ICU原发性高血压患者甘油三酯-葡萄糖(TyG)指数与全因死亡率关系的回顾性研究

IF 3.9 2区 综合性期刊 Q1 MULTIDISCIPLINARY SCIENCES
Jiacheng Ding, Jingqian Li, Xinyu Cai, Kai Zhang, Shi Yu, Keyan Liu, Maoxun Huang
{"title":"ICU原发性高血压患者甘油三酯-葡萄糖(TyG)指数与全因死亡率关系的回顾性研究","authors":"Jiacheng Ding, Jingqian Li, Xinyu Cai, Kai Zhang, Shi Yu, Keyan Liu, Maoxun Huang","doi":"10.1038/s41598-025-96202-4","DOIUrl":null,"url":null,"abstract":"<p><p>Primary hypertension is the most common type of hypertension, with a complex and not fully understood pathogenesis. Insulin resistance (IR) is a metabolic abnormality that has been shown to be quite prevalent among patients with hypertension in existing literature. The triglyceride-glucose (TyG) index is a reliable indicator for assessing insulin resistance (IR). This study aims to evaluate the relationship between the TyG index at admission and all-cause mortality (ACM) in patients with severe primary hypertension, and to explore its role in predicting the future all-cause mortality risk in primary hypertension patients. This study employs a retrospective design to categorize all patients into four quartiles based on the TyG index. The Kaplan-Meier (K-M) method was utilized to estimate the survival curves for each group and to compare the survival outcomes across different quartiles. To assess the nonlinear relationship between the TyG index and prognosis, Cox proportional hazards regression models and restricted cubic splines (RCS) were applied, adjusting for potential confounders. Additionally, subgroup analyses were performed to conduct stratified analyses and interaction tests. Kaplan-Meier survival curve analysis showed that patients with higher TyG index levels had higher all-cause mortality rates at 30 days, 60 days, and 90 days post-admission. This indicates that a higher TyG index is associated with an increased risk of death in the short term. Additionally, multivariate Cox proportional hazards regression analysis revealed that an increased TyG index was significantly associated with all-cause mortality at 30 days, 60 days, and 90 days. Meanwhile, RCS analysis indicates that as the TyG index level increases, the hazard ratio (HR) shows a significant upward trend, suggesting a gradual increase in the risk of all-cause mortality. In summary, among patients with primary hypertension in the intensive care unit, elevated TyG levels are associated with an increased risk of short-term mortality.</p>","PeriodicalId":21811,"journal":{"name":"Scientific Reports","volume":"15 1","pages":"12071"},"PeriodicalIF":3.9000,"publicationDate":"2025-04-09","publicationTypes":"Journal Article","fieldsOfStudy":null,"isOpenAccess":false,"openAccessPdf":"https://www.ncbi.nlm.nih.gov/pmc/articles/PMC11978879/pdf/","citationCount":"0","resultStr":"{\"title\":\"The relationship between the triglyceride-glucose (TyG) index and all-cause mortality in ICU patients with primary hypertension: a retrospective study.\",\"authors\":\"Jiacheng Ding, Jingqian Li, Xinyu Cai, Kai Zhang, Shi Yu, Keyan Liu, Maoxun Huang\",\"doi\":\"10.1038/s41598-025-96202-4\",\"DOIUrl\":null,\"url\":null,\"abstract\":\"<p><p>Primary hypertension is the most common type of hypertension, with a complex and not fully understood pathogenesis. Insulin resistance (IR) is a metabolic abnormality that has been shown to be quite prevalent among patients with hypertension in existing literature. The triglyceride-glucose (TyG) index is a reliable indicator for assessing insulin resistance (IR). This study aims to evaluate the relationship between the TyG index at admission and all-cause mortality (ACM) in patients with severe primary hypertension, and to explore its role in predicting the future all-cause mortality risk in primary hypertension patients. This study employs a retrospective design to categorize all patients into four quartiles based on the TyG index. The Kaplan-Meier (K-M) method was utilized to estimate the survival curves for each group and to compare the survival outcomes across different quartiles. To assess the nonlinear relationship between the TyG index and prognosis, Cox proportional hazards regression models and restricted cubic splines (RCS) were applied, adjusting for potential confounders. Additionally, subgroup analyses were performed to conduct stratified analyses and interaction tests. Kaplan-Meier survival curve analysis showed that patients with higher TyG index levels had higher all-cause mortality rates at 30 days, 60 days, and 90 days post-admission. This indicates that a higher TyG index is associated with an increased risk of death in the short term. Additionally, multivariate Cox proportional hazards regression analysis revealed that an increased TyG index was significantly associated with all-cause mortality at 30 days, 60 days, and 90 days. Meanwhile, RCS analysis indicates that as the TyG index level increases, the hazard ratio (HR) shows a significant upward trend, suggesting a gradual increase in the risk of all-cause mortality. In summary, among patients with primary hypertension in the intensive care unit, elevated TyG levels are associated with an increased risk of short-term mortality.</p>\",\"PeriodicalId\":21811,\"journal\":{\"name\":\"Scientific Reports\",\"volume\":\"15 1\",\"pages\":\"12071\"},\"PeriodicalIF\":3.9000,\"publicationDate\":\"2025-04-09\",\"publicationTypes\":\"Journal Article\",\"fieldsOfStudy\":null,\"isOpenAccess\":false,\"openAccessPdf\":\"https://www.ncbi.nlm.nih.gov/pmc/articles/PMC11978879/pdf/\",\"citationCount\":\"0\",\"resultStr\":null,\"platform\":\"Semanticscholar\",\"paperid\":null,\"PeriodicalName\":\"Scientific Reports\",\"FirstCategoryId\":\"103\",\"ListUrlMain\":\"https://doi.org/10.1038/s41598-025-96202-4\",\"RegionNum\":2,\"RegionCategory\":\"综合性期刊\",\"ArticlePicture\":[],\"TitleCN\":null,\"AbstractTextCN\":null,\"PMCID\":null,\"EPubDate\":\"\",\"PubModel\":\"\",\"JCR\":\"Q1\",\"JCRName\":\"MULTIDISCIPLINARY SCIENCES\",\"Score\":null,\"Total\":0}","platform":"Semanticscholar","paperid":null,"PeriodicalName":"Scientific Reports","FirstCategoryId":"103","ListUrlMain":"https://doi.org/10.1038/s41598-025-96202-4","RegionNum":2,"RegionCategory":"综合性期刊","ArticlePicture":[],"TitleCN":null,"AbstractTextCN":null,"PMCID":null,"EPubDate":"","PubModel":"","JCR":"Q1","JCRName":"MULTIDISCIPLINARY SCIENCES","Score":null,"Total":0}
引用次数: 0

摘要

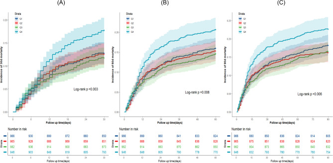
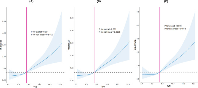
原发性高血压是最常见的高血压类型,其发病机制复杂且尚未完全了解。胰岛素抵抗(Insulin resistance, IR)是一种代谢异常,在现有文献中已被证明在高血压患者中相当普遍。甘油三酯-葡萄糖(TyG)指数是评估胰岛素抵抗(IR)的可靠指标。本研究旨在评价重症原发性高血压患者入院时TyG指数与全因死亡率(ACM)的关系,并探讨其在预测原发性高血压患者未来全因死亡率风险中的作用。本研究采用回顾性设计,根据TyG指数将所有患者分为4个四分位数。采用Kaplan-Meier (K-M)法估计各组的生存曲线,并比较不同四分位数的生存结果。为了评估TyG指数与预后之间的非线性关系,应用Cox比例风险回归模型和限制性三次样条(RCS),调整潜在混杂因素。此外,进行亚组分析,进行分层分析和相互作用检验。Kaplan-Meier生存曲线分析显示,TyG指数较高的患者在入院后30天、60天和90天的全因死亡率较高。这表明,较高的TyG指数与短期内死亡风险增加有关。此外,多变量Cox比例风险回归分析显示,TyG指数升高与30天、60天和90天的全因死亡率显著相关。同时,RCS分析显示,随着TyG指数水平的升高,风险比(HR)呈显著上升趋势,表明全因死亡风险逐渐增加。总之,在重症监护病房的原发性高血压患者中,TyG水平升高与短期死亡风险增加相关。
本文章由计算机程序翻译,如有差异,请以英文原文为准。

The relationship between the triglyceride-glucose (TyG) index and all-cause mortality in ICU patients with primary hypertension: a retrospective study.

The relationship between the triglyceride-glucose (TyG) index and all-cause mortality in ICU patients with primary hypertension: a retrospective study.

The relationship between the triglyceride-glucose (TyG) index and all-cause mortality in ICU patients with primary hypertension: a retrospective study.

The relationship between the triglyceride-glucose (TyG) index and all-cause mortality in ICU patients with primary hypertension: a retrospective study.

Primary hypertension is the most common type of hypertension, with a complex and not fully understood pathogenesis. Insulin resistance (IR) is a metabolic abnormality that has been shown to be quite prevalent among patients with hypertension in existing literature. The triglyceride-glucose (TyG) index is a reliable indicator for assessing insulin resistance (IR). This study aims to evaluate the relationship between the TyG index at admission and all-cause mortality (ACM) in patients with severe primary hypertension, and to explore its role in predicting the future all-cause mortality risk in primary hypertension patients. This study employs a retrospective design to categorize all patients into four quartiles based on the TyG index. The Kaplan-Meier (K-M) method was utilized to estimate the survival curves for each group and to compare the survival outcomes across different quartiles. To assess the nonlinear relationship between the TyG index and prognosis, Cox proportional hazards regression models and restricted cubic splines (RCS) were applied, adjusting for potential confounders. Additionally, subgroup analyses were performed to conduct stratified analyses and interaction tests. Kaplan-Meier survival curve analysis showed that patients with higher TyG index levels had higher all-cause mortality rates at 30 days, 60 days, and 90 days post-admission. This indicates that a higher TyG index is associated with an increased risk of death in the short term. Additionally, multivariate Cox proportional hazards regression analysis revealed that an increased TyG index was significantly associated with all-cause mortality at 30 days, 60 days, and 90 days. Meanwhile, RCS analysis indicates that as the TyG index level increases, the hazard ratio (HR) shows a significant upward trend, suggesting a gradual increase in the risk of all-cause mortality. In summary, among patients with primary hypertension in the intensive care unit, elevated TyG levels are associated with an increased risk of short-term mortality.

求助全文
通过发布文献求助,成功后即可免费获取论文全文。 去求助
来源期刊
Scientific Reports
Scientific Reports Natural Science Disciplines-
CiteScore
7.50
自引率
4.30%
发文量
19567
审稿时长
3.9 months
期刊介绍: We publish original research from all areas of the natural sciences, psychology, medicine and engineering. You can learn more about what we publish by browsing our specific scientific subject areas below or explore Scientific Reports by browsing all articles and collections. Scientific Reports has a 2-year impact factor: 4.380 (2021), and is the 6th most-cited journal in the world, with more than 540,000 citations in 2020 (Clarivate Analytics, 2021). •Engineering Engineering covers all aspects of engineering, technology, and applied science. It plays a crucial role in the development of technologies to address some of the world''s biggest challenges, helping to save lives and improve the way we live. •Physical sciences Physical sciences are those academic disciplines that aim to uncover the underlying laws of nature — often written in the language of mathematics. It is a collective term for areas of study including astronomy, chemistry, materials science and physics. •Earth and environmental sciences Earth and environmental sciences cover all aspects of Earth and planetary science and broadly encompass solid Earth processes, surface and atmospheric dynamics, Earth system history, climate and climate change, marine and freshwater systems, and ecology. It also considers the interactions between humans and these systems. •Biological sciences Biological sciences encompass all the divisions of natural sciences examining various aspects of vital processes. The concept includes anatomy, physiology, cell biology, biochemistry and biophysics, and covers all organisms from microorganisms, animals to plants. •Health sciences The health sciences study health, disease and healthcare. This field of study aims to develop knowledge, interventions and technology for use in healthcare to improve the treatment of patients.
×
引用
GB/T 7714-2015
复制
MLA
复制
APA
复制
导出至
BibTeX EndNote RefMan NoteFirst NoteExpress
×
提示
您的信息不完整,为了账户安全,请先补充。
现在去补充
×
提示
您因"违规操作"
具体请查看互助需知
我知道了
×
提示
确定
请完成安全验证×
copy
已复制链接
快去分享给好友吧!
我知道了
右上角分享
点击右上角分享
0
联系我们:info@booksci.cn Book学术提供免费学术资源搜索服务,方便国内外学者检索中英文文献。致力于提供最便捷和优质的服务体验。 Copyright © 2023 布克学术 All rights reserved.
京ICP备2023020795号-1
ghs 京公网安备 11010802042870号
Book学术文献互助
Book学术文献互助群
群 号:604180095
Book学术官方微信