托伐普坦和达格列净联合治疗常染色体显性多囊肾病的肾保护作用:四例系列研究

IF 0.7 Q4 UROLOGY & NEPHROLOGY
CEN Case Reports Pub Date : 2025-06-01 Epub Date: 2025-04-11 DOI:10.1007/s13730-025-00990-7
Junji Nishida, Mayuko Yamakawa, Shoko Miura, Masashi Yasutomi
{"title":"托伐普坦和达格列净联合治疗常染色体显性多囊肾病的肾保护作用:四例系列研究","authors":"Junji Nishida, Mayuko Yamakawa, Shoko Miura, Masashi Yasutomi","doi":"10.1007/s13730-025-00990-7","DOIUrl":null,"url":null,"abstract":"<p><p>Autosomal dominant polycystic kidney disease (ADPKD), the most prevalent inherited kidney disorder, progresses inexorably to end-stage kidney disease (ESKD) with the vasopressin V2-receptor antagonist tolvaptan serving as a primary treatment option since 2014. While dapagliflozin, a sodium-glucose cotransporter-2 (SGLT2) inhibitor, was approved for treating chronic kidney disease in August 2021, its renoprotective effects in ADPKD remain uncertain due to potential vasopressin stimulation. We evaluated four Japanese ADPKD patients receiving combination therapy with tolvaptan and dapagliflozin for over two years. A 74-year-old woman (Mayo Class 1D, CKD stage 4) showed improved estimated glomerular filtration rate (eGFR) decline from - 1.39 to - 0.66 mL/min/1.73 m<sup>2</sup>/year. A 62-year-old woman (Mayo Class 1B, CKD stage 3b) demonstrated eGFR decline improvement from - 1.02 to - 0.66 mL/min/1.73 m<sup>2</sup>/year. A 39-year-old man (Mayo Class 1C, CKD stage 3a) exhibited significant improvement from - 5.00 to - 1.35 mL/min/1.73 m<sup>2</sup>/year. A 45-year-old woman (Mayo Class 1D, CKD stage 3b) showed marked improvement from - 14.12 to - 0.22 mL/min/1.73 m<sup>2</sup>/year. While eGFR decline decelerated in the control group, the combination therapy group showed more pronounced improvements. Height-adjusted total kidney volume (htTKV) in the group combination therapy showed variable responses: two patients experienced volume increases (+ 4.03%, + 3.65%/year), while two showed decreases (- 0.45%, - 3.65%/year). These cases suggest potential renoprotective benefits from combining tolvaptan and dapagliflozin in ADPKD patients. Careful monitoring of renal cyst enlargement is warranted with concurrent dapagliflozin use. Further research is needed to confirm these preliminary findings and establish optimal patient selection criteria for combination therapy.</p>","PeriodicalId":9697,"journal":{"name":"CEN Case Reports","volume":" ","pages":"500-506"},"PeriodicalIF":0.7000,"publicationDate":"2025-06-01","publicationTypes":"Journal Article","fieldsOfStudy":null,"isOpenAccess":false,"openAccessPdf":"https://www.ncbi.nlm.nih.gov/pmc/articles/PMC12126371/pdf/","citationCount":"0","resultStr":"{\"title\":\"Renoprotective effects of combination therapy with tolvaptan and dapagliflozin in autosomal dominant polycystic kidney disease: a four-case series.\",\"authors\":\"Junji Nishida, Mayuko Yamakawa, Shoko Miura, Masashi Yasutomi\",\"doi\":\"10.1007/s13730-025-00990-7\",\"DOIUrl\":null,\"url\":null,\"abstract\":\"<p><p>Autosomal dominant polycystic kidney disease (ADPKD), the most prevalent inherited kidney disorder, progresses inexorably to end-stage kidney disease (ESKD) with the vasopressin V2-receptor antagonist tolvaptan serving as a primary treatment option since 2014. While dapagliflozin, a sodium-glucose cotransporter-2 (SGLT2) inhibitor, was approved for treating chronic kidney disease in August 2021, its renoprotective effects in ADPKD remain uncertain due to potential vasopressin stimulation. We evaluated four Japanese ADPKD patients receiving combination therapy with tolvaptan and dapagliflozin for over two years. A 74-year-old woman (Mayo Class 1D, CKD stage 4) showed improved estimated glomerular filtration rate (eGFR) decline from - 1.39 to - 0.66 mL/min/1.73 m<sup>2</sup>/year. A 62-year-old woman (Mayo Class 1B, CKD stage 3b) demonstrated eGFR decline improvement from - 1.02 to - 0.66 mL/min/1.73 m<sup>2</sup>/year. A 39-year-old man (Mayo Class 1C, CKD stage 3a) exhibited significant improvement from - 5.00 to - 1.35 mL/min/1.73 m<sup>2</sup>/year. A 45-year-old woman (Mayo Class 1D, CKD stage 3b) showed marked improvement from - 14.12 to - 0.22 mL/min/1.73 m<sup>2</sup>/year. While eGFR decline decelerated in the control group, the combination therapy group showed more pronounced improvements. Height-adjusted total kidney volume (htTKV) in the group combination therapy showed variable responses: two patients experienced volume increases (+ 4.03%, + 3.65%/year), while two showed decreases (- 0.45%, - 3.65%/year). These cases suggest potential renoprotective benefits from combining tolvaptan and dapagliflozin in ADPKD patients. Careful monitoring of renal cyst enlargement is warranted with concurrent dapagliflozin use. Further research is needed to confirm these preliminary findings and establish optimal patient selection criteria for combination therapy.</p>\",\"PeriodicalId\":9697,\"journal\":{\"name\":\"CEN Case Reports\",\"volume\":\" \",\"pages\":\"500-506\"},\"PeriodicalIF\":0.7000,\"publicationDate\":\"2025-06-01\",\"publicationTypes\":\"Journal Article\",\"fieldsOfStudy\":null,\"isOpenAccess\":false,\"openAccessPdf\":\"https://www.ncbi.nlm.nih.gov/pmc/articles/PMC12126371/pdf/\",\"citationCount\":\"0\",\"resultStr\":null,\"platform\":\"Semanticscholar\",\"paperid\":null,\"PeriodicalName\":\"CEN Case Reports\",\"FirstCategoryId\":\"1085\",\"ListUrlMain\":\"https://doi.org/10.1007/s13730-025-00990-7\",\"RegionNum\":0,\"RegionCategory\":null,\"ArticlePicture\":[],\"TitleCN\":null,\"AbstractTextCN\":null,\"PMCID\":null,\"EPubDate\":\"2025/4/11 0:00:00\",\"PubModel\":\"Epub\",\"JCR\":\"Q4\",\"JCRName\":\"UROLOGY & NEPHROLOGY\",\"Score\":null,\"Total\":0}","platform":"Semanticscholar","paperid":null,"PeriodicalName":"CEN Case Reports","FirstCategoryId":"1085","ListUrlMain":"https://doi.org/10.1007/s13730-025-00990-7","RegionNum":0,"RegionCategory":null,"ArticlePicture":[],"TitleCN":null,"AbstractTextCN":null,"PMCID":null,"EPubDate":"2025/4/11 0:00:00","PubModel":"Epub","JCR":"Q4","JCRName":"UROLOGY & NEPHROLOGY","Score":null,"Total":0}
引用次数: 0

摘要

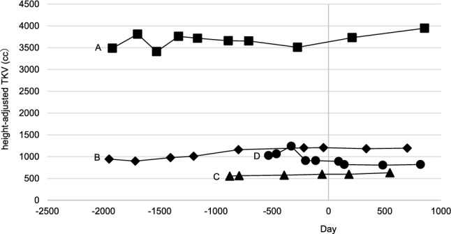
常染色体显性多囊肾病(ADPKD)是最常见的遗传性肾脏疾病,自2014年以来,加压素v2受体拮抗剂托伐普坦作为主要治疗选择,不可避免地进展为终末期肾脏疾病(ESKD)。虽然钠-葡萄糖共转运蛋白-2 (SGLT2)抑制剂dapagliflozin于2021年8月被批准用于治疗慢性肾脏疾病,但由于潜在的加压素刺激,其在ADPKD中的肾保护作用仍不确定。我们评估了4名接受托伐普坦和达格列净联合治疗超过2年的日本ADPKD患者。一名74岁女性(Mayo 1D级,CKD 4期)显示估计肾小球滤过率(eGFR)从- 1.39下降到- 0.66 mL/min/1.73 m2/年。一名62岁女性(Mayo 1B级,CKD 3b期)显示eGFR下降从- 1.02 mL/min/1.73 m2/年改善至- 0.66 mL/min/年。一名39岁男性(Mayo 1C级,CKD 3a期)从- 5.00 mL/min/1.73 m2/年显著改善至- 1.35 mL/min/年。一名45岁女性(Mayo 1D级,CKD 3b期)从- 14.12 mL/min/1.73 m2/年显著改善至- 0.22 mL/min/年。虽然对照组eGFR下降速度减慢,但联合治疗组的改善更为明显。高度调整总肾容量(htTKV)在组内联合治疗中表现出不同的反应:2例患者体积增加(+ 4.03%,+ 3.65%/年),2例患者体积减少(- 0.45%,- 3.65%/年)。这些病例表明,在ADPKD患者中,托伐普坦和达格列净联合使用可能具有保护肾脏的作用。同时使用达格列净时,应仔细监测肾囊肿扩大。需要进一步的研究来证实这些初步发现,并建立联合治疗的最佳患者选择标准。
本文章由计算机程序翻译,如有差异,请以英文原文为准。

Renoprotective effects of combination therapy with tolvaptan and dapagliflozin in autosomal dominant polycystic kidney disease: a four-case series.

Renoprotective effects of combination therapy with tolvaptan and dapagliflozin in autosomal dominant polycystic kidney disease: a four-case series.

Renoprotective effects of combination therapy with tolvaptan and dapagliflozin in autosomal dominant polycystic kidney disease: a four-case series.

Renoprotective effects of combination therapy with tolvaptan and dapagliflozin in autosomal dominant polycystic kidney disease: a four-case series.

Autosomal dominant polycystic kidney disease (ADPKD), the most prevalent inherited kidney disorder, progresses inexorably to end-stage kidney disease (ESKD) with the vasopressin V2-receptor antagonist tolvaptan serving as a primary treatment option since 2014. While dapagliflozin, a sodium-glucose cotransporter-2 (SGLT2) inhibitor, was approved for treating chronic kidney disease in August 2021, its renoprotective effects in ADPKD remain uncertain due to potential vasopressin stimulation. We evaluated four Japanese ADPKD patients receiving combination therapy with tolvaptan and dapagliflozin for over two years. A 74-year-old woman (Mayo Class 1D, CKD stage 4) showed improved estimated glomerular filtration rate (eGFR) decline from - 1.39 to - 0.66 mL/min/1.73 m2/year. A 62-year-old woman (Mayo Class 1B, CKD stage 3b) demonstrated eGFR decline improvement from - 1.02 to - 0.66 mL/min/1.73 m2/year. A 39-year-old man (Mayo Class 1C, CKD stage 3a) exhibited significant improvement from - 5.00 to - 1.35 mL/min/1.73 m2/year. A 45-year-old woman (Mayo Class 1D, CKD stage 3b) showed marked improvement from - 14.12 to - 0.22 mL/min/1.73 m2/year. While eGFR decline decelerated in the control group, the combination therapy group showed more pronounced improvements. Height-adjusted total kidney volume (htTKV) in the group combination therapy showed variable responses: two patients experienced volume increases (+ 4.03%, + 3.65%/year), while two showed decreases (- 0.45%, - 3.65%/year). These cases suggest potential renoprotective benefits from combining tolvaptan and dapagliflozin in ADPKD patients. Careful monitoring of renal cyst enlargement is warranted with concurrent dapagliflozin use. Further research is needed to confirm these preliminary findings and establish optimal patient selection criteria for combination therapy.

求助全文
通过发布文献求助,成功后即可免费获取论文全文。 去求助
来源期刊
CEN Case Reports
CEN Case Reports UROLOGY & NEPHROLOGY-
CiteScore
1.90
自引率
0.00%
发文量
80
期刊介绍: Clinical and Experimental Nephrology (CEN) Case Reports is a peer-reviewed online-only journal, officially published biannually by the Japanese Society of Nephrology (JSN).  The journal publishes original case reports in nephrology and related areas.  The purpose of CEN Case Reports is to provide clinicians and researchers with a forum in which to disseminate their personal experience to a wide readership and to review interesting cases encountered by colleagues all over the world, from whom contributions are welcomed.
×
引用
GB/T 7714-2015
复制
MLA
复制
APA
复制
导出至
BibTeX EndNote RefMan NoteFirst NoteExpress
×
提示
您的信息不完整,为了账户安全,请先补充。
现在去补充
×
提示
您因"违规操作"
具体请查看互助需知
我知道了
×
提示
确定
请完成安全验证×
copy
已复制链接
快去分享给好友吧!
我知道了
右上角分享
点击右上角分享
0
联系我们:info@booksci.cn Book学术提供免费学术资源搜索服务,方便国内外学者检索中英文文献。致力于提供最便捷和优质的服务体验。 Copyright © 2023 布克学术 All rights reserved.
京ICP备2023020795号-1
ghs 京公网安备 11010802042870号
Book学术文献互助
Book学术文献互助群
群 号:604180095
Book学术官方微信