未来气候变化对澳大利亚沿海岛屿植被的影响

IF 12 1区 环境科学与生态学 Q1 BIODIVERSITY CONSERVATION
David Coleman, Mark Westoby, Julian Schrader
{"title":"未来气候变化对澳大利亚沿海岛屿植被的影响","authors":"David Coleman,&nbsp;Mark Westoby,&nbsp;Julian Schrader","doi":"10.1111/gcb.70220","DOIUrl":null,"url":null,"abstract":"<p>Small coastal islands serve as replicated units of space that are useful for studying community assembly. Using a unique database holding information on comprehensive vegetation surveys on &gt; 840 small coastal islands fringing the whole continent of Australia, we investigated the extent to which conditions will change for plants on Australia's islands over the next 80 years in terms of their temperature envelopes and inferred changes in vapour pressure deficit (VPD). We found ~40% of island plant populations will experience mean annual temperatures beyond their current envelope. However, envelopes defined by VPD and extreme monthly temperatures are unlikely to be exceeded, highlighting islands' potential to act as climate refugia. Large species with slow life histories and poor dispersal traits were most likely to experience warmer temperatures, although this proved to be driven by correlations of these traits with latitude (closer to the equator) and with smaller range sizes. We found no evidence of warm edge extinction or poleward migration across species in response to 0.5° of warming since the year 2000. These results have applications for monitoring and conservation efforts under climate change for fragmented habitats everywhere.</p>","PeriodicalId":175,"journal":{"name":"Global Change Biology","volume":"31 5","pages":""},"PeriodicalIF":12.0000,"publicationDate":"2025-05-14","publicationTypes":"Journal Article","fieldsOfStudy":null,"isOpenAccess":false,"openAccessPdf":"https://onlinelibrary.wiley.com/doi/epdf/10.1111/gcb.70220","citationCount":"0","resultStr":"{\"title\":\"Future Climate Shifts for Vegetation on Australia's Coastal Islands\",\"authors\":\"David Coleman,&nbsp;Mark Westoby,&nbsp;Julian Schrader\",\"doi\":\"10.1111/gcb.70220\",\"DOIUrl\":null,\"url\":null,\"abstract\":\"<p>Small coastal islands serve as replicated units of space that are useful for studying community assembly. Using a unique database holding information on comprehensive vegetation surveys on &gt; 840 small coastal islands fringing the whole continent of Australia, we investigated the extent to which conditions will change for plants on Australia's islands over the next 80 years in terms of their temperature envelopes and inferred changes in vapour pressure deficit (VPD). We found ~40% of island plant populations will experience mean annual temperatures beyond their current envelope. However, envelopes defined by VPD and extreme monthly temperatures are unlikely to be exceeded, highlighting islands' potential to act as climate refugia. Large species with slow life histories and poor dispersal traits were most likely to experience warmer temperatures, although this proved to be driven by correlations of these traits with latitude (closer to the equator) and with smaller range sizes. We found no evidence of warm edge extinction or poleward migration across species in response to 0.5° of warming since the year 2000. These results have applications for monitoring and conservation efforts under climate change for fragmented habitats everywhere.</p>\",\"PeriodicalId\":175,\"journal\":{\"name\":\"Global Change Biology\",\"volume\":\"31 5\",\"pages\":\"\"},\"PeriodicalIF\":12.0000,\"publicationDate\":\"2025-05-14\",\"publicationTypes\":\"Journal Article\",\"fieldsOfStudy\":null,\"isOpenAccess\":false,\"openAccessPdf\":\"https://onlinelibrary.wiley.com/doi/epdf/10.1111/gcb.70220\",\"citationCount\":\"0\",\"resultStr\":null,\"platform\":\"Semanticscholar\",\"paperid\":null,\"PeriodicalName\":\"Global Change Biology\",\"FirstCategoryId\":\"93\",\"ListUrlMain\":\"https://onlinelibrary.wiley.com/doi/10.1111/gcb.70220\",\"RegionNum\":1,\"RegionCategory\":\"环境科学与生态学\",\"ArticlePicture\":[],\"TitleCN\":null,\"AbstractTextCN\":null,\"PMCID\":null,\"EPubDate\":\"\",\"PubModel\":\"\",\"JCR\":\"Q1\",\"JCRName\":\"BIODIVERSITY CONSERVATION\",\"Score\":null,\"Total\":0}","platform":"Semanticscholar","paperid":null,"PeriodicalName":"Global Change Biology","FirstCategoryId":"93","ListUrlMain":"https://onlinelibrary.wiley.com/doi/10.1111/gcb.70220","RegionNum":1,"RegionCategory":"环境科学与生态学","ArticlePicture":[],"TitleCN":null,"AbstractTextCN":null,"PMCID":null,"EPubDate":"","PubModel":"","JCR":"Q1","JCRName":"BIODIVERSITY CONSERVATION","Score":null,"Total":0}
引用次数: 0

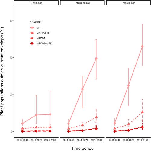
摘要

小型沿海岛屿作为复制的空间单元,对研究社区聚集很有用。我们使用了一个独特的数据库,其中包含了澳大利亚整个大陆边缘840个沿海小岛的综合植被调查信息,我们调查了澳大利亚岛屿上植物在未来80年的温度变化程度,并推断了蒸汽压差(VPD)的变化。我们发现,约40%的岛屿植物种群将经历超过其当前封套的年平均温度。然而,由VPD定义的封套和极端的月温度不太可能被超越,突出了岛屿作为气候避难所的潜力。生活史缓慢、传播特性差的大型物种最有可能经历更温暖的温度,尽管事实证明,这是由这些特征与纬度(更接近赤道)和较小范围的相关性所驱动的。自2000年以来,我们没有发现暖边灭绝或物种向极地迁移的证据,以应对0.5°的变暖。这些结果可用于监测和保护气候变化下各地破碎栖息地的工作。
本文章由计算机程序翻译,如有差异,请以英文原文为准。

Future Climate Shifts for Vegetation on Australia's Coastal Islands

Future Climate Shifts for Vegetation on Australia's Coastal Islands

Small coastal islands serve as replicated units of space that are useful for studying community assembly. Using a unique database holding information on comprehensive vegetation surveys on > 840 small coastal islands fringing the whole continent of Australia, we investigated the extent to which conditions will change for plants on Australia's islands over the next 80 years in terms of their temperature envelopes and inferred changes in vapour pressure deficit (VPD). We found ~40% of island plant populations will experience mean annual temperatures beyond their current envelope. However, envelopes defined by VPD and extreme monthly temperatures are unlikely to be exceeded, highlighting islands' potential to act as climate refugia. Large species with slow life histories and poor dispersal traits were most likely to experience warmer temperatures, although this proved to be driven by correlations of these traits with latitude (closer to the equator) and with smaller range sizes. We found no evidence of warm edge extinction or poleward migration across species in response to 0.5° of warming since the year 2000. These results have applications for monitoring and conservation efforts under climate change for fragmented habitats everywhere.

求助全文
通过发布文献求助,成功后即可免费获取论文全文。 去求助
来源期刊
Global Change Biology
Global Change Biology 环境科学-环境科学
CiteScore
21.50
自引率
5.20%
发文量
497
审稿时长
3.3 months
期刊介绍: Global Change Biology is an environmental change journal committed to shaping the future and addressing the world's most pressing challenges, including sustainability, climate change, environmental protection, food and water safety, and global health. Dedicated to fostering a profound understanding of the impacts of global change on biological systems and offering innovative solutions, the journal publishes a diverse range of content, including primary research articles, technical advances, research reviews, reports, opinions, perspectives, commentaries, and letters. Starting with the 2024 volume, Global Change Biology will transition to an online-only format, enhancing accessibility and contributing to the evolution of scholarly communication.
×
引用
GB/T 7714-2015
复制
MLA
复制
APA
复制
导出至
BibTeX EndNote RefMan NoteFirst NoteExpress
×
提示
您的信息不完整,为了账户安全,请先补充。
现在去补充
×
提示
您因"违规操作"
具体请查看互助需知
我知道了
×
提示
确定
请完成安全验证×
copy
已复制链接
快去分享给好友吧!
我知道了
右上角分享
点击右上角分享
0
联系我们:info@booksci.cn Book学术提供免费学术资源搜索服务,方便国内外学者检索中英文文献。致力于提供最便捷和优质的服务体验。 Copyright © 2023 布克学术 All rights reserved.
京ICP备2023020795号-1
ghs 京公网安备 11010802042870号
Book学术文献互助
Book学术文献互助群
群 号:604180095
Book学术官方微信