用可持续生物源松香酯交联的端羟基聚丁二烯基聚氨酯的结构-性能行为。

IF 4.7 2区 化学 Q2 MATERIALS SCIENCE, MULTIDISCIPLINARY
ACS Applied Polymer Materials Pub Date : 2025-04-10 eCollection Date: 2025-04-25 DOI:10.1021/acsapm.5c00220
Aran Guner, Frank Lee, Daniel W Lester, James S Town, Steven Huband, Daniel Jubb, Ken Lewtas, Tony McNally
{"title":"用可持续生物源松香酯交联的端羟基聚丁二烯基聚氨酯的结构-性能行为。","authors":"Aran Guner, Frank Lee, Daniel W Lester, James S Town, Steven Huband, Daniel Jubb, Ken Lewtas, Tony McNally","doi":"10.1021/acsapm.5c00220","DOIUrl":null,"url":null,"abstract":"<p><p>Hydroxyl-terminated polybutadiene (HTPB) particularly when cross-linked with a diisocyanate is a very versatile elastomer having excellent mechanical and low temperature properties suitable for applications as diverse as binders in rocket propellants to surface coatings. These properties can be tailored further by the inclusion of a plasticizer, e.g., octadecyl adipate, but there are many technical challenges remaining around the use of such plasticizers, including migration from and miscibility with HTPB, together with the problem that such plasticizers are synthesized from non-renewable feedstocks. To address these limitations, rosin and functional rosin esters, sourced from pine trees, were blended with HTPB at loadings up to 20 wt % prior to cross-linking with toluene diisocyanate. All rosin esters studied were shown to be fully miscible with HTPB; a single glass transition temperature (<i>T</i> <sub>g</sub>) was measured for all HTPB/rosin ester blends slightly above the <i>T</i> <sub>g</sub> (-79 °C) of HTPB and well below that of the rosin esters (38-58 °C). Simultaneous wide-angle X-ray scattering (WAXS) and small-angle X-ray scattering (SAXS) measurements confirmed that there was no phase separation between the HTPB and rosin esters when blended. From increases in interdomain sizes, measured from X-ray scattering experiments on postcured samples, only the functional rosin ester (T<sub>3</sub>) takes part in the cross-linking reaction. Consequently, for the HTPB modified with T<sub>3</sub> at 10 wt %, the elongation at break (ε) increased from 275% for unmodified HTPB to 600% and critically without a decrease in ultimate tensile strength (σ). For 20 wt % T<sub>3</sub>, ε increased to 1200%, and the material displayed strain-hardening behavior. The mechanical properties of HTPB can be tailored using functional rosin esters to alter the diisocyanate cross-linking reaction of the rubber.</p>","PeriodicalId":7,"journal":{"name":"ACS Applied Polymer Materials","volume":"7 8","pages":"4963-4972"},"PeriodicalIF":4.7000,"publicationDate":"2025-04-10","publicationTypes":"Journal Article","fieldsOfStudy":null,"isOpenAccess":false,"openAccessPdf":"https://www.ncbi.nlm.nih.gov/pmc/articles/PMC12038791/pdf/","citationCount":"0","resultStr":"{\"title\":\"Structure-Property Behavior of Hydroxyl-Terminated Polybutadiene-Based Urethanes Additionally Cross-Linked Using Sustainable Biosourced Rosin Esters.\",\"authors\":\"Aran Guner, Frank Lee, Daniel W Lester, James S Town, Steven Huband, Daniel Jubb, Ken Lewtas, Tony McNally\",\"doi\":\"10.1021/acsapm.5c00220\",\"DOIUrl\":null,\"url\":null,\"abstract\":\"<p><p>Hydroxyl-terminated polybutadiene (HTPB) particularly when cross-linked with a diisocyanate is a very versatile elastomer having excellent mechanical and low temperature properties suitable for applications as diverse as binders in rocket propellants to surface coatings. These properties can be tailored further by the inclusion of a plasticizer, e.g., octadecyl adipate, but there are many technical challenges remaining around the use of such plasticizers, including migration from and miscibility with HTPB, together with the problem that such plasticizers are synthesized from non-renewable feedstocks. To address these limitations, rosin and functional rosin esters, sourced from pine trees, were blended with HTPB at loadings up to 20 wt % prior to cross-linking with toluene diisocyanate. All rosin esters studied were shown to be fully miscible with HTPB; a single glass transition temperature (<i>T</i> <sub>g</sub>) was measured for all HTPB/rosin ester blends slightly above the <i>T</i> <sub>g</sub> (-79 °C) of HTPB and well below that of the rosin esters (38-58 °C). Simultaneous wide-angle X-ray scattering (WAXS) and small-angle X-ray scattering (SAXS) measurements confirmed that there was no phase separation between the HTPB and rosin esters when blended. From increases in interdomain sizes, measured from X-ray scattering experiments on postcured samples, only the functional rosin ester (T<sub>3</sub>) takes part in the cross-linking reaction. Consequently, for the HTPB modified with T<sub>3</sub> at 10 wt %, the elongation at break (ε) increased from 275% for unmodified HTPB to 600% and critically without a decrease in ultimate tensile strength (σ). For 20 wt % T<sub>3</sub>, ε increased to 1200%, and the material displayed strain-hardening behavior. The mechanical properties of HTPB can be tailored using functional rosin esters to alter the diisocyanate cross-linking reaction of the rubber.</p>\",\"PeriodicalId\":7,\"journal\":{\"name\":\"ACS Applied Polymer Materials\",\"volume\":\"7 8\",\"pages\":\"4963-4972\"},\"PeriodicalIF\":4.7000,\"publicationDate\":\"2025-04-10\",\"publicationTypes\":\"Journal Article\",\"fieldsOfStudy\":null,\"isOpenAccess\":false,\"openAccessPdf\":\"https://www.ncbi.nlm.nih.gov/pmc/articles/PMC12038791/pdf/\",\"citationCount\":\"0\",\"resultStr\":null,\"platform\":\"Semanticscholar\",\"paperid\":null,\"PeriodicalName\":\"ACS Applied Polymer Materials\",\"FirstCategoryId\":\"92\",\"ListUrlMain\":\"https://doi.org/10.1021/acsapm.5c00220\",\"RegionNum\":2,\"RegionCategory\":\"化学\",\"ArticlePicture\":[],\"TitleCN\":null,\"AbstractTextCN\":null,\"PMCID\":null,\"EPubDate\":\"2025/4/25 0:00:00\",\"PubModel\":\"eCollection\",\"JCR\":\"Q2\",\"JCRName\":\"MATERIALS SCIENCE, MULTIDISCIPLINARY\",\"Score\":null,\"Total\":0}","platform":"Semanticscholar","paperid":null,"PeriodicalName":"ACS Applied Polymer Materials","FirstCategoryId":"92","ListUrlMain":"https://doi.org/10.1021/acsapm.5c00220","RegionNum":2,"RegionCategory":"化学","ArticlePicture":[],"TitleCN":null,"AbstractTextCN":null,"PMCID":null,"EPubDate":"2025/4/25 0:00:00","PubModel":"eCollection","JCR":"Q2","JCRName":"MATERIALS SCIENCE, MULTIDISCIPLINARY","Score":null,"Total":0}
引用次数: 0

摘要

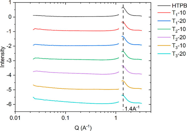
端羟基聚丁二烯(HTPB)是一种非常通用的弹性体,特别是当与二异氰酸酯交联时,它具有优异的机械性能和低温性能,适用于从火箭推进剂的粘合剂到表面涂层的各种应用。这些性能可以通过添加增塑剂(例如己二酸十八烷基)来进一步调整,但在使用此类增塑剂方面仍存在许多技术挑战,包括HTPB的迁移和与HTPB的混溶,以及此类增塑剂是由不可再生原料合成的问题。为了解决这些限制,研究人员将松香和功能性松香酯从松树中提取,在与甲苯二异氰酸酯交联之前,以高达20%的负荷与HTPB混合。所有松香酯均能与HTPB完全混溶;所有HTPB/松香酯共混物的单玻璃化转变温度(T g)均略高于HTPB的T g(-79℃),远低于松香酯的T g(38-58℃)。同时广角x射线散射(WAXS)和小角x射线散射(SAXS)测量证实,HTPB和松香酯混合时没有相分离。从固化后样品的x射线散射实验中测量的畴间尺寸的增加来看,只有功能松香酯(T3)参与交联反应。结果表明,以10 wt %的T3改性的HTPB,断裂伸长率(ε)从未改性HTPB的275%提高到600%,而极限抗拉强度(σ)却没有下降。当wt % T3为20时,ε增大到1200%,材料表现出应变硬化行为。利用功能松香酯改变橡胶的二异氰酸酯交联反应,可以定制HTPB的力学性能。
本文章由计算机程序翻译,如有差异,请以英文原文为准。

Structure-Property Behavior of Hydroxyl-Terminated Polybutadiene-Based Urethanes Additionally Cross-Linked Using Sustainable Biosourced Rosin Esters.

Structure-Property Behavior of Hydroxyl-Terminated Polybutadiene-Based Urethanes Additionally Cross-Linked Using Sustainable Biosourced Rosin Esters.

Structure-Property Behavior of Hydroxyl-Terminated Polybutadiene-Based Urethanes Additionally Cross-Linked Using Sustainable Biosourced Rosin Esters.

Structure-Property Behavior of Hydroxyl-Terminated Polybutadiene-Based Urethanes Additionally Cross-Linked Using Sustainable Biosourced Rosin Esters.

Hydroxyl-terminated polybutadiene (HTPB) particularly when cross-linked with a diisocyanate is a very versatile elastomer having excellent mechanical and low temperature properties suitable for applications as diverse as binders in rocket propellants to surface coatings. These properties can be tailored further by the inclusion of a plasticizer, e.g., octadecyl adipate, but there are many technical challenges remaining around the use of such plasticizers, including migration from and miscibility with HTPB, together with the problem that such plasticizers are synthesized from non-renewable feedstocks. To address these limitations, rosin and functional rosin esters, sourced from pine trees, were blended with HTPB at loadings up to 20 wt % prior to cross-linking with toluene diisocyanate. All rosin esters studied were shown to be fully miscible with HTPB; a single glass transition temperature (T g) was measured for all HTPB/rosin ester blends slightly above the T g (-79 °C) of HTPB and well below that of the rosin esters (38-58 °C). Simultaneous wide-angle X-ray scattering (WAXS) and small-angle X-ray scattering (SAXS) measurements confirmed that there was no phase separation between the HTPB and rosin esters when blended. From increases in interdomain sizes, measured from X-ray scattering experiments on postcured samples, only the functional rosin ester (T3) takes part in the cross-linking reaction. Consequently, for the HTPB modified with T3 at 10 wt %, the elongation at break (ε) increased from 275% for unmodified HTPB to 600% and critically without a decrease in ultimate tensile strength (σ). For 20 wt % T3, ε increased to 1200%, and the material displayed strain-hardening behavior. The mechanical properties of HTPB can be tailored using functional rosin esters to alter the diisocyanate cross-linking reaction of the rubber.

求助全文
通过发布文献求助,成功后即可免费获取论文全文。 去求助
来源期刊
CiteScore
7.20
自引率
6.00%
发文量
810
期刊介绍: ACS Applied Polymer Materials is an interdisciplinary journal publishing original research covering all aspects of engineering, chemistry, physics, and biology relevant to applications of polymers. The journal is devoted to reports of new and original experimental and theoretical research of an applied nature that integrates fundamental knowledge in the areas of materials, engineering, physics, bioscience, polymer science and chemistry into important polymer applications. The journal is specifically interested in work that addresses relationships among structure, processing, morphology, chemistry, properties, and function as well as work that provide insights into mechanisms critical to the performance of the polymer for applications.
×
引用
GB/T 7714-2015
复制
MLA
复制
APA
复制
导出至
BibTeX EndNote RefMan NoteFirst NoteExpress
×
提示
您的信息不完整,为了账户安全,请先补充。
现在去补充
×
提示
您因"违规操作"
具体请查看互助需知
我知道了
×
提示
确定
请完成安全验证×
copy
已复制链接
快去分享给好友吧!
我知道了
右上角分享
点击右上角分享
0
联系我们:info@booksci.cn Book学术提供免费学术资源搜索服务,方便国内外学者检索中英文文献。致力于提供最便捷和优质的服务体验。 Copyright © 2023 布克学术 All rights reserved.
京ICP备2023020795号-1
ghs 京公网安备 11010802042870号
Book学术文献互助
Book学术文献互助群
群 号:604180095
Book学术官方微信