Aoki,&nbsp;Ryohei Kuwatsuru,&nbsp;Nobutaka Hattori,&nbsp;Koji Murakami","doi":"10.1007/s12149-025-02046-3","DOIUrl":null,"url":null,"abstract":"<div><h3>Objective</h3><p>The purpose of this study was to examine how the radiopharmaceutical accumulation in the brain changes with the elapsed time between the administration of <sup>18</sup>F-flutemetamol and the start of imaging, and to determine its effect on quantitative indices.</p><h3>Methods</h3><p>The study population consisted of 25 subjects who agreed to participate in the study. After visual evaluation by the radiologist, 14 subjects tested negative for Aβ accumulation, and 11 subjects tested positive as well. The study population was treated with <sup>18</sup>F-flutemeamol, and list mode acquisition was performed for 50 min starting at 60 min after the time of administration. From the acquired list data, five PET images were extracted at 10-min intervals from the start to the end of acquisition, a PET image corresponding to 20 min of acquisition from 60 min after administration, and a PET image corresponding to 20 min of acquisition from 90 min after administration, respectively. Pixel values were measured for the PET images created and quantitative indices (pixel value, SUVr, Centiloid scale) were calculated and compared.</p><h3>Results</h3><p>In most of the PET images, pixel values showed a decreasing trend with elapsed time after radiopharmaceutical administration. Accordingly, calculated SUVr and Centiloid Scale also changed.</p><h3>Conclusions</h3><p>Elapsed time after radiopharmaceutical administration resulted in a washout of the radiopharmaceutical accumulation in the brain. From this, it was suggested that the quantitative indices change.</p></div>","PeriodicalId":8007,"journal":{"name":"Annals of Nuclear Medicine","volume":"39 7","pages":"732 - 746"},"PeriodicalIF":2.5000,"publicationDate":"2025-04-19","publicationTypes":"Journal Article","fieldsOfStudy":null,"isOpenAccess":false,"openAccessPdf":"https://www.ncbi.nlm.nih.gov/pmc/articles/PMC12174224/pdf/","citationCount":"0","resultStr":"{\"title\":\"Elapsed time changes of the brain radiopharmaceutical accumulation of the amyloid PET examination using 18F-flutemetamol\",\"authors\":\"Shota Takemoto,&nbsp;Koji Onuki,&nbsp;Keiko Tanimoto,&nbsp;Masaho Taniguchi,&nbsp;Takako Suero,&nbsp;Mio Okamoto,&nbsp;Satoshi Kimura,&nbsp;Monami Osawa,&nbsp;Haruka Takeshige-Amano,&nbsp;Noriko Nishikawa,&nbsp;Shigeki Aoki,&nbsp;Ryohei Kuwatsuru,&nbsp;Nobutaka Hattori,&nbsp;Koji Murakami\",\"doi\":\"10.1007/s12149-025-02046-3\",\"DOIUrl\":null,\"url\":null,\"abstract\":\"<div><h3>Objective</h3><p>The purpose of this study was to examine how the radiopharmaceutical accumulation in the brain changes with the elapsed time between the administration of <sup>18</sup>F-flutemetamol and the start of imaging, and to determine its effect on quantitative indices.</p><h3>Methods</h3><p>The study population consisted of 25 subjects who agreed to participate in the study. After visual evaluation by the radiologist, 14 subjects tested negative for Aβ accumulation, and 11 subjects tested positive as well. The study population was treated with <sup>18</sup>F-flutemeamol, and list mode acquisition was performed for 50 min starting at 60 min after the time of administration. From the acquired list data, five PET images were extracted at 10-min intervals from the start to the end of acquisition, a PET image corresponding to 20 min of acquisition from 60 min after administration, and a PET image corresponding to 20 min of acquisition from 90 min after administration, respectively. Pixel values were measured for the PET images created and quantitative indices (pixel value, SUVr, Centiloid scale) were calculated and compared.</p><h3>Results</h3><p>In most of the PET images, pixel values showed a decreasing trend with elapsed time after radiopharmaceutical administration. Accordingly, calculated SUVr and Centiloid Scale also changed.</p><h3>Conclusions</h3><p>Elapsed time after radiopharmaceutical administration resulted in a washout of the radiopharmaceutical accumulation in the brain. From this, it was suggested that the quantitative indices change.</p></div>\",\"PeriodicalId\":8007,\"journal\":{\"name\":\"Annals of Nuclear Medicine\",\"volume\":\"39 7\",\"pages\":\"732 - 746\"},\"PeriodicalIF\":2.5000,\"publicationDate\":\"2025-04-19\",\"publicationTypes\":\"Journal Article\",\"fieldsOfStudy\":null,\"isOpenAccess\":false,\"openAccessPdf\":\"https://www.ncbi.nlm.nih.gov/pmc/articles/PMC12174224/pdf/\",\"citationCount\":\"0\",\"resultStr\":null,\"platform\":\"Semanticscholar\",\"paperid\":null,\"PeriodicalName\":\"Annals of Nuclear Medicine\",\"FirstCategoryId\":\"3\",\"ListUrlMain\":\"https://link.springer.com/article/10.1007/s12149-025-02046-3\",\"RegionNum\":4,\"RegionCategory\":\"医学\",\"ArticlePicture\":[],\"TitleCN\":null,\"AbstractTextCN\":null,\"PMCID\":null,\"EPubDate\":\"\",\"PubModel\":\"\",\"JCR\":\"Q2\",\"JCRName\":\"RADIOLOGY, NUCLEAR MEDICINE & MEDICAL IMAGING\",\"Score\":null,\"Total\":0}","platform":"Semanticscholar","paperid":null,"PeriodicalName":"Annals of Nuclear Medicine","FirstCategoryId":"3","ListUrlMain":"https://link.springer.com/article/10.1007/s12149-025-02046-3","RegionNum":4,"RegionCategory":"医学","ArticlePicture":[],"TitleCN":null,"AbstractTextCN":null,"PMCID":null,"EPubDate":"","PubModel":"","JCR":"Q2","JCRName":"RADIOLOGY, NUCLEAR MEDICINE & MEDICAL IMAGING","Score":null,"Total":0}
引用次数: 0

摘要

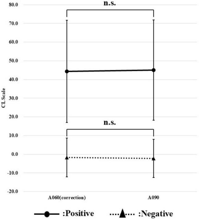
目的:观察氟替他莫给药至显像开始时间对脑内放射性药物蓄积的影响,并探讨其对定量指标的影响。方法:研究人群包括25名同意参加研究的受试者。经放射科医生目视评估,14名受试者的Aβ积累检测为阴性,11名受试者的Aβ积累检测为阳性。研究人群用18f -氟替马莫治疗,在给药后60分钟开始进行列表模式获取50分钟。从采集的列表数据中,从采集开始到结束每隔10分钟提取5张PET图像,分别提取给药后60分钟采集20分钟的PET图像和给药后90分钟采集20分钟的PET图像。对所创建的PET图像进行像素值测量,并计算和比较定量指标(像素值、SUVr、Centiloid scale)。结果:在大多数PET图像中,放射药物给药后像素值随时间的推移呈下降趋势。相应的,计算出的SUVr和Centiloid Scale也发生了变化。结论:放射性药物给药后的时间导致脑内放射性药物积累的清除。由此可见,定量指标发生了变化。
本文章由计算机程序翻译,如有差异,请以英文原文为准。

Elapsed time changes of the brain radiopharmaceutical accumulation of the amyloid PET examination using 18F-flutemetamol

Elapsed time changes of the brain radiopharmaceutical accumulation of the amyloid PET examination using 18F-flutemetamol

Elapsed time changes of the brain radiopharmaceutical accumulation of the amyloid PET examination using 18F-flutemetamol

Elapsed time changes of the brain radiopharmaceutical accumulation of the amyloid PET examination using 18F-flutemetamol

Objective

The purpose of this study was to examine how the radiopharmaceutical accumulation in the brain changes with the elapsed time between the administration of 18F-flutemetamol and the start of imaging, and to determine its effect on quantitative indices.

Methods

The study population consisted of 25 subjects who agreed to participate in the study. After visual evaluation by the radiologist, 14 subjects tested negative for Aβ accumulation, and 11 subjects tested positive as well. The study population was treated with 18F-flutemeamol, and list mode acquisition was performed for 50 min starting at 60 min after the time of administration. From the acquired list data, five PET images were extracted at 10-min intervals from the start to the end of acquisition, a PET image corresponding to 20 min of acquisition from 60 min after administration, and a PET image corresponding to 20 min of acquisition from 90 min after administration, respectively. Pixel values were measured for the PET images created and quantitative indices (pixel value, SUVr, Centiloid scale) were calculated and compared.

Results

In most of the PET images, pixel values showed a decreasing trend with elapsed time after radiopharmaceutical administration. Accordingly, calculated SUVr and Centiloid Scale also changed.

Conclusions

Elapsed time after radiopharmaceutical administration resulted in a washout of the radiopharmaceutical accumulation in the brain. From this, it was suggested that the quantitative indices change.

求助全文
通过发布文献求助,成功后即可免费获取论文全文。 去求助
来源期刊
Annals of Nuclear Medicine
Annals of Nuclear Medicine 医学-核医学
CiteScore
4.90
自引率
7.70%
发文量
111
审稿时长
4-8 weeks
期刊介绍: Annals of Nuclear Medicine is an official journal of the Japanese Society of Nuclear Medicine. It develops the appropriate application of radioactive substances and stable nuclides in the field of medicine. The journal promotes the exchange of ideas and information and research in nuclear medicine and includes the medical application of radionuclides and related subjects. It presents original articles, short communications, reviews and letters to the editor.
×
引用
GB/T 7714-2015
复制
MLA
复制
APA
复制
导出至
BibTeX EndNote RefMan NoteFirst NoteExpress
×
提示
您的信息不完整,为了账户安全,请先补充。
现在去补充
×
提示
您因"违规操作"
具体请查看互助需知
我知道了
×
提示
确定
请完成安全验证×
copy
已复制链接
快去分享给好友吧!
我知道了
右上角分享
点击右上角分享
0
联系我们:info@booksci.cn Book学术提供免费学术资源搜索服务,方便国内外学者检索中英文文献。致力于提供最便捷和优质的服务体验。 Copyright © 2023 布克学术 All rights reserved.
京ICP备2023020795号-1
ghs 京公网安备 11010802042870号
Book学术文献互助
Book学术文献互助群
群 号:604180095
Book学术官方微信