有和没有视频支持的单次干预,以防止SARS-CoV-2大流行期间医护人员情绪困扰的恶化:一项随机临床试验。

IF 4.9 0 PSYCHIATRY
Giovanni Abrahão Salum, Lucas Spanemberg, Marianna de Abreu Costa, André Rafael Simioni, Natan Pereira Gosmann, Livia Hartmann de Souza, Pim Cuijpers, Daniel Samuel Pine, Andre Russowsky Brunoni, Natan Katz, Roberto Nunes Umpierre, Christian Haag Kristensen, Gisele Gus Manfro, Marcelo Pio Fleck, Carolina Blaya Dreher
{"title":"有和没有视频支持的单次干预,以防止SARS-CoV-2大流行期间医护人员情绪困扰的恶化:一项随机临床试验。","authors":"Giovanni Abrahão Salum, Lucas Spanemberg, Marianna de Abreu Costa, André Rafael Simioni, Natan Pereira Gosmann, Livia Hartmann de Souza, Pim Cuijpers, Daniel Samuel Pine, Andre Russowsky Brunoni, Natan Katz, Roberto Nunes Umpierre, Christian Haag Kristensen, Gisele Gus Manfro, Marcelo Pio Fleck, Carolina Blaya Dreher","doi":"10.1136/bmjment-2024-301416","DOIUrl":null,"url":null,"abstract":"<p><strong>Background: </strong>The SARS-CoV-2 pandemic was a major stressful event that significantly affected healthcare providers.</p><p><strong>Objective: </strong>To evaluate the efficacy of a single-session intervention (SSI), with and without weekly personalised prerecorded videos, in preventing emotional distress worsening.</p><p><strong>Methods: </strong>Nationwide randomised clinical trial conducted in Brazil from 19 May 2020 to 31 December 2021. We included healthcare professionals with anxiety, depression or irritability scores below a T-score of 70, measured by the Patient-Reported Outcomes Measurement Information System. Participants were randomised to SSI or SSI plus weekly personalised prerecorded videos for 4 weeks (SSI-ET). The primary outcome was the proportion of participants with a significant escalation of symptoms (ie, T-score above 70).</p><p><strong>Findings: </strong>From 3328 assessed for eligibility, 1112 participants were randomised (SSI=549; SSI-ET=563). The cumulative proportion of incident cases at 6 months was 17.5% (95% CI: 13.1% to 21.6%) for SSI and 15% (95% CI: 10.9% to 18.8%) for SSI-ET, with no difference between groups (HR=0.81, 95% CI: 0.83 to 1.79). Both groups showed significant symptom reductions at 1 month follow-up, maintained at 3 and 6 months (Cohen's d=0.68-1.08).</p><p><strong>Conclusions: </strong>Adding asynchronous videos to SSI provided no additional benefit. While symptom improvements occurred over time, the lack of a control group limits conclusions about intervention efficacy.</p><p><strong>Clinical implications: </strong>Given its simplicity and scalability, the synchronous component, which includes core mental health support elements, such as active listening, validation, and empathic care, may represent a feasible way to assist healthcare professionals in crisis settings, even though further research is needed to determine its specific impact.</p><p><strong>Trial registration number: </strong>NCT04632082.</p>","PeriodicalId":72434,"journal":{"name":"BMJ mental health","volume":"28 1","pages":""},"PeriodicalIF":4.9000,"publicationDate":"2025-04-07","publicationTypes":"Journal Article","fieldsOfStudy":null,"isOpenAccess":false,"openAccessPdf":"https://www.ncbi.nlm.nih.gov/pmc/articles/PMC11977485/pdf/","citationCount":"0","resultStr":"{\"title\":\"Single-session intervention with and without video support to prevent the worsening of emotional distress among healthcare workers during the SARS-CoV-2 pandemic: a randomised clinical trial.\",\"authors\":\"Giovanni Abrahão Salum, Lucas Spanemberg, Marianna de Abreu Costa, André Rafael Simioni, Natan Pereira Gosmann, Livia Hartmann de Souza, Pim Cuijpers, Daniel Samuel Pine, Andre Russowsky Brunoni, Natan Katz, Roberto Nunes Umpierre, Christian Haag Kristensen, Gisele Gus Manfro, Marcelo Pio Fleck, Carolina Blaya Dreher\",\"doi\":\"10.1136/bmjment-2024-301416\",\"DOIUrl\":null,\"url\":null,\"abstract\":\"<p><strong>Background: </strong>The SARS-CoV-2 pandemic was a major stressful event that significantly affected healthcare providers.</p><p><strong>Objective: </strong>To evaluate the efficacy of a single-session intervention (SSI), with and without weekly personalised prerecorded videos, in preventing emotional distress worsening.</p><p><strong>Methods: </strong>Nationwide randomised clinical trial conducted in Brazil from 19 May 2020 to 31 December 2021. We included healthcare professionals with anxiety, depression or irritability scores below a T-score of 70, measured by the Patient-Reported Outcomes Measurement Information System. Participants were randomised to SSI or SSI plus weekly personalised prerecorded videos for 4 weeks (SSI-ET). The primary outcome was the proportion of participants with a significant escalation of symptoms (ie, T-score above 70).</p><p><strong>Findings: </strong>From 3328 assessed for eligibility, 1112 participants were randomised (SSI=549; SSI-ET=563). The cumulative proportion of incident cases at 6 months was 17.5% (95% CI: 13.1% to 21.6%) for SSI and 15% (95% CI: 10.9% to 18.8%) for SSI-ET, with no difference between groups (HR=0.81, 95% CI: 0.83 to 1.79). Both groups showed significant symptom reductions at 1 month follow-up, maintained at 3 and 6 months (Cohen's d=0.68-1.08).</p><p><strong>Conclusions: </strong>Adding asynchronous videos to SSI provided no additional benefit. While symptom improvements occurred over time, the lack of a control group limits conclusions about intervention efficacy.</p><p><strong>Clinical implications: </strong>Given its simplicity and scalability, the synchronous component, which includes core mental health support elements, such as active listening, validation, and empathic care, may represent a feasible way to assist healthcare professionals in crisis settings, even though further research is needed to determine its specific impact.</p><p><strong>Trial registration number: </strong>NCT04632082.</p>\",\"PeriodicalId\":72434,\"journal\":{\"name\":\"BMJ mental health\",\"volume\":\"28 1\",\"pages\":\"\"},\"PeriodicalIF\":4.9000,\"publicationDate\":\"2025-04-07\",\"publicationTypes\":\"Journal Article\",\"fieldsOfStudy\":null,\"isOpenAccess\":false,\"openAccessPdf\":\"https://www.ncbi.nlm.nih.gov/pmc/articles/PMC11977485/pdf/\",\"citationCount\":\"0\",\"resultStr\":null,\"platform\":\"Semanticscholar\",\"paperid\":null,\"PeriodicalName\":\"BMJ mental health\",\"FirstCategoryId\":\"1085\",\"ListUrlMain\":\"https://doi.org/10.1136/bmjment-2024-301416\",\"RegionNum\":0,\"RegionCategory\":null,\"ArticlePicture\":[],\"TitleCN\":null,\"AbstractTextCN\":null,\"PMCID\":null,\"EPubDate\":\"\",\"PubModel\":\"\",\"JCR\":\"0\",\"JCRName\":\"PSYCHIATRY\",\"Score\":null,\"Total\":0}","platform":"Semanticscholar","paperid":null,"PeriodicalName":"BMJ mental health","FirstCategoryId":"1085","ListUrlMain":"https://doi.org/10.1136/bmjment-2024-301416","RegionNum":0,"RegionCategory":null,"ArticlePicture":[],"TitleCN":null,"AbstractTextCN":null,"PMCID":null,"EPubDate":"","PubModel":"","JCR":"0","JCRName":"PSYCHIATRY","Score":null,"Total":0}
引用次数: 0

摘要

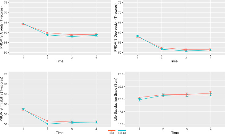
背景:SARS-CoV-2大流行是一个重大的压力事件,对医疗保健提供者产生了重大影响。目的:评估单次干预(SSI)在预防情绪困扰恶化方面的效果,有无每周个性化预先录制的视频。方法:2020年5月19日至2021年12月31日在巴西进行的全国随机临床试验。我们纳入了焦虑、抑郁或易怒得分低于70分的医疗保健专业人员,这些得分由患者报告的结果测量信息系统测量。参与者被随机分配到SSI或SSI加上每周个性化预先录制的视频,为期4周(si - et)。主要结局是症状显著升级(即t评分高于70)的参与者比例。研究结果:从3328名评估资格的参与者中,随机分配了1112名参与者(SSI=549;SSI-ET = 563)。6个月时SSI的累计发生率为17.5% (95% CI: 13.1%至21.6%),SSI- et的累计发生率为15% (95% CI: 10.9%至18.8%),两组间无差异(HR=0.81, 95% CI: 0.83至1.79)。两组在随访1个月时症状均明显减轻,并在随访3个月和6个月时维持(Cohen’s d=0.68-1.08)。结论:向SSI添加异步视频没有提供额外的好处。虽然随着时间的推移,症状有所改善,但缺乏对照组限制了对干预效果的结论。临床意义:考虑到其简单性和可扩展性,同步组件,包括核心心理健康支持元素,如积极倾听、验证和移情护理,可能是一种可行的方法,可以帮助危机环境中的医疗保健专业人员,尽管需要进一步的研究来确定其具体影响。试验注册号:NCT04632082。
本文章由计算机程序翻译,如有差异,请以英文原文为准。

Single-session intervention with and without video support to prevent the worsening of emotional distress among healthcare workers during the SARS-CoV-2 pandemic: a randomised clinical trial.

Single-session intervention with and without video support to prevent the worsening of emotional distress among healthcare workers during the SARS-CoV-2 pandemic: a randomised clinical trial.

Single-session intervention with and without video support to prevent the worsening of emotional distress among healthcare workers during the SARS-CoV-2 pandemic: a randomised clinical trial.

Single-session intervention with and without video support to prevent the worsening of emotional distress among healthcare workers during the SARS-CoV-2 pandemic: a randomised clinical trial.

Background: The SARS-CoV-2 pandemic was a major stressful event that significantly affected healthcare providers.

Objective: To evaluate the efficacy of a single-session intervention (SSI), with and without weekly personalised prerecorded videos, in preventing emotional distress worsening.

Methods: Nationwide randomised clinical trial conducted in Brazil from 19 May 2020 to 31 December 2021. We included healthcare professionals with anxiety, depression or irritability scores below a T-score of 70, measured by the Patient-Reported Outcomes Measurement Information System. Participants were randomised to SSI or SSI plus weekly personalised prerecorded videos for 4 weeks (SSI-ET). The primary outcome was the proportion of participants with a significant escalation of symptoms (ie, T-score above 70).

Findings: From 3328 assessed for eligibility, 1112 participants were randomised (SSI=549; SSI-ET=563). The cumulative proportion of incident cases at 6 months was 17.5% (95% CI: 13.1% to 21.6%) for SSI and 15% (95% CI: 10.9% to 18.8%) for SSI-ET, with no difference between groups (HR=0.81, 95% CI: 0.83 to 1.79). Both groups showed significant symptom reductions at 1 month follow-up, maintained at 3 and 6 months (Cohen's d=0.68-1.08).

Conclusions: Adding asynchronous videos to SSI provided no additional benefit. While symptom improvements occurred over time, the lack of a control group limits conclusions about intervention efficacy.

Clinical implications: Given its simplicity and scalability, the synchronous component, which includes core mental health support elements, such as active listening, validation, and empathic care, may represent a feasible way to assist healthcare professionals in crisis settings, even though further research is needed to determine its specific impact.

Trial registration number: NCT04632082.

求助全文
通过发布文献求助,成功后即可免费获取论文全文。 去求助
来源期刊
CiteScore
6.80
自引率
0.00%
发文量
0
×
引用
GB/T 7714-2015
复制
MLA
复制
APA
复制
导出至
BibTeX EndNote RefMan NoteFirst NoteExpress
×
提示
您的信息不完整,为了账户安全,请先补充。
现在去补充
×
提示
您因"违规操作"
具体请查看互助需知
我知道了
×
提示
确定
请完成安全验证×
copy
已复制链接
快去分享给好友吧!
我知道了
右上角分享
点击右上角分享
0
联系我们:info@booksci.cn Book学术提供免费学术资源搜索服务,方便国内外学者检索中英文文献。致力于提供最便捷和优质的服务体验。 Copyright © 2023 布克学术 All rights reserved.
京ICP备2023020795号-1
ghs 京公网安备 11010802042870号
Book学术文献互助
Book学术文献互助群
群 号:604180095
Book学术官方微信