血液学生物标志物在预测局部晚期外阴癌最终放化疗预后中的作用。

Journal of biological methods Pub Date : 2024-12-18 eCollection Date: 2025-01-01 DOI:10.14440/jbm.2025.0104
Maysa Al Hussaini, Ramiz Abuhijlih, Issa Mohamad, Abdallah Al-Ani, Fawzi Abuhijla
{"title":"血液学生物标志物在预测局部晚期外阴癌最终放化疗预后中的作用。","authors":"Maysa Al Hussaini, Ramiz Abuhijlih, Issa Mohamad, Abdallah Al-Ani, Fawzi Abuhijla","doi":"10.14440/jbm.2025.0104","DOIUrl":null,"url":null,"abstract":"<p><strong>Background: </strong>The systemic inflammatory response triggered by the carcinogenic process induces significant changes in a wide range of hematological biomarkers, impacting their levels, functions, and overall roles in the body's physiological and pathological processes.</p><p><strong>Objective: </strong>To evaluate the value of pre-treatment hematological parameters in the prediction of clinical and radiological responses of locally advanced vulvar cancer to definitive chemoradiation.</p><p><strong>Methods: </strong>We retrospectively reviewed the medical records of patients treated at the King Hussein Cancer Center receiving definitive chemoradiation for pathologically confirmed locally advanced vulvar carcinoma. Response of the primary disease to treatment was classified as complete response (CR) if there was no clinically- or radiologically-confirmed residual disease at 12 weeks after completion of chemoradiation. Univariate analyses on complete response, progression-free survival (PFS), and overall survival (OS) were performed using clinical factors and pre-treatment hematological parameters.</p><p><strong>Results: </strong>A total of 30 patients were included, with a median age of 57.5 years and a median follow-up of 21 months. Of these, 24 patients (80%) achieved CR. Disease progression occurred in 11 patients (36.7%) during the follow-up period, and 9 (30%) died. Kaplan-Meier analysis demonstrated that only the neutrophil-to-lymphocyte ratio (NLR) (<i>p</i> = 0.007) and basophil-to-lymphocyte ratio (BLR) (<i>p</i> = 0.05) were predictive of OS. Conversely, PFS was significantly associated with white blood cell count (<i>p</i> = 0.042) and BLR (<i>p</i> = 0.004). Receiver operating characteristic (ROC) analysis indicated that NLR and BLR had significant predictive power for survival at the following cutoffs: 3.4 and 0.035, respectively. When categorized by ROC values, BLR was significantly associated with response to treatment (<i>p</i> = 0.026). Moreover, both NLR and BLR were significantly associated with OS and PFS.</p><p><strong>Conclusion: </strong>Pre-treatment NLR and BLR may be useful predictive markers for clinical and radiological response, as well as for oncological outcomes in locally advanced vulvar cancer treated with definitive chemoradiation.</p>","PeriodicalId":73618,"journal":{"name":"Journal of biological methods","volume":"12 1","pages":"e99010044"},"PeriodicalIF":0.0000,"publicationDate":"2024-12-18","publicationTypes":"Journal Article","fieldsOfStudy":null,"isOpenAccess":false,"openAccessPdf":"https://www.ncbi.nlm.nih.gov/pmc/articles/PMC11973051/pdf/","citationCount":"0","resultStr":"{\"title\":\"Role of hematological biomarkers in predicting oncological outcomes of definitive chemoradiation in locally advanced vulvar carcinoma.\",\"authors\":\"Maysa Al Hussaini, Ramiz Abuhijlih, Issa Mohamad, Abdallah Al-Ani, Fawzi Abuhijla\",\"doi\":\"10.14440/jbm.2025.0104\",\"DOIUrl\":null,\"url\":null,\"abstract\":\"<p><strong>Background: </strong>The systemic inflammatory response triggered by the carcinogenic process induces significant changes in a wide range of hematological biomarkers, impacting their levels, functions, and overall roles in the body's physiological and pathological processes.</p><p><strong>Objective: </strong>To evaluate the value of pre-treatment hematological parameters in the prediction of clinical and radiological responses of locally advanced vulvar cancer to definitive chemoradiation.</p><p><strong>Methods: </strong>We retrospectively reviewed the medical records of patients treated at the King Hussein Cancer Center receiving definitive chemoradiation for pathologically confirmed locally advanced vulvar carcinoma. Response of the primary disease to treatment was classified as complete response (CR) if there was no clinically- or radiologically-confirmed residual disease at 12 weeks after completion of chemoradiation. Univariate analyses on complete response, progression-free survival (PFS), and overall survival (OS) were performed using clinical factors and pre-treatment hematological parameters.</p><p><strong>Results: </strong>A total of 30 patients were included, with a median age of 57.5 years and a median follow-up of 21 months. Of these, 24 patients (80%) achieved CR. Disease progression occurred in 11 patients (36.7%) during the follow-up period, and 9 (30%) died. Kaplan-Meier analysis demonstrated that only the neutrophil-to-lymphocyte ratio (NLR) (<i>p</i> = 0.007) and basophil-to-lymphocyte ratio (BLR) (<i>p</i> = 0.05) were predictive of OS. Conversely, PFS was significantly associated with white blood cell count (<i>p</i> = 0.042) and BLR (<i>p</i> = 0.004). Receiver operating characteristic (ROC) analysis indicated that NLR and BLR had significant predictive power for survival at the following cutoffs: 3.4 and 0.035, respectively. When categorized by ROC values, BLR was significantly associated with response to treatment (<i>p</i> = 0.026). Moreover, both NLR and BLR were significantly associated with OS and PFS.</p><p><strong>Conclusion: </strong>Pre-treatment NLR and BLR may be useful predictive markers for clinical and radiological response, as well as for oncological outcomes in locally advanced vulvar cancer treated with definitive chemoradiation.</p>\",\"PeriodicalId\":73618,\"journal\":{\"name\":\"Journal of biological methods\",\"volume\":\"12 1\",\"pages\":\"e99010044\"},\"PeriodicalIF\":0.0000,\"publicationDate\":\"2024-12-18\",\"publicationTypes\":\"Journal Article\",\"fieldsOfStudy\":null,\"isOpenAccess\":false,\"openAccessPdf\":\"https://www.ncbi.nlm.nih.gov/pmc/articles/PMC11973051/pdf/\",\"citationCount\":\"0\",\"resultStr\":null,\"platform\":\"Semanticscholar\",\"paperid\":null,\"PeriodicalName\":\"Journal of biological methods\",\"FirstCategoryId\":\"1085\",\"ListUrlMain\":\"https://doi.org/10.14440/jbm.2025.0104\",\"RegionNum\":0,\"RegionCategory\":null,\"ArticlePicture\":[],\"TitleCN\":null,\"AbstractTextCN\":null,\"PMCID\":null,\"EPubDate\":\"2025/1/1 0:00:00\",\"PubModel\":\"eCollection\",\"JCR\":\"\",\"JCRName\":\"\",\"Score\":null,\"Total\":0}","platform":"Semanticscholar","paperid":null,"PeriodicalName":"Journal of biological methods","FirstCategoryId":"1085","ListUrlMain":"https://doi.org/10.14440/jbm.2025.0104","RegionNum":0,"RegionCategory":null,"ArticlePicture":[],"TitleCN":null,"AbstractTextCN":null,"PMCID":null,"EPubDate":"2025/1/1 0:00:00","PubModel":"eCollection","JCR":"","JCRName":"","Score":null,"Total":0}
引用次数: 0

摘要

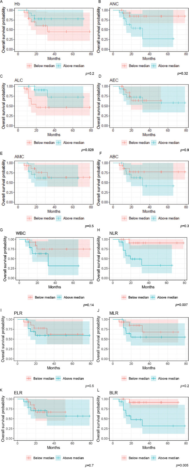
背景:致癌过程引发的全身炎症反应会诱导多种血液学生物标志物发生显著变化,影响其水平、功能以及在机体生理和病理过程中的整体作用:评估治疗前血液学参数在预测局部晚期外阴癌对明确化疗的临床和放射反应中的价值:我们回顾性地查阅了侯赛因国王癌症中心(King Hussein Cancer Center)因病理确诊为局部晚期外阴癌而接受明确化疗的患者的病历。如果化疗结束后12周内没有临床或放射学证实的残留疾病,则原发疾病的治疗反应被归类为完全反应(CR)。利用临床因素和治疗前血液学参数对完全反应、无进展生存期(PFS)和总生存期(OS)进行单变量分析:共纳入 30 名患者,中位年龄为 57.5 岁,中位随访时间为 21 个月。其中,24 名患者(80%)达到 CR。11名患者(36.7%)在随访期间病情恶化,9名患者(30%)死亡。卡普兰-梅耶尔分析显示,只有中性粒细胞与淋巴细胞比值(NLR)(p = 0.007)和嗜碱性粒细胞与淋巴细胞比值(BLR)(p = 0.05)可预测OS。相反,PFS 与白细胞计数(p = 0.042)和 BLR(p = 0.004)明显相关。接收者操作特征(ROC)分析表明,NLR 和 BLR 在以下临界值时对生存有明显的预测能力:分别为 3.4 和 0.035。根据 ROC 值分类,BLR 与治疗反应显著相关(p = 0.026)。此外,NLR和BLR均与OS和PFS显著相关:结论:治疗前NLR和BLR可能是局部晚期外阴癌明确化疗后临床和放射学反应以及肿瘤预后的有用预测指标。
本文章由计算机程序翻译,如有差异,请以英文原文为准。

Role of hematological biomarkers in predicting oncological outcomes of definitive chemoradiation in locally advanced vulvar carcinoma.

Role of hematological biomarkers in predicting oncological outcomes of definitive chemoradiation in locally advanced vulvar carcinoma.

Role of hematological biomarkers in predicting oncological outcomes of definitive chemoradiation in locally advanced vulvar carcinoma.

Role of hematological biomarkers in predicting oncological outcomes of definitive chemoradiation in locally advanced vulvar carcinoma.

Background: The systemic inflammatory response triggered by the carcinogenic process induces significant changes in a wide range of hematological biomarkers, impacting their levels, functions, and overall roles in the body's physiological and pathological processes.

Objective: To evaluate the value of pre-treatment hematological parameters in the prediction of clinical and radiological responses of locally advanced vulvar cancer to definitive chemoradiation.

Methods: We retrospectively reviewed the medical records of patients treated at the King Hussein Cancer Center receiving definitive chemoradiation for pathologically confirmed locally advanced vulvar carcinoma. Response of the primary disease to treatment was classified as complete response (CR) if there was no clinically- or radiologically-confirmed residual disease at 12 weeks after completion of chemoradiation. Univariate analyses on complete response, progression-free survival (PFS), and overall survival (OS) were performed using clinical factors and pre-treatment hematological parameters.

Results: A total of 30 patients were included, with a median age of 57.5 years and a median follow-up of 21 months. Of these, 24 patients (80%) achieved CR. Disease progression occurred in 11 patients (36.7%) during the follow-up period, and 9 (30%) died. Kaplan-Meier analysis demonstrated that only the neutrophil-to-lymphocyte ratio (NLR) (p = 0.007) and basophil-to-lymphocyte ratio (BLR) (p = 0.05) were predictive of OS. Conversely, PFS was significantly associated with white blood cell count (p = 0.042) and BLR (p = 0.004). Receiver operating characteristic (ROC) analysis indicated that NLR and BLR had significant predictive power for survival at the following cutoffs: 3.4 and 0.035, respectively. When categorized by ROC values, BLR was significantly associated with response to treatment (p = 0.026). Moreover, both NLR and BLR were significantly associated with OS and PFS.

Conclusion: Pre-treatment NLR and BLR may be useful predictive markers for clinical and radiological response, as well as for oncological outcomes in locally advanced vulvar cancer treated with definitive chemoradiation.

求助全文
通过发布文献求助,成功后即可免费获取论文全文。 去求助
来源期刊
自引率
0.00%
发文量
0
×
引用
GB/T 7714-2015
复制
MLA
复制
APA
复制
导出至
BibTeX EndNote RefMan NoteFirst NoteExpress
×
提示
您的信息不完整,为了账户安全,请先补充。
现在去补充
×
提示
您因"违规操作"
具体请查看互助需知
我知道了
×
提示
确定
请完成安全验证×
copy
已复制链接
快去分享给好友吧!
我知道了
右上角分享
点击右上角分享
0
联系我们:info@booksci.cn Book学术提供免费学术资源搜索服务,方便国内外学者检索中英文文献。致力于提供最便捷和优质的服务体验。 Copyright © 2023 布克学术 All rights reserved.
京ICP备2023020795号-1
ghs 京公网安备 11010802042870号
Book学术文献互助
Book学术文献互助群
群 号:604180095
Book学术官方微信