热塑性硫化胶(TPVs)的膨胀行为:修正的扩展Flory- Huggins模型

IF 2 4区 化学 Q3 CHEMISTRY, MULTIDISCIPLINARY
Jiwon Kwon, Prof. Jeong Seok Oh, Prof. Young Chan Bae
{"title":"热塑性硫化胶(TPVs)的膨胀行为:修正的扩展Flory- Huggins模型","authors":"Jiwon Kwon,&nbsp;Prof. Jeong Seok Oh,&nbsp;Prof. Young Chan Bae","doi":"10.1002/slct.202501323","DOIUrl":null,"url":null,"abstract":"<p>This study examines the swelling behavior of thermoplastic vulcanizates (TPVs) from a 60/40 wt% of ethylene propylene diene monomer (EPDM) and polypropylene (PP), using dynamic vulcanization to combine elastomeric flexibility with thermoplastic processability. To model swelling and phase behavior of TPVs and natural rubber (NR) in various solvent environments, an extended Flory–Huggins model was modified. This model introduces an interaction parameter, χ<sub><i>KB</i></sub>, accounting for both composition and temperature, enabling accurate predictions of polymer-solvent interactions across different conditions. The model includes two approaches: Case I, which incorporates χ<sub><i>KB</i></sub> into the traditional Flory–Huggins framework to predict temperature- and composition-dependent swelling and phase behaviors for polymer/solvent systems, and Case II, which adds specific interaction terms for more detailed polymer-solvent orientation. The model accurately predicted swelling behavior in polar and nonpolar solvents, closely aligning with experimental data. Results also showed that higher crosslink density restricts solvent uptake, especially in polar environments. Moreover, Case II successfully predicted upper critical solution temperature (UCST) and lower critical solution temperature (LCST) phenomena, validated experimentally for UCST in polyisobutylene (PIB)/diisobutyl ketone (DIBK) systems and LCST in polystyrene (PS)/ethyl acetate (EA) systems. This adaptable model holds promise for industrial and environmental polymer applications requiring precise control of swelling and phase transitions.</p>","PeriodicalId":146,"journal":{"name":"ChemistrySelect","volume":"10 15","pages":""},"PeriodicalIF":2.0000,"publicationDate":"2025-04-15","publicationTypes":"Journal Article","fieldsOfStudy":null,"isOpenAccess":false,"openAccessPdf":"https://onlinelibrary.wiley.com/doi/epdf/10.1002/slct.202501323","citationCount":"0","resultStr":"{\"title\":\"Swelling Behaviors of Thermoplastic Vulcanizates (TPVs): Modified Extended Flory- Huggins Model\",\"authors\":\"Jiwon Kwon,&nbsp;Prof. Jeong Seok Oh,&nbsp;Prof. Young Chan Bae\",\"doi\":\"10.1002/slct.202501323\",\"DOIUrl\":null,\"url\":null,\"abstract\":\"<p>This study examines the swelling behavior of thermoplastic vulcanizates (TPVs) from a 60/40 wt% of ethylene propylene diene monomer (EPDM) and polypropylene (PP), using dynamic vulcanization to combine elastomeric flexibility with thermoplastic processability. To model swelling and phase behavior of TPVs and natural rubber (NR) in various solvent environments, an extended Flory–Huggins model was modified. This model introduces an interaction parameter, χ<sub><i>KB</i></sub>, accounting for both composition and temperature, enabling accurate predictions of polymer-solvent interactions across different conditions. The model includes two approaches: Case I, which incorporates χ<sub><i>KB</i></sub> into the traditional Flory–Huggins framework to predict temperature- and composition-dependent swelling and phase behaviors for polymer/solvent systems, and Case II, which adds specific interaction terms for more detailed polymer-solvent orientation. The model accurately predicted swelling behavior in polar and nonpolar solvents, closely aligning with experimental data. Results also showed that higher crosslink density restricts solvent uptake, especially in polar environments. Moreover, Case II successfully predicted upper critical solution temperature (UCST) and lower critical solution temperature (LCST) phenomena, validated experimentally for UCST in polyisobutylene (PIB)/diisobutyl ketone (DIBK) systems and LCST in polystyrene (PS)/ethyl acetate (EA) systems. This adaptable model holds promise for industrial and environmental polymer applications requiring precise control of swelling and phase transitions.</p>\",\"PeriodicalId\":146,\"journal\":{\"name\":\"ChemistrySelect\",\"volume\":\"10 15\",\"pages\":\"\"},\"PeriodicalIF\":2.0000,\"publicationDate\":\"2025-04-15\",\"publicationTypes\":\"Journal Article\",\"fieldsOfStudy\":null,\"isOpenAccess\":false,\"openAccessPdf\":\"https://onlinelibrary.wiley.com/doi/epdf/10.1002/slct.202501323\",\"citationCount\":\"0\",\"resultStr\":null,\"platform\":\"Semanticscholar\",\"paperid\":null,\"PeriodicalName\":\"ChemistrySelect\",\"FirstCategoryId\":\"92\",\"ListUrlMain\":\"https://chemistry-europe.onlinelibrary.wiley.com/doi/10.1002/slct.202501323\",\"RegionNum\":4,\"RegionCategory\":\"化学\",\"ArticlePicture\":[],\"TitleCN\":null,\"AbstractTextCN\":null,\"PMCID\":null,\"EPubDate\":\"\",\"PubModel\":\"\",\"JCR\":\"Q3\",\"JCRName\":\"CHEMISTRY, MULTIDISCIPLINARY\",\"Score\":null,\"Total\":0}","platform":"Semanticscholar","paperid":null,"PeriodicalName":"ChemistrySelect","FirstCategoryId":"92","ListUrlMain":"https://chemistry-europe.onlinelibrary.wiley.com/doi/10.1002/slct.202501323","RegionNum":4,"RegionCategory":"化学","ArticlePicture":[],"TitleCN":null,"AbstractTextCN":null,"PMCID":null,"EPubDate":"","PubModel":"","JCR":"Q3","JCRName":"CHEMISTRY, MULTIDISCIPLINARY","Score":null,"Total":0}
引用次数: 0

摘要

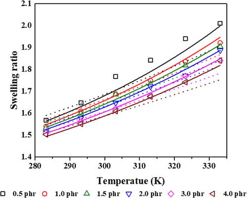
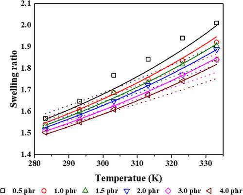
本研究考察了60/40 wt%的乙丙二烯单体(EPDM)和聚丙烯(PP)的热塑性硫化(TPVs)的膨胀行为,使用动态硫化将弹性体柔韧性与热塑性可加工性结合起来。为了模拟TPVs和天然橡胶(NR)在不同溶剂环境中的溶胀和相行为,对扩展的Flory-Huggins模型进行了修正。该模型引入了一个相互作用参数χKB,考虑了成分和温度,从而能够准确预测聚合物-溶剂在不同条件下的相互作用。该模型包括两种方法:案例1,将χKB纳入传统的Flory-Huggins框架,以预测聚合物/溶剂体系的温度和成分依赖的膨胀和相行为;案例2,增加特定的相互作用项,以获得更详细的聚合物/溶剂取向。该模型准确地预测了极性和非极性溶剂中的溶胀行为,与实验数据非常吻合。结果还表明,较高的交联密度限制了溶剂的吸收,特别是在极性环境中。此外,案例II成功地预测了上临界溶液温度(UCST)和下临界溶液温度(LCST)现象,并通过实验验证了聚异丁烯(PIB)/二异丁基酮(DIBK)体系中的UCST和聚苯乙烯(PS)/乙酸乙酯(EA)体系中的LCST。这种适应性强的模型有望用于需要精确控制膨胀和相变的工业和环境聚合物应用。
本文章由计算机程序翻译,如有差异,请以英文原文为准。

Swelling Behaviors of Thermoplastic Vulcanizates (TPVs): Modified Extended Flory- Huggins Model

Swelling Behaviors of Thermoplastic Vulcanizates (TPVs): Modified Extended Flory- Huggins Model

Swelling Behaviors of Thermoplastic Vulcanizates (TPVs): Modified Extended Flory- Huggins Model

Swelling Behaviors of Thermoplastic Vulcanizates (TPVs): Modified Extended Flory- Huggins Model

Swelling Behaviors of Thermoplastic Vulcanizates (TPVs): Modified Extended Flory- Huggins Model

This study examines the swelling behavior of thermoplastic vulcanizates (TPVs) from a 60/40 wt% of ethylene propylene diene monomer (EPDM) and polypropylene (PP), using dynamic vulcanization to combine elastomeric flexibility with thermoplastic processability. To model swelling and phase behavior of TPVs and natural rubber (NR) in various solvent environments, an extended Flory–Huggins model was modified. This model introduces an interaction parameter, χKB, accounting for both composition and temperature, enabling accurate predictions of polymer-solvent interactions across different conditions. The model includes two approaches: Case I, which incorporates χKB into the traditional Flory–Huggins framework to predict temperature- and composition-dependent swelling and phase behaviors for polymer/solvent systems, and Case II, which adds specific interaction terms for more detailed polymer-solvent orientation. The model accurately predicted swelling behavior in polar and nonpolar solvents, closely aligning with experimental data. Results also showed that higher crosslink density restricts solvent uptake, especially in polar environments. Moreover, Case II successfully predicted upper critical solution temperature (UCST) and lower critical solution temperature (LCST) phenomena, validated experimentally for UCST in polyisobutylene (PIB)/diisobutyl ketone (DIBK) systems and LCST in polystyrene (PS)/ethyl acetate (EA) systems. This adaptable model holds promise for industrial and environmental polymer applications requiring precise control of swelling and phase transitions.

求助全文
通过发布文献求助,成功后即可免费获取论文全文。 去求助
来源期刊
ChemistrySelect
ChemistrySelect Chemistry-General Chemistry
CiteScore
3.30
自引率
4.80%
发文量
1809
审稿时长
1.6 months
期刊介绍: ChemistrySelect is the latest journal from ChemPubSoc Europe and Wiley-VCH. It offers researchers a quality society-owned journal in which to publish their work in all areas of chemistry. Manuscripts are evaluated by active researchers to ensure they add meaningfully to the scientific literature, and those accepted are processed quickly to ensure rapid online publication.
×
引用
GB/T 7714-2015
复制
MLA
复制
APA
复制
导出至
BibTeX EndNote RefMan NoteFirst NoteExpress
×
提示
您的信息不完整,为了账户安全,请先补充。
现在去补充
×
提示
您因"违规操作"
具体请查看互助需知
我知道了
×
提示
确定
请完成安全验证×
copy
已复制链接
快去分享给好友吧!
我知道了
右上角分享
点击右上角分享
0
联系我们:info@booksci.cn Book学术提供免费学术资源搜索服务,方便国内外学者检索中英文文献。致力于提供最便捷和优质的服务体验。 Copyright © 2023 布克学术 All rights reserved.
京ICP备2023020795号-1
ghs 京公网安备 11010802042870号
Book学术文献互助
Book学术文献互助群
群 号:604180095
Book学术官方微信