荚膜红杆菌PG脂多糖作为toll样受体2和4激活的潜在阻断剂。

IF 2 4区 生物学 Q4 CELL BIOLOGY
S V Zubova, Ya V Radzyukevich, N I Kosyakova, I R Prokhorenko
{"title":"荚膜红杆菌PG脂多糖作为toll样受体2和4激活的潜在阻断剂。","authors":"S V Zubova, Ya V Radzyukevich, N I Kosyakova, I R Prokhorenko","doi":"10.32607/actanaturae.27555","DOIUrl":null,"url":null,"abstract":"<p><p>TLR2 and TLR4 play a key role in the development of an inflammation in response to a bacterial infection. We studied the effect of <i>Rhodobacter capsulatus</i> PG lipopolysaccharide (LPS) on proinflammatory cytokine synthesis activation by the TLR2 and TLR4 agonists <i>E. coli</i> LPS, <i>Streptococcus pyogenes</i> lipoteichoic acid (LTA), and Pam3CSK4 (a synthetic bacterial lipopeptide) in human whole blood cells. <i>Rhodobacter capsulatus</i> PG LPS was shown to exhibit antagonistic properties against the studied TLR4 and TLR2 agonists, blocking the synthesis of the cytokines TNF-α, IL-6, and IL-8. Possible mechanisms behind the suppressing effect of <i>Rhodobacter capsulatus</i> PG LPS are proposed. <i>Rhodobacter capsulatus</i> PG LPS can serve as a prototype for drugs against both gram-negative and gram-positive bacteria.</p>","PeriodicalId":6989,"journal":{"name":"Acta Naturae","volume":"17 1","pages":"106-109"},"PeriodicalIF":2.0000,"publicationDate":"2025-01-01","publicationTypes":"Journal Article","fieldsOfStudy":null,"isOpenAccess":false,"openAccessPdf":"https://www.ncbi.nlm.nih.gov/pmc/articles/PMC12011191/pdf/","citationCount":"0","resultStr":"{\"title\":\"Rhodobacter capsulatus PG Lipopolysaccharide As a Potential Blocker of Toll-like Receptor 2 and 4 Activation.\",\"authors\":\"S V Zubova, Ya V Radzyukevich, N I Kosyakova, I R Prokhorenko\",\"doi\":\"10.32607/actanaturae.27555\",\"DOIUrl\":null,\"url\":null,\"abstract\":\"<p><p>TLR2 and TLR4 play a key role in the development of an inflammation in response to a bacterial infection. We studied the effect of <i>Rhodobacter capsulatus</i> PG lipopolysaccharide (LPS) on proinflammatory cytokine synthesis activation by the TLR2 and TLR4 agonists <i>E. coli</i> LPS, <i>Streptococcus pyogenes</i> lipoteichoic acid (LTA), and Pam3CSK4 (a synthetic bacterial lipopeptide) in human whole blood cells. <i>Rhodobacter capsulatus</i> PG LPS was shown to exhibit antagonistic properties against the studied TLR4 and TLR2 agonists, blocking the synthesis of the cytokines TNF-α, IL-6, and IL-8. Possible mechanisms behind the suppressing effect of <i>Rhodobacter capsulatus</i> PG LPS are proposed. <i>Rhodobacter capsulatus</i> PG LPS can serve as a prototype for drugs against both gram-negative and gram-positive bacteria.</p>\",\"PeriodicalId\":6989,\"journal\":{\"name\":\"Acta Naturae\",\"volume\":\"17 1\",\"pages\":\"106-109\"},\"PeriodicalIF\":2.0000,\"publicationDate\":\"2025-01-01\",\"publicationTypes\":\"Journal Article\",\"fieldsOfStudy\":null,\"isOpenAccess\":false,\"openAccessPdf\":\"https://www.ncbi.nlm.nih.gov/pmc/articles/PMC12011191/pdf/\",\"citationCount\":\"0\",\"resultStr\":null,\"platform\":\"Semanticscholar\",\"paperid\":null,\"PeriodicalName\":\"Acta Naturae\",\"FirstCategoryId\":\"99\",\"ListUrlMain\":\"https://doi.org/10.32607/actanaturae.27555\",\"RegionNum\":4,\"RegionCategory\":\"生物学\",\"ArticlePicture\":[],\"TitleCN\":null,\"AbstractTextCN\":null,\"PMCID\":null,\"EPubDate\":\"\",\"PubModel\":\"\",\"JCR\":\"Q4\",\"JCRName\":\"CELL BIOLOGY\",\"Score\":null,\"Total\":0}","platform":"Semanticscholar","paperid":null,"PeriodicalName":"Acta Naturae","FirstCategoryId":"99","ListUrlMain":"https://doi.org/10.32607/actanaturae.27555","RegionNum":4,"RegionCategory":"生物学","ArticlePicture":[],"TitleCN":null,"AbstractTextCN":null,"PMCID":null,"EPubDate":"","PubModel":"","JCR":"Q4","JCRName":"CELL BIOLOGY","Score":null,"Total":0}
引用次数: 0

摘要

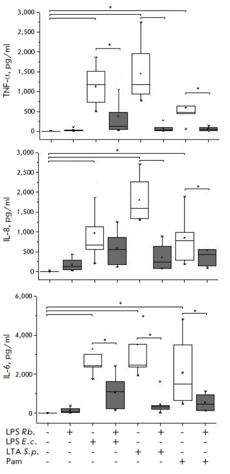
TLR2和TLR4在细菌感染的炎症反应中起着关键作用。我们研究了荚膜红杆菌PG脂多糖(LPS)对TLR2和TLR4激动剂大肠杆菌LPS、化脓性链球菌脂质胆酸(LTA)和Pam3CSK4(一种合成的细菌脂肽)在人全血细胞中促炎细胞因子合成的激活作用。研究表明,荚膜红杆菌PG LPS对TLR4和TLR2激动剂具有拮抗作用,可阻断细胞因子TNF-α、IL-6和IL-8的合成。提出了荚膜红杆菌PG LPS抑制作用的可能机制。荚膜红杆菌PG LPS可以作为抗革兰氏阴性和革兰氏阳性细菌药物的原型。
本文章由计算机程序翻译,如有差异,请以英文原文为准。

Rhodobacter capsulatus PG Lipopolysaccharide As a Potential Blocker of Toll-like Receptor 2 and 4 Activation.

Rhodobacter capsulatus PG Lipopolysaccharide As a Potential Blocker of Toll-like Receptor 2 and 4 Activation.

TLR2 and TLR4 play a key role in the development of an inflammation in response to a bacterial infection. We studied the effect of Rhodobacter capsulatus PG lipopolysaccharide (LPS) on proinflammatory cytokine synthesis activation by the TLR2 and TLR4 agonists E. coli LPS, Streptococcus pyogenes lipoteichoic acid (LTA), and Pam3CSK4 (a synthetic bacterial lipopeptide) in human whole blood cells. Rhodobacter capsulatus PG LPS was shown to exhibit antagonistic properties against the studied TLR4 and TLR2 agonists, blocking the synthesis of the cytokines TNF-α, IL-6, and IL-8. Possible mechanisms behind the suppressing effect of Rhodobacter capsulatus PG LPS are proposed. Rhodobacter capsulatus PG LPS can serve as a prototype for drugs against both gram-negative and gram-positive bacteria.

求助全文
通过发布文献求助,成功后即可免费获取论文全文。 去求助
来源期刊
Acta Naturae
Acta Naturae 农林科学-林学
CiteScore
3.50
自引率
5.00%
发文量
0
审稿时长
>12 weeks
期刊介绍: Acta Naturae is an international journal on life sciences based in Moscow, Russia. Our goal is to present scientific work and discovery in molecular biology, biochemistry, biomedical disciplines and biotechnology. These fields represent the most important priorities for the research and engineering development both in Russia and worldwide. Acta Naturae is also a periodical for those who are curious in various aspects of biotechnological business, innovations in pharmaceutical areas, intellectual property protection and social consequences of scientific progress. The journal publishes analytical industrial surveys focused on the development of different spheres of modern life science and technology. Being a radically new and totally unique journal in Russia, Acta Naturae is useful to both representatives of fundamental research and experts in applied sciences.
×
引用
GB/T 7714-2015
复制
MLA
复制
APA
复制
导出至
BibTeX EndNote RefMan NoteFirst NoteExpress
×
提示
您的信息不完整,为了账户安全,请先补充。
现在去补充
×
提示
您因"违规操作"
具体请查看互助需知
我知道了
×
提示
确定
请完成安全验证×
copy
已复制链接
快去分享给好友吧!
我知道了
右上角分享
点击右上角分享
0
联系我们:info@booksci.cn Book学术提供免费学术资源搜索服务,方便国内外学者检索中英文文献。致力于提供最便捷和优质的服务体验。 Copyright © 2023 布克学术 All rights reserved.
京ICP备2023020795号-1
ghs 京公网安备 11010802042870号
Book学术文献互助
Book学术文献互助群
群 号:604180095
Book学术官方微信