采用树枝状纳米钛纤维增强轻量化混凝土的初始特性和耐久性。

IF 3.9 2区 综合性期刊 Q1 MULTIDISCIPLINARY SCIENCES
Hossein Javan, Amin Honarbakhsh, Seyed Mojtaba Movahedifar, Mehdi Nobahari, Rahele Zhiani
{"title":"采用树枝状纳米钛纤维增强轻量化混凝土的初始特性和耐久性。","authors":"Hossein Javan, Amin Honarbakhsh, Seyed Mojtaba Movahedifar, Mehdi Nobahari, Rahele Zhiani","doi":"10.1038/s41598-025-96034-2","DOIUrl":null,"url":null,"abstract":"<p><p>The utilization of nanoparticles in concrete has been propelled by their advantageous attributes, such as their fine particle size and remarkable reactivity. To enhance these properties, various nanoparticles can be integrated into the lightweight concrete matrix. We introduce a novel technique to produce TiO<sub>2</sub> structures resembling dandelions, featuring interfaces between anatase and TiO<sub>2</sub> phases as well as a distinct outer layer. This approach utilizes a deep eutectic solvent-tuning method that is both user- and environmentally friendly. The formation of this remarkable external covering is attributed to the hierarchical arrangement of two-dimensional ultrathin nanosheets with mesopores in a three-dimensional configuration. The primary focus of this study is the utilization of DFNT, a nanoparticle possessing a three-dimensional structure, within the matrix of lightweight concrete. To conduct this study, concrete cases with congestion of 1000 kg/m<sup>3</sup> were fabricated and subjected to testing. We sought to evaluate the effect of different weight ratio proportions of DFNT on the enduring characteristics of lightweight concrete, such as the contraction caused by drying, the degree of openness, the capacity to absorb water, and the speed at which ultrasonic waves travel. The inclusion of DFNT induces a transformation in the microstructural composition of lightweight concrete, shifting it from a loose needle-like structure to a more compact and cohesive microstructure characteristic of cementitious composites. Furthermore, DFNT enhances the lightweight concrete matrix by occupying the empty spaces, tiny fractures, and gaps present within it.</p>","PeriodicalId":21811,"journal":{"name":"Scientific Reports","volume":"15 1","pages":"11811"},"PeriodicalIF":3.9000,"publicationDate":"2025-04-07","publicationTypes":"Journal Article","fieldsOfStudy":null,"isOpenAccess":false,"openAccessPdf":"https://www.ncbi.nlm.nih.gov/pmc/articles/PMC11973189/pdf/","citationCount":"0","resultStr":"{\"title\":\"The use of dendritic fibrous nano-titanium to enhance the initial characteristics and durability of lightweight concrete.\",\"authors\":\"Hossein Javan, Amin Honarbakhsh, Seyed Mojtaba Movahedifar, Mehdi Nobahari, Rahele Zhiani\",\"doi\":\"10.1038/s41598-025-96034-2\",\"DOIUrl\":null,\"url\":null,\"abstract\":\"<p><p>The utilization of nanoparticles in concrete has been propelled by their advantageous attributes, such as their fine particle size and remarkable reactivity. To enhance these properties, various nanoparticles can be integrated into the lightweight concrete matrix. We introduce a novel technique to produce TiO<sub>2</sub> structures resembling dandelions, featuring interfaces between anatase and TiO<sub>2</sub> phases as well as a distinct outer layer. This approach utilizes a deep eutectic solvent-tuning method that is both user- and environmentally friendly. The formation of this remarkable external covering is attributed to the hierarchical arrangement of two-dimensional ultrathin nanosheets with mesopores in a three-dimensional configuration. The primary focus of this study is the utilization of DFNT, a nanoparticle possessing a three-dimensional structure, within the matrix of lightweight concrete. To conduct this study, concrete cases with congestion of 1000 kg/m<sup>3</sup> were fabricated and subjected to testing. We sought to evaluate the effect of different weight ratio proportions of DFNT on the enduring characteristics of lightweight concrete, such as the contraction caused by drying, the degree of openness, the capacity to absorb water, and the speed at which ultrasonic waves travel. The inclusion of DFNT induces a transformation in the microstructural composition of lightweight concrete, shifting it from a loose needle-like structure to a more compact and cohesive microstructure characteristic of cementitious composites. Furthermore, DFNT enhances the lightweight concrete matrix by occupying the empty spaces, tiny fractures, and gaps present within it.</p>\",\"PeriodicalId\":21811,\"journal\":{\"name\":\"Scientific Reports\",\"volume\":\"15 1\",\"pages\":\"11811\"},\"PeriodicalIF\":3.9000,\"publicationDate\":\"2025-04-07\",\"publicationTypes\":\"Journal Article\",\"fieldsOfStudy\":null,\"isOpenAccess\":false,\"openAccessPdf\":\"https://www.ncbi.nlm.nih.gov/pmc/articles/PMC11973189/pdf/\",\"citationCount\":\"0\",\"resultStr\":null,\"platform\":\"Semanticscholar\",\"paperid\":null,\"PeriodicalName\":\"Scientific Reports\",\"FirstCategoryId\":\"103\",\"ListUrlMain\":\"https://doi.org/10.1038/s41598-025-96034-2\",\"RegionNum\":2,\"RegionCategory\":\"综合性期刊\",\"ArticlePicture\":[],\"TitleCN\":null,\"AbstractTextCN\":null,\"PMCID\":null,\"EPubDate\":\"\",\"PubModel\":\"\",\"JCR\":\"Q1\",\"JCRName\":\"MULTIDISCIPLINARY SCIENCES\",\"Score\":null,\"Total\":0}","platform":"Semanticscholar","paperid":null,"PeriodicalName":"Scientific Reports","FirstCategoryId":"103","ListUrlMain":"https://doi.org/10.1038/s41598-025-96034-2","RegionNum":2,"RegionCategory":"综合性期刊","ArticlePicture":[],"TitleCN":null,"AbstractTextCN":null,"PMCID":null,"EPubDate":"","PubModel":"","JCR":"Q1","JCRName":"MULTIDISCIPLINARY SCIENCES","Score":null,"Total":0}
引用次数: 0

摘要

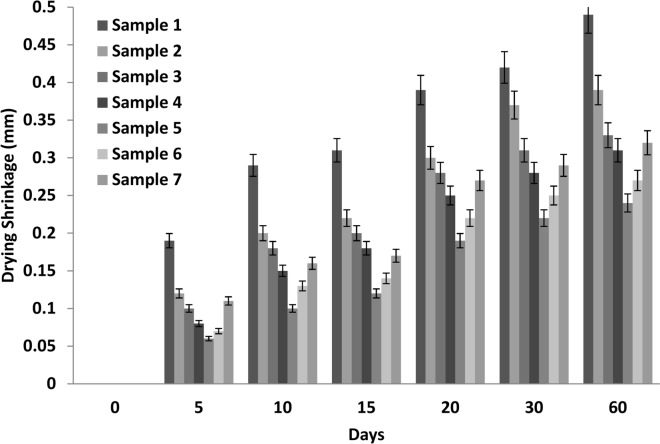
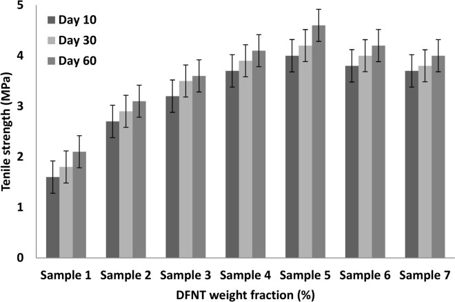
纳米颗粒在混凝土中的应用是由其优异的特性所推动的,如其细小的粒径和显著的反应性。为了增强这些性能,可以将各种纳米颗粒集成到轻质混凝土基体中。我们介绍了一种新的技术来生产类似蒲公英的TiO2结构,具有锐钛矿和TiO2相之间的界面以及明显的外层。这种方法利用了一种对用户和环境都友好的深共晶溶剂调节方法。这种显著的外部覆盖层的形成是由于二维超薄纳米片在三维结构中具有介孔的分层排列。本研究的主要重点是利用DFNT,一种具有三维结构的纳米颗粒,在轻质混凝土的基质中。为了进行这项研究,制作了1000 kg/m3堵塞的混凝土案例并进行了测试。我们试图评估不同重量比比例的DFNT对轻质混凝土持久特性的影响,如干燥引起的收缩、开放程度、吸水能力和超声波传播的速度。DFNT的加入引起了轻质混凝土微观结构组成的转变,将其从松散的针状结构转变为胶凝复合材料更紧凑和有凝聚力的微观结构特征。此外,DFNT通过占据空空间、微小裂缝和空隙来增强轻质混凝土基质。
本文章由计算机程序翻译,如有差异,请以英文原文为准。

The use of dendritic fibrous nano-titanium to enhance the initial characteristics and durability of lightweight concrete.

The use of dendritic fibrous nano-titanium to enhance the initial characteristics and durability of lightweight concrete.

The use of dendritic fibrous nano-titanium to enhance the initial characteristics and durability of lightweight concrete.

The use of dendritic fibrous nano-titanium to enhance the initial characteristics and durability of lightweight concrete.

The utilization of nanoparticles in concrete has been propelled by their advantageous attributes, such as their fine particle size and remarkable reactivity. To enhance these properties, various nanoparticles can be integrated into the lightweight concrete matrix. We introduce a novel technique to produce TiO2 structures resembling dandelions, featuring interfaces between anatase and TiO2 phases as well as a distinct outer layer. This approach utilizes a deep eutectic solvent-tuning method that is both user- and environmentally friendly. The formation of this remarkable external covering is attributed to the hierarchical arrangement of two-dimensional ultrathin nanosheets with mesopores in a three-dimensional configuration. The primary focus of this study is the utilization of DFNT, a nanoparticle possessing a three-dimensional structure, within the matrix of lightweight concrete. To conduct this study, concrete cases with congestion of 1000 kg/m3 were fabricated and subjected to testing. We sought to evaluate the effect of different weight ratio proportions of DFNT on the enduring characteristics of lightweight concrete, such as the contraction caused by drying, the degree of openness, the capacity to absorb water, and the speed at which ultrasonic waves travel. The inclusion of DFNT induces a transformation in the microstructural composition of lightweight concrete, shifting it from a loose needle-like structure to a more compact and cohesive microstructure characteristic of cementitious composites. Furthermore, DFNT enhances the lightweight concrete matrix by occupying the empty spaces, tiny fractures, and gaps present within it.

求助全文
通过发布文献求助,成功后即可免费获取论文全文。 去求助
来源期刊
Scientific Reports
Scientific Reports Natural Science Disciplines-
CiteScore
7.50
自引率
4.30%
发文量
19567
审稿时长
3.9 months
期刊介绍: We publish original research from all areas of the natural sciences, psychology, medicine and engineering. You can learn more about what we publish by browsing our specific scientific subject areas below or explore Scientific Reports by browsing all articles and collections. Scientific Reports has a 2-year impact factor: 4.380 (2021), and is the 6th most-cited journal in the world, with more than 540,000 citations in 2020 (Clarivate Analytics, 2021). •Engineering Engineering covers all aspects of engineering, technology, and applied science. It plays a crucial role in the development of technologies to address some of the world''s biggest challenges, helping to save lives and improve the way we live. •Physical sciences Physical sciences are those academic disciplines that aim to uncover the underlying laws of nature — often written in the language of mathematics. It is a collective term for areas of study including astronomy, chemistry, materials science and physics. •Earth and environmental sciences Earth and environmental sciences cover all aspects of Earth and planetary science and broadly encompass solid Earth processes, surface and atmospheric dynamics, Earth system history, climate and climate change, marine and freshwater systems, and ecology. It also considers the interactions between humans and these systems. •Biological sciences Biological sciences encompass all the divisions of natural sciences examining various aspects of vital processes. The concept includes anatomy, physiology, cell biology, biochemistry and biophysics, and covers all organisms from microorganisms, animals to plants. •Health sciences The health sciences study health, disease and healthcare. This field of study aims to develop knowledge, interventions and technology for use in healthcare to improve the treatment of patients.
×
引用
GB/T 7714-2015
复制
MLA
复制
APA
复制
导出至
BibTeX EndNote RefMan NoteFirst NoteExpress
×
提示
您的信息不完整,为了账户安全,请先补充。
现在去补充
×
提示
您因"违规操作"
具体请查看互助需知
我知道了
×
提示
确定
请完成安全验证×
copy
已复制链接
快去分享给好友吧!
我知道了
右上角分享
点击右上角分享
0
联系我们:info@booksci.cn Book学术提供免费学术资源搜索服务,方便国内外学者检索中英文文献。致力于提供最便捷和优质的服务体验。 Copyright © 2023 布克学术 All rights reserved.
京ICP备2023020795号-1
ghs 京公网安备 11010802042870号
Book学术文献互助
Book学术文献互助群
群 号:604180095
Book学术官方微信