不同种植方式对多年生栽培草地根际土壤理化性质、代谢物及微生物群落结构的影响

IF 3.9 2区 综合性期刊 Q1 MULTIDISCIPLINARY SCIENCES
Xiaofang Zhang, Chunping Zhang, Yuzhen Liu, Lian Huo, Zengzeng Yang, Yongshang Tong, Xue Zhang, Zehang Yu, Xiaoxia Yang, Quan Cao, Quanmin Dong
{"title":"不同种植方式对多年生栽培草地根际土壤理化性质、代谢物及微生物群落结构的影响","authors":"Xiaofang Zhang, Chunping Zhang, Yuzhen Liu, Lian Huo, Zengzeng Yang, Yongshang Tong, Xue Zhang, Zehang Yu, Xiaoxia Yang, Quan Cao, Quanmin Dong","doi":"10.1038/s41598-025-94366-7","DOIUrl":null,"url":null,"abstract":"<p><p>Establishing perennial cultivated grasslands on the Qinghai-Tibet Plateau helps address the seasonal imbalance of forage resources and supports the restoration of degraded grasslands. The most common planting patterns-monocropping and mixed cropping-are well-studied in terms of vegetation structure, productivity, and soil nutrients. Despite their significance, the influence of prolonged planting practices on underground soil microbial communities and metabolites has often been neglected. In this study, two characteristic plants, Festuca sinensis 'Qinghai' and Poa pratensis 'Qinghai', from the area around Qinghai Lake were selected as the experimental subjects by employing 16 S and ITS sequencing methods in conjunction with non-targeted metabolomics analysis. The effects of planting patterns (monocropping and mixed cropping) on rhizosphere soil characteristics, metabolites and microbial community structure were examined. The results showed that compared with monocropping, mixed cropping significantly increased the contents of soil nutrients and key metabolites. In addition, it had a greater impact on fungal diversity than bacterial diversity, particularly in terms of β-diversity. While microbial α-diversity and dominant phyla remained stable, soil fungi were more responsive to changes in soil properties and metabolites. These results show that the new niche differentiation between different species in mixed grassland stimulates the secretion of trehalose and valine, which further affects the fungal community structure and enhances the soil nutrients and ecological functions of degraded grasslands. These findings will guide the restoration of degraded grasslands around Qinghai Lake and the selection of planting strategies to improve local sustainable grassland productivity.</p>","PeriodicalId":21811,"journal":{"name":"Scientific Reports","volume":"15 1","pages":"12047"},"PeriodicalIF":3.9000,"publicationDate":"2025-04-08","publicationTypes":"Journal Article","fieldsOfStudy":null,"isOpenAccess":false,"openAccessPdf":"https://www.ncbi.nlm.nih.gov/pmc/articles/PMC11978768/pdf/","citationCount":"0","resultStr":"{\"title\":\"Effects of planting patterns on physicochemical properties, metabolites and microbial community structure of rhizosphere soil in perennial cultivated grassland.\",\"authors\":\"Xiaofang Zhang, Chunping Zhang, Yuzhen Liu, Lian Huo, Zengzeng Yang, Yongshang Tong, Xue Zhang, Zehang Yu, Xiaoxia Yang, Quan Cao, Quanmin Dong\",\"doi\":\"10.1038/s41598-025-94366-7\",\"DOIUrl\":null,\"url\":null,\"abstract\":\"<p><p>Establishing perennial cultivated grasslands on the Qinghai-Tibet Plateau helps address the seasonal imbalance of forage resources and supports the restoration of degraded grasslands. The most common planting patterns-monocropping and mixed cropping-are well-studied in terms of vegetation structure, productivity, and soil nutrients. Despite their significance, the influence of prolonged planting practices on underground soil microbial communities and metabolites has often been neglected. In this study, two characteristic plants, Festuca sinensis 'Qinghai' and Poa pratensis 'Qinghai', from the area around Qinghai Lake were selected as the experimental subjects by employing 16 S and ITS sequencing methods in conjunction with non-targeted metabolomics analysis. The effects of planting patterns (monocropping and mixed cropping) on rhizosphere soil characteristics, metabolites and microbial community structure were examined. The results showed that compared with monocropping, mixed cropping significantly increased the contents of soil nutrients and key metabolites. In addition, it had a greater impact on fungal diversity than bacterial diversity, particularly in terms of β-diversity. While microbial α-diversity and dominant phyla remained stable, soil fungi were more responsive to changes in soil properties and metabolites. These results show that the new niche differentiation between different species in mixed grassland stimulates the secretion of trehalose and valine, which further affects the fungal community structure and enhances the soil nutrients and ecological functions of degraded grasslands. These findings will guide the restoration of degraded grasslands around Qinghai Lake and the selection of planting strategies to improve local sustainable grassland productivity.</p>\",\"PeriodicalId\":21811,\"journal\":{\"name\":\"Scientific Reports\",\"volume\":\"15 1\",\"pages\":\"12047\"},\"PeriodicalIF\":3.9000,\"publicationDate\":\"2025-04-08\",\"publicationTypes\":\"Journal Article\",\"fieldsOfStudy\":null,\"isOpenAccess\":false,\"openAccessPdf\":\"https://www.ncbi.nlm.nih.gov/pmc/articles/PMC11978768/pdf/\",\"citationCount\":\"0\",\"resultStr\":null,\"platform\":\"Semanticscholar\",\"paperid\":null,\"PeriodicalName\":\"Scientific Reports\",\"FirstCategoryId\":\"103\",\"ListUrlMain\":\"https://doi.org/10.1038/s41598-025-94366-7\",\"RegionNum\":2,\"RegionCategory\":\"综合性期刊\",\"ArticlePicture\":[],\"TitleCN\":null,\"AbstractTextCN\":null,\"PMCID\":null,\"EPubDate\":\"\",\"PubModel\":\"\",\"JCR\":\"Q1\",\"JCRName\":\"MULTIDISCIPLINARY SCIENCES\",\"Score\":null,\"Total\":0}","platform":"Semanticscholar","paperid":null,"PeriodicalName":"Scientific Reports","FirstCategoryId":"103","ListUrlMain":"https://doi.org/10.1038/s41598-025-94366-7","RegionNum":2,"RegionCategory":"综合性期刊","ArticlePicture":[],"TitleCN":null,"AbstractTextCN":null,"PMCID":null,"EPubDate":"","PubModel":"","JCR":"Q1","JCRName":"MULTIDISCIPLINARY SCIENCES","Score":null,"Total":0}
引用次数: 0

摘要

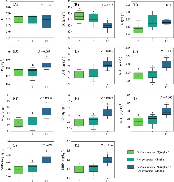
在青藏高原建立多年生草地有助于解决牧草资源的季节不平衡问题,支持退化草地的恢复。最常见的种植模式——单作和混作——在植被结构、生产力和土壤养分方面得到了很好的研究。尽管具有重要意义,但长期种植对地下土壤微生物群落和代谢物的影响往往被忽视。本研究以青海湖周边地区的两种特色植物羊茅(Festuca sinensis’Qinghai)和草芥(Poa pratensis’Qinghai)为研究对象,采用16s和ITS测序方法,结合非靶向代谢组学分析。研究了不同种植模式(单作和混作)对根际土壤特征、代谢物和微生物群落结构的影响。结果表明,与单作相比,混作显著提高了土壤养分和关键代谢物含量。此外,它对真菌多样性的影响大于细菌多样性,特别是在β-多样性方面。在微生物α-多样性和优势门保持稳定的情况下,土壤真菌对土壤性质和代谢产物的变化更敏感。这些结果表明,混合草地不同物种间新的生态位分化刺激海藻糖和缬氨酸的分泌,进而影响真菌群落结构,增强退化草地土壤养分和生态功能。这些研究结果将指导环青海湖退化草地的恢复和种植策略的选择,以提高当地草地的可持续生产力。
本文章由计算机程序翻译,如有差异,请以英文原文为准。

Effects of planting patterns on physicochemical properties, metabolites and microbial community structure of rhizosphere soil in perennial cultivated grassland.

Effects of planting patterns on physicochemical properties, metabolites and microbial community structure of rhizosphere soil in perennial cultivated grassland.

Effects of planting patterns on physicochemical properties, metabolites and microbial community structure of rhizosphere soil in perennial cultivated grassland.

Effects of planting patterns on physicochemical properties, metabolites and microbial community structure of rhizosphere soil in perennial cultivated grassland.

Establishing perennial cultivated grasslands on the Qinghai-Tibet Plateau helps address the seasonal imbalance of forage resources and supports the restoration of degraded grasslands. The most common planting patterns-monocropping and mixed cropping-are well-studied in terms of vegetation structure, productivity, and soil nutrients. Despite their significance, the influence of prolonged planting practices on underground soil microbial communities and metabolites has often been neglected. In this study, two characteristic plants, Festuca sinensis 'Qinghai' and Poa pratensis 'Qinghai', from the area around Qinghai Lake were selected as the experimental subjects by employing 16 S and ITS sequencing methods in conjunction with non-targeted metabolomics analysis. The effects of planting patterns (monocropping and mixed cropping) on rhizosphere soil characteristics, metabolites and microbial community structure were examined. The results showed that compared with monocropping, mixed cropping significantly increased the contents of soil nutrients and key metabolites. In addition, it had a greater impact on fungal diversity than bacterial diversity, particularly in terms of β-diversity. While microbial α-diversity and dominant phyla remained stable, soil fungi were more responsive to changes in soil properties and metabolites. These results show that the new niche differentiation between different species in mixed grassland stimulates the secretion of trehalose and valine, which further affects the fungal community structure and enhances the soil nutrients and ecological functions of degraded grasslands. These findings will guide the restoration of degraded grasslands around Qinghai Lake and the selection of planting strategies to improve local sustainable grassland productivity.

求助全文
通过发布文献求助,成功后即可免费获取论文全文。 去求助
来源期刊
Scientific Reports
Scientific Reports Natural Science Disciplines-
CiteScore
7.50
自引率
4.30%
发文量
19567
审稿时长
3.9 months
期刊介绍: We publish original research from all areas of the natural sciences, psychology, medicine and engineering. You can learn more about what we publish by browsing our specific scientific subject areas below or explore Scientific Reports by browsing all articles and collections. Scientific Reports has a 2-year impact factor: 4.380 (2021), and is the 6th most-cited journal in the world, with more than 540,000 citations in 2020 (Clarivate Analytics, 2021). •Engineering Engineering covers all aspects of engineering, technology, and applied science. It plays a crucial role in the development of technologies to address some of the world''s biggest challenges, helping to save lives and improve the way we live. •Physical sciences Physical sciences are those academic disciplines that aim to uncover the underlying laws of nature — often written in the language of mathematics. It is a collective term for areas of study including astronomy, chemistry, materials science and physics. •Earth and environmental sciences Earth and environmental sciences cover all aspects of Earth and planetary science and broadly encompass solid Earth processes, surface and atmospheric dynamics, Earth system history, climate and climate change, marine and freshwater systems, and ecology. It also considers the interactions between humans and these systems. •Biological sciences Biological sciences encompass all the divisions of natural sciences examining various aspects of vital processes. The concept includes anatomy, physiology, cell biology, biochemistry and biophysics, and covers all organisms from microorganisms, animals to plants. •Health sciences The health sciences study health, disease and healthcare. This field of study aims to develop knowledge, interventions and technology for use in healthcare to improve the treatment of patients.
×
引用
GB/T 7714-2015
复制
MLA
复制
APA
复制
导出至
BibTeX EndNote RefMan NoteFirst NoteExpress
×
提示
您的信息不完整,为了账户安全,请先补充。
现在去补充
×
提示
您因"违规操作"
具体请查看互助需知
我知道了
×
提示
确定
请完成安全验证×
copy
已复制链接
快去分享给好友吧!
我知道了
右上角分享
点击右上角分享
0
联系我们:info@booksci.cn Book学术提供免费学术资源搜索服务,方便国内外学者检索中英文文献。致力于提供最便捷和优质的服务体验。 Copyright © 2023 布克学术 All rights reserved.
京ICP备2023020795号-1
ghs 京公网安备 11010802042870号
Book学术文献互助
Book学术文献互助群
群 号:604180095
Book学术官方微信