生物质可持续氢:它对欧洲去化石化目标的潜在贡献是什么?

IF 5.3 3区 工程技术 Q2 ENERGY & FUELS
Energy & Fuels Pub Date : 2025-03-19 eCollection Date: 2025-04-03 DOI:10.1021/acs.energyfuels.4c05085
Alessio Riorda, Viviana Negro, Antonio Marco Pantaleo, Francesco Matteucci, Nilay Shah, David Chiaramonti
{"title":"生物质可持续氢:它对欧洲去化石化目标的潜在贡献是什么?","authors":"Alessio Riorda, Viviana Negro, Antonio Marco Pantaleo, Francesco Matteucci, Nilay Shah, David Chiaramonti","doi":"10.1021/acs.energyfuels.4c05085","DOIUrl":null,"url":null,"abstract":"<p><p>This study investigates the potential role of hydrogen production from biomass in the EU hydrogen objectives. With the EU aiming to produce 10 million tons of renewable hydrogen by 2030 and significantly scaling this production by 2050, diverse hydrogen production pathways must be explored. Our research focuses on assessing whether biomass-derived hydrogen can serve as a viable and substantial component of the hydrogen production mix alongside and complementing established methods such as electrolysis powered by renewable electricity. Through a comprehensive literature review, the main hydrogen production pathways from biomass have been assessed, including thermochemical and biological methods, with an emphasis on hydrogen yield, production costs, and technology readiness levels (TRLs). The work also considers the availability of biomass resources and potential production scenarios for 2030 and 2050. Our findings suggest that biomass-derived hydrogen can meaningfully contribute to the defossilization of the hydrogen sector, particularly in the midterm scenario for 2030. The analysis suggests that biomass has the potential to contribute a substantial share of the EU's 2030 hydrogen target, ranging from under 0.1 Mt to over 16 Mt per year. Biomass-derived hydrogen offers additional flexibility and security of supply in the transition to a sustainable hydrogen economy, other than the possibility to benefit from negative emissions in some cases and added value from the coproduction of defossilized materials and chemicals, relying on domestic resources available in Europe.</p>","PeriodicalId":35,"journal":{"name":"Energy & Fuels","volume":"39 13","pages":"6412-6425"},"PeriodicalIF":5.3000,"publicationDate":"2025-03-19","publicationTypes":"Journal Article","fieldsOfStudy":null,"isOpenAccess":false,"openAccessPdf":"https://www.ncbi.nlm.nih.gov/pmc/articles/PMC11973970/pdf/","citationCount":"0","resultStr":"{\"title\":\"Sustainable Hydrogen from Biomass: What Is Its Potential Contribution to the European Defossilization Targets?\",\"authors\":\"Alessio Riorda, Viviana Negro, Antonio Marco Pantaleo, Francesco Matteucci, Nilay Shah, David Chiaramonti\",\"doi\":\"10.1021/acs.energyfuels.4c05085\",\"DOIUrl\":null,\"url\":null,\"abstract\":\"<p><p>This study investigates the potential role of hydrogen production from biomass in the EU hydrogen objectives. With the EU aiming to produce 10 million tons of renewable hydrogen by 2030 and significantly scaling this production by 2050, diverse hydrogen production pathways must be explored. Our research focuses on assessing whether biomass-derived hydrogen can serve as a viable and substantial component of the hydrogen production mix alongside and complementing established methods such as electrolysis powered by renewable electricity. Through a comprehensive literature review, the main hydrogen production pathways from biomass have been assessed, including thermochemical and biological methods, with an emphasis on hydrogen yield, production costs, and technology readiness levels (TRLs). The work also considers the availability of biomass resources and potential production scenarios for 2030 and 2050. Our findings suggest that biomass-derived hydrogen can meaningfully contribute to the defossilization of the hydrogen sector, particularly in the midterm scenario for 2030. The analysis suggests that biomass has the potential to contribute a substantial share of the EU's 2030 hydrogen target, ranging from under 0.1 Mt to over 16 Mt per year. Biomass-derived hydrogen offers additional flexibility and security of supply in the transition to a sustainable hydrogen economy, other than the possibility to benefit from negative emissions in some cases and added value from the coproduction of defossilized materials and chemicals, relying on domestic resources available in Europe.</p>\",\"PeriodicalId\":35,\"journal\":{\"name\":\"Energy & Fuels\",\"volume\":\"39 13\",\"pages\":\"6412-6425\"},\"PeriodicalIF\":5.3000,\"publicationDate\":\"2025-03-19\",\"publicationTypes\":\"Journal Article\",\"fieldsOfStudy\":null,\"isOpenAccess\":false,\"openAccessPdf\":\"https://www.ncbi.nlm.nih.gov/pmc/articles/PMC11973970/pdf/\",\"citationCount\":\"0\",\"resultStr\":null,\"platform\":\"Semanticscholar\",\"paperid\":null,\"PeriodicalName\":\"Energy & Fuels\",\"FirstCategoryId\":\"5\",\"ListUrlMain\":\"https://doi.org/10.1021/acs.energyfuels.4c05085\",\"RegionNum\":3,\"RegionCategory\":\"工程技术\",\"ArticlePicture\":[],\"TitleCN\":null,\"AbstractTextCN\":null,\"PMCID\":null,\"EPubDate\":\"2025/4/3 0:00:00\",\"PubModel\":\"eCollection\",\"JCR\":\"Q2\",\"JCRName\":\"ENERGY & FUELS\",\"Score\":null,\"Total\":0}","platform":"Semanticscholar","paperid":null,"PeriodicalName":"Energy & Fuels","FirstCategoryId":"5","ListUrlMain":"https://doi.org/10.1021/acs.energyfuels.4c05085","RegionNum":3,"RegionCategory":"工程技术","ArticlePicture":[],"TitleCN":null,"AbstractTextCN":null,"PMCID":null,"EPubDate":"2025/4/3 0:00:00","PubModel":"eCollection","JCR":"Q2","JCRName":"ENERGY & FUELS","Score":null,"Total":0}
引用次数: 0

摘要

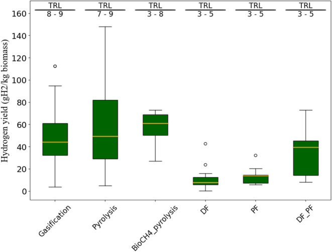
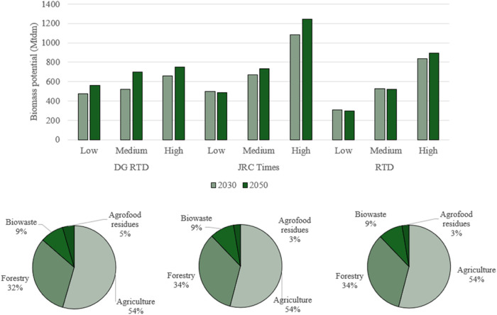
本研究探讨了生物质制氢在欧盟氢目标中的潜在作用。欧盟的目标是到2030年生产1000万吨可再生氢,并到2050年大幅扩大这一产量,因此必须探索多样化的氢生产途径。我们的研究重点是评估生物质衍生氢气是否可以作为氢气生产组合的可行和重要组成部分,并补充现有的方法,如由可再生电力供电的电解。通过全面的文献综述,评估了生物质制氢的主要途径,包括热化学和生物方法,重点是氢产量、生产成本和技术准备水平(trl)。该工作还考虑了2030年和2050年生物质资源的可用性和潜在生产情景。我们的研究结果表明,生物质衍生氢可以为氢行业的去化石化做出有意义的贡献,特别是在2030年的中期情景中。分析表明,生物质能有潜力为欧盟2030年的氢目标贡献相当大的份额,从每年不到10万吨到超过1600万吨不等。在向可持续氢经济过渡的过程中,生物质衍生氢提供了额外的灵活性和供应安全性,除了在某些情况下可能从负排放中受益,以及依靠欧洲现有的国内资源,从联合生产脱化石材料和化学品中获得附加值之外。
本文章由计算机程序翻译,如有差异,请以英文原文为准。

Sustainable Hydrogen from Biomass: What Is Its Potential Contribution to the European Defossilization Targets?

Sustainable Hydrogen from Biomass: What Is Its Potential Contribution to the European Defossilization Targets?

Sustainable Hydrogen from Biomass: What Is Its Potential Contribution to the European Defossilization Targets?

Sustainable Hydrogen from Biomass: What Is Its Potential Contribution to the European Defossilization Targets?

This study investigates the potential role of hydrogen production from biomass in the EU hydrogen objectives. With the EU aiming to produce 10 million tons of renewable hydrogen by 2030 and significantly scaling this production by 2050, diverse hydrogen production pathways must be explored. Our research focuses on assessing whether biomass-derived hydrogen can serve as a viable and substantial component of the hydrogen production mix alongside and complementing established methods such as electrolysis powered by renewable electricity. Through a comprehensive literature review, the main hydrogen production pathways from biomass have been assessed, including thermochemical and biological methods, with an emphasis on hydrogen yield, production costs, and technology readiness levels (TRLs). The work also considers the availability of biomass resources and potential production scenarios for 2030 and 2050. Our findings suggest that biomass-derived hydrogen can meaningfully contribute to the defossilization of the hydrogen sector, particularly in the midterm scenario for 2030. The analysis suggests that biomass has the potential to contribute a substantial share of the EU's 2030 hydrogen target, ranging from under 0.1 Mt to over 16 Mt per year. Biomass-derived hydrogen offers additional flexibility and security of supply in the transition to a sustainable hydrogen economy, other than the possibility to benefit from negative emissions in some cases and added value from the coproduction of defossilized materials and chemicals, relying on domestic resources available in Europe.

求助全文
通过发布文献求助,成功后即可免费获取论文全文。 去求助
来源期刊
Energy & Fuels
Energy & Fuels 工程技术-工程:化工
CiteScore
9.20
自引率
13.20%
发文量
1101
审稿时长
2.1 months
期刊介绍: Energy & Fuels publishes reports of research in the technical area defined by the intersection of the disciplines of chemistry and chemical engineering and the application domain of non-nuclear energy and fuels. This includes research directed at the formation of, exploration for, and production of fossil fuels and biomass; the properties and structure or molecular composition of both raw fuels and refined products; the chemistry involved in the processing and utilization of fuels; fuel cells and their applications; and the analytical and instrumental techniques used in investigations of the foregoing areas.
×
引用
GB/T 7714-2015
复制
MLA
复制
APA
复制
导出至
BibTeX EndNote RefMan NoteFirst NoteExpress
×
提示
您的信息不完整,为了账户安全,请先补充。
现在去补充
×
提示
您因"违规操作"
具体请查看互助需知
我知道了
×
提示
确定
请完成安全验证×
copy
已复制链接
快去分享给好友吧!
我知道了
右上角分享
点击右上角分享
0
联系我们:info@booksci.cn Book学术提供免费学术资源搜索服务,方便国内外学者检索中英文文献。致力于提供最便捷和优质的服务体验。 Copyright © 2023 布克学术 All rights reserved.
京ICP备2023020795号-1
ghs 京公网安备 11010802042870号
Book学术文献互助
Book学术文献互助群
群 号:604180095
Book学术官方微信