评估尚飞脉搏动脉测压仪检测阻塞性睡眠呼吸暂停的效果。

IF 1.3 4区 医学 Q4 CLINICAL NEUROLOGY
Sleep and Biological Rhythms Pub Date : 2024-11-27 eCollection Date: 2025-04-01 DOI:10.1007/s41105-024-00559-4
Marcus McMahon, Jeremy Goldin, Elizabeth Susan Kealy, Darrel Joseph Wicks, Eugene Zilberg, Warwick Freeman, Behzad Aliahmad
{"title":"评估尚飞脉搏动脉测压仪检测阻塞性睡眠呼吸暂停的效果。","authors":"Marcus McMahon, Jeremy Goldin, Elizabeth Susan Kealy, Darrel Joseph Wicks, Eugene Zilberg, Warwick Freeman, Behzad Aliahmad","doi":"10.1007/s41105-024-00559-4","DOIUrl":null,"url":null,"abstract":"<p><p>This study evaluates the diagnostic accuracy of Somfit against polysomnography (PSG) for detecting obstructive sleep apnoea (OSA). Somfit is a wearable home-sleep monitoring device attached to the forehead, combining pulse arterial tonometry, oximetry, and actigraphy with sleep staging, arousals, and total sleep time (TST) derived from frontal neurological signals. Ninety-two participants suspected of having OSA were assessed using Somfit and simultaneous overnight PSG recordings at three Australian sites. Each PSG study was manually scored by three independent scorers. The reported statistics include standard measures of agreement between Somfit's TST, Oxygen-Saturation Index (ODI), Apnoea-Hypopnea Index (AHI), and the average of those metrics from the three PSG scorers. The overall inter-scorer agreement was 76% (kappa = 0.772). TST, ODI, and AHI from Somfit were highly correlated with similar metrics from PSG (all r > 0.84, <i>p</i> < 0.001). Sensitivity, specificity, and accuracy were 90.5%, 75.0%, and 89.1% respectively, with a diagnostic odds ratio (DOR) of 28.5 for AHI ≥ 5. For AHI ≥ 15, sensitivity, specificity, and accuracy were 78.0%, 73.8%, and 76.1%, respectively, with a DOR of 9.99. For AHI ≥ 30, sensitivity, specificity, accuracy, and DOR were 72.4%, 90.5%, 84.8%, and 24.9, respectively. The area under the curve (AUC) at different PSG AHI cut-offs ranged between 0.86 and 0.93. Coupled with oximetry and EEG-based derivation of TST, Somfit's performance is comparable to PSG in detecting OSA severity.</p>","PeriodicalId":21896,"journal":{"name":"Sleep and Biological Rhythms","volume":"23 2","pages":"145-152"},"PeriodicalIF":1.3000,"publicationDate":"2024-11-27","publicationTypes":"Journal Article","fieldsOfStudy":null,"isOpenAccess":false,"openAccessPdf":"https://www.ncbi.nlm.nih.gov/pmc/articles/PMC11971089/pdf/","citationCount":"0","resultStr":"{\"title\":\"Evaluating Somfit's pulse arterial tonometry for detection of obstructive sleep apnoea.\",\"authors\":\"Marcus McMahon, Jeremy Goldin, Elizabeth Susan Kealy, Darrel Joseph Wicks, Eugene Zilberg, Warwick Freeman, Behzad Aliahmad\",\"doi\":\"10.1007/s41105-024-00559-4\",\"DOIUrl\":null,\"url\":null,\"abstract\":\"<p><p>This study evaluates the diagnostic accuracy of Somfit against polysomnography (PSG) for detecting obstructive sleep apnoea (OSA). Somfit is a wearable home-sleep monitoring device attached to the forehead, combining pulse arterial tonometry, oximetry, and actigraphy with sleep staging, arousals, and total sleep time (TST) derived from frontal neurological signals. Ninety-two participants suspected of having OSA were assessed using Somfit and simultaneous overnight PSG recordings at three Australian sites. Each PSG study was manually scored by three independent scorers. The reported statistics include standard measures of agreement between Somfit's TST, Oxygen-Saturation Index (ODI), Apnoea-Hypopnea Index (AHI), and the average of those metrics from the three PSG scorers. The overall inter-scorer agreement was 76% (kappa = 0.772). TST, ODI, and AHI from Somfit were highly correlated with similar metrics from PSG (all r > 0.84, <i>p</i> < 0.001). Sensitivity, specificity, and accuracy were 90.5%, 75.0%, and 89.1% respectively, with a diagnostic odds ratio (DOR) of 28.5 for AHI ≥ 5. For AHI ≥ 15, sensitivity, specificity, and accuracy were 78.0%, 73.8%, and 76.1%, respectively, with a DOR of 9.99. For AHI ≥ 30, sensitivity, specificity, accuracy, and DOR were 72.4%, 90.5%, 84.8%, and 24.9, respectively. The area under the curve (AUC) at different PSG AHI cut-offs ranged between 0.86 and 0.93. Coupled with oximetry and EEG-based derivation of TST, Somfit's performance is comparable to PSG in detecting OSA severity.</p>\",\"PeriodicalId\":21896,\"journal\":{\"name\":\"Sleep and Biological Rhythms\",\"volume\":\"23 2\",\"pages\":\"145-152\"},\"PeriodicalIF\":1.3000,\"publicationDate\":\"2024-11-27\",\"publicationTypes\":\"Journal Article\",\"fieldsOfStudy\":null,\"isOpenAccess\":false,\"openAccessPdf\":\"https://www.ncbi.nlm.nih.gov/pmc/articles/PMC11971089/pdf/\",\"citationCount\":\"0\",\"resultStr\":null,\"platform\":\"Semanticscholar\",\"paperid\":null,\"PeriodicalName\":\"Sleep and Biological Rhythms\",\"FirstCategoryId\":\"3\",\"ListUrlMain\":\"https://doi.org/10.1007/s41105-024-00559-4\",\"RegionNum\":4,\"RegionCategory\":\"医学\",\"ArticlePicture\":[],\"TitleCN\":null,\"AbstractTextCN\":null,\"PMCID\":null,\"EPubDate\":\"2025/4/1 0:00:00\",\"PubModel\":\"eCollection\",\"JCR\":\"Q4\",\"JCRName\":\"CLINICAL NEUROLOGY\",\"Score\":null,\"Total\":0}","platform":"Semanticscholar","paperid":null,"PeriodicalName":"Sleep and Biological Rhythms","FirstCategoryId":"3","ListUrlMain":"https://doi.org/10.1007/s41105-024-00559-4","RegionNum":4,"RegionCategory":"医学","ArticlePicture":[],"TitleCN":null,"AbstractTextCN":null,"PMCID":null,"EPubDate":"2025/4/1 0:00:00","PubModel":"eCollection","JCR":"Q4","JCRName":"CLINICAL NEUROLOGY","Score":null,"Total":0}
引用次数: 0

摘要

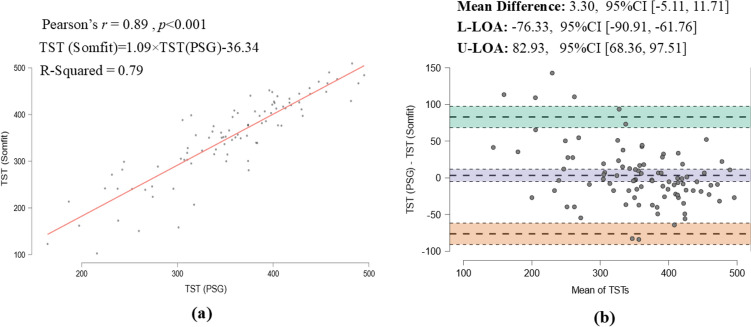
本研究评估了Somfit对多导睡眠图(PSG)检测阻塞性睡眠呼吸暂停(OSA)的诊断准确性。Somfit是一种可穿戴的家庭睡眠监测设备,安装在前额上,结合脉搏动脉血压计、血氧仪和活动仪,以及来自额叶神经信号的睡眠分期、觉醒和总睡眠时间(TST)。92名怀疑患有阻塞性睡眠呼吸暂停的参与者在澳大利亚的三个地点使用Somfit和同时夜间PSG记录进行了评估。每个PSG研究都由三个独立的评分者手动评分。报告的统计数据包括Somfit的TST、氧饱和度指数(ODI)、呼吸暂停低通气指数(AHI)之间的一致性标准测量,以及来自三个PSG评分者的这些指标的平均值。总体得分者间的一致性为76% (kappa = 0.772)。Somfit的TST、ODI和AHI与PSG的类似指标高度相关(均为0.84,p
本文章由计算机程序翻译,如有差异,请以英文原文为准。

Evaluating Somfit's pulse arterial tonometry for detection of obstructive sleep apnoea.

Evaluating Somfit's pulse arterial tonometry for detection of obstructive sleep apnoea.

Evaluating Somfit's pulse arterial tonometry for detection of obstructive sleep apnoea.

Evaluating Somfit's pulse arterial tonometry for detection of obstructive sleep apnoea.

This study evaluates the diagnostic accuracy of Somfit against polysomnography (PSG) for detecting obstructive sleep apnoea (OSA). Somfit is a wearable home-sleep monitoring device attached to the forehead, combining pulse arterial tonometry, oximetry, and actigraphy with sleep staging, arousals, and total sleep time (TST) derived from frontal neurological signals. Ninety-two participants suspected of having OSA were assessed using Somfit and simultaneous overnight PSG recordings at three Australian sites. Each PSG study was manually scored by three independent scorers. The reported statistics include standard measures of agreement between Somfit's TST, Oxygen-Saturation Index (ODI), Apnoea-Hypopnea Index (AHI), and the average of those metrics from the three PSG scorers. The overall inter-scorer agreement was 76% (kappa = 0.772). TST, ODI, and AHI from Somfit were highly correlated with similar metrics from PSG (all r > 0.84, p < 0.001). Sensitivity, specificity, and accuracy were 90.5%, 75.0%, and 89.1% respectively, with a diagnostic odds ratio (DOR) of 28.5 for AHI ≥ 5. For AHI ≥ 15, sensitivity, specificity, and accuracy were 78.0%, 73.8%, and 76.1%, respectively, with a DOR of 9.99. For AHI ≥ 30, sensitivity, specificity, accuracy, and DOR were 72.4%, 90.5%, 84.8%, and 24.9, respectively. The area under the curve (AUC) at different PSG AHI cut-offs ranged between 0.86 and 0.93. Coupled with oximetry and EEG-based derivation of TST, Somfit's performance is comparable to PSG in detecting OSA severity.

求助全文
通过发布文献求助,成功后即可免费获取论文全文。 去求助
来源期刊
Sleep and Biological Rhythms
Sleep and Biological Rhythms 医学-临床神经学
CiteScore
2.20
自引率
9.10%
发文量
71
审稿时长
>12 weeks
期刊介绍: Sleep and Biological Rhythms is a quarterly peer-reviewed publication dealing with medical treatments relating to sleep. The journal publishies original articles, short papers, commentaries and the occasional reviews. In scope the journal covers mechanisms of sleep and wakefullness from the ranging perspectives of basic science, medicine, dentistry, pharmacology, psychology, engineering, public health and related branches of the social sciences
×
引用
GB/T 7714-2015
复制
MLA
复制
APA
复制
导出至
BibTeX EndNote RefMan NoteFirst NoteExpress
×
提示
您的信息不完整,为了账户安全,请先补充。
现在去补充
×
提示
您因"违规操作"
具体请查看互助需知
我知道了
×
提示
确定
请完成安全验证×
copy
已复制链接
快去分享给好友吧!
我知道了
右上角分享
点击右上角分享
0
联系我们:info@booksci.cn Book学术提供免费学术资源搜索服务,方便国内外学者检索中英文文献。致力于提供最便捷和优质的服务体验。 Copyright © 2023 布克学术 All rights reserved.
京ICP备2023020795号-1
ghs 京公网安备 11010802042870号
Book学术文献互助
Book学术文献互助群
群 号:604180095
Book学术官方微信