探索新的无创参数预测nafld相关代偿性肝硬化患者食管静脉曲张。

IF 2.5 Q3 GASTROENTEROLOGY & HEPATOLOGY
Przegla̜d Gastroenterologiczny Pub Date : 2025-01-01 Epub Date: 2024-04-26 DOI:10.5114/pg.2024.139210
Adnan Agha, Andrea Pasta, Francesco Calabrese, Eram Anwar, Mazin Taha, Virgie G Pedo, Ghada S M Al-Bluwi, Edoardo G Giannini
{"title":"探索新的无创参数预测nafld相关代偿性肝硬化患者食管静脉曲张。","authors":"Adnan Agha, Andrea Pasta, Francesco Calabrese, Eram Anwar, Mazin Taha, Virgie G Pedo, Ghada S M Al-Bluwi, Edoardo G Giannini","doi":"10.5114/pg.2024.139210","DOIUrl":null,"url":null,"abstract":"<p><strong>Introduction: </strong>Nonalcoholic fatty liver disease is a leading cause of liver cirrhosis and portal hypertension, which can be complicated by oesophageal varices and variceal bleeding. Screening for oesophageal varices is essential for initiating bleeding prophylaxis. Several noninvasive parameters for predicting oesophageal varices have been suggested (e.g., Baveno VI, expanded Baveno VI, and platelet count/spleen diameter ratio), although with variable efficacy in patients with nonalcoholic fatty liver disease.</p><p><strong>Aim: </strong>This study aimed to compare the non-invasive predictors of oesophageal varices.</p><p><strong>Material and methods: </strong>We retrospectively analyzed the medical records of patients with nonalcoholic fatty liver disease-related compensated liver disease who underwent screening endoscopy at a tertiary care unit in United Arab Emirates. The accuracy of the established (Baveno VI and expanded Baveno VI) and newly devised (platelet count)/(spleen diameter) + liver stiffness × (40 - albumin) noninvasive parameters in predicting oesophageal varices and the presence of large oesophageal varices was assessed in our population.</p><p><strong>Results: </strong>We found that the (platelet count)/(spleen diameter) + liver stiffness × (40 - albumin) formula had a higher accuracy than both Baveno VI (<i>p</i> = 0.030) and expanded Baveno VI criteria (<i>p</i> = 0.050) in predicting the presence of oesophageal varices. The (platelet count)/(spleen diameter) + liver stiffness × (40 - albumin) formula was associated with a higher number of spared endoscopies than Baveno VI (<i>n</i> = 16, 21.9%) and expanded Baveno VI (<i>n</i> = 9, 12.3%) criteria.</p><p><strong>Conclusions: </strong>The new formula could provide superior predictive value than the currently practiced noninvasive predictors of oesophageal varices. However, large-scale studies are warranted to confirm its predictive performance in patients with nonalcoholic fatty liver and other etiologies of chronic liver disease.</p>","PeriodicalId":20719,"journal":{"name":"Przegla̜d Gastroenterologiczny","volume":"20 1","pages":"48-54"},"PeriodicalIF":2.5000,"publicationDate":"2025-01-01","publicationTypes":"Journal Article","fieldsOfStudy":null,"isOpenAccess":false,"openAccessPdf":"https://www.ncbi.nlm.nih.gov/pmc/articles/PMC11966505/pdf/","citationCount":"0","resultStr":"{\"title\":\"Exploring new noninvasive parameters to predict oesophageal varices in patients with NAFLD-associated compensated liver cirrhosis.\",\"authors\":\"Adnan Agha, Andrea Pasta, Francesco Calabrese, Eram Anwar, Mazin Taha, Virgie G Pedo, Ghada S M Al-Bluwi, Edoardo G Giannini\",\"doi\":\"10.5114/pg.2024.139210\",\"DOIUrl\":null,\"url\":null,\"abstract\":\"<p><strong>Introduction: </strong>Nonalcoholic fatty liver disease is a leading cause of liver cirrhosis and portal hypertension, which can be complicated by oesophageal varices and variceal bleeding. Screening for oesophageal varices is essential for initiating bleeding prophylaxis. Several noninvasive parameters for predicting oesophageal varices have been suggested (e.g., Baveno VI, expanded Baveno VI, and platelet count/spleen diameter ratio), although with variable efficacy in patients with nonalcoholic fatty liver disease.</p><p><strong>Aim: </strong>This study aimed to compare the non-invasive predictors of oesophageal varices.</p><p><strong>Material and methods: </strong>We retrospectively analyzed the medical records of patients with nonalcoholic fatty liver disease-related compensated liver disease who underwent screening endoscopy at a tertiary care unit in United Arab Emirates. The accuracy of the established (Baveno VI and expanded Baveno VI) and newly devised (platelet count)/(spleen diameter) + liver stiffness × (40 - albumin) noninvasive parameters in predicting oesophageal varices and the presence of large oesophageal varices was assessed in our population.</p><p><strong>Results: </strong>We found that the (platelet count)/(spleen diameter) + liver stiffness × (40 - albumin) formula had a higher accuracy than both Baveno VI (<i>p</i> = 0.030) and expanded Baveno VI criteria (<i>p</i> = 0.050) in predicting the presence of oesophageal varices. The (platelet count)/(spleen diameter) + liver stiffness × (40 - albumin) formula was associated with a higher number of spared endoscopies than Baveno VI (<i>n</i> = 16, 21.9%) and expanded Baveno VI (<i>n</i> = 9, 12.3%) criteria.</p><p><strong>Conclusions: </strong>The new formula could provide superior predictive value than the currently practiced noninvasive predictors of oesophageal varices. However, large-scale studies are warranted to confirm its predictive performance in patients with nonalcoholic fatty liver and other etiologies of chronic liver disease.</p>\",\"PeriodicalId\":20719,\"journal\":{\"name\":\"Przegla̜d Gastroenterologiczny\",\"volume\":\"20 1\",\"pages\":\"48-54\"},\"PeriodicalIF\":2.5000,\"publicationDate\":\"2025-01-01\",\"publicationTypes\":\"Journal Article\",\"fieldsOfStudy\":null,\"isOpenAccess\":false,\"openAccessPdf\":\"https://www.ncbi.nlm.nih.gov/pmc/articles/PMC11966505/pdf/\",\"citationCount\":\"0\",\"resultStr\":null,\"platform\":\"Semanticscholar\",\"paperid\":null,\"PeriodicalName\":\"Przegla̜d Gastroenterologiczny\",\"FirstCategoryId\":\"1085\",\"ListUrlMain\":\"https://doi.org/10.5114/pg.2024.139210\",\"RegionNum\":0,\"RegionCategory\":null,\"ArticlePicture\":[],\"TitleCN\":null,\"AbstractTextCN\":null,\"PMCID\":null,\"EPubDate\":\"2024/4/26 0:00:00\",\"PubModel\":\"Epub\",\"JCR\":\"Q3\",\"JCRName\":\"GASTROENTEROLOGY & HEPATOLOGY\",\"Score\":null,\"Total\":0}","platform":"Semanticscholar","paperid":null,"PeriodicalName":"Przegla̜d Gastroenterologiczny","FirstCategoryId":"1085","ListUrlMain":"https://doi.org/10.5114/pg.2024.139210","RegionNum":0,"RegionCategory":null,"ArticlePicture":[],"TitleCN":null,"AbstractTextCN":null,"PMCID":null,"EPubDate":"2024/4/26 0:00:00","PubModel":"Epub","JCR":"Q3","JCRName":"GASTROENTEROLOGY & HEPATOLOGY","Score":null,"Total":0}
引用次数: 0

摘要

简介:非酒精性脂肪性肝病是肝硬化和门脉高压的主要原因,可并发食道静脉曲张和静脉曲张出血。筛查食管静脉曲张对于开始预防出血至关重要。一些预测食管静脉曲张的无创参数已经被提出(例如,Baveno VI、扩大的Baveno VI和血小板计数/脾直径比),尽管在非酒精性脂肪肝患者中的疗效不同。目的:本研究旨在比较食管静脉曲张的无创预测因素。材料和方法:我们回顾性分析了在阿拉伯联合酋长国三级保健单位接受筛查内窥镜检查的非酒精性脂肪性肝病相关代偿性肝病患者的医疗记录。在我们的人群中评估了既定的(Baveno VI和扩展的Baveno VI)和新设计的(血小板计数)/(脾脏直径)+肝硬度×(40 -白蛋白)无创参数预测食管静脉曲张和大食管静脉曲张存在的准确性。结果:我们发现(血小板计数)/(脾直径)+肝硬度×(40 -白蛋白)公式预测食管静脉曲张存在的准确性高于Baveno VI (p = 0.030)和扩展的Baveno VI标准(p = 0.050)。(血小板计数)/(脾脏直径)+肝硬度×(40 -白蛋白)公式与Baveno VI (n = 16, 21.9%)和扩展Baveno VI (n = 9, 12.3%)标准相比,内镜检查的剩余次数更高。结论:与目前采用的无创预测方法相比,新方法对食管静脉曲张的预测价值更高。然而,需要大规模的研究来证实其对非酒精性脂肪肝和其他病因的慢性肝病患者的预测作用。
本文章由计算机程序翻译,如有差异,请以英文原文为准。

Exploring new noninvasive parameters to predict oesophageal varices in patients with NAFLD-associated compensated liver cirrhosis.

Exploring new noninvasive parameters to predict oesophageal varices in patients with NAFLD-associated compensated liver cirrhosis.

Exploring new noninvasive parameters to predict oesophageal varices in patients with NAFLD-associated compensated liver cirrhosis.

Introduction: Nonalcoholic fatty liver disease is a leading cause of liver cirrhosis and portal hypertension, which can be complicated by oesophageal varices and variceal bleeding. Screening for oesophageal varices is essential for initiating bleeding prophylaxis. Several noninvasive parameters for predicting oesophageal varices have been suggested (e.g., Baveno VI, expanded Baveno VI, and platelet count/spleen diameter ratio), although with variable efficacy in patients with nonalcoholic fatty liver disease.

Aim: This study aimed to compare the non-invasive predictors of oesophageal varices.

Material and methods: We retrospectively analyzed the medical records of patients with nonalcoholic fatty liver disease-related compensated liver disease who underwent screening endoscopy at a tertiary care unit in United Arab Emirates. The accuracy of the established (Baveno VI and expanded Baveno VI) and newly devised (platelet count)/(spleen diameter) + liver stiffness × (40 - albumin) noninvasive parameters in predicting oesophageal varices and the presence of large oesophageal varices was assessed in our population.

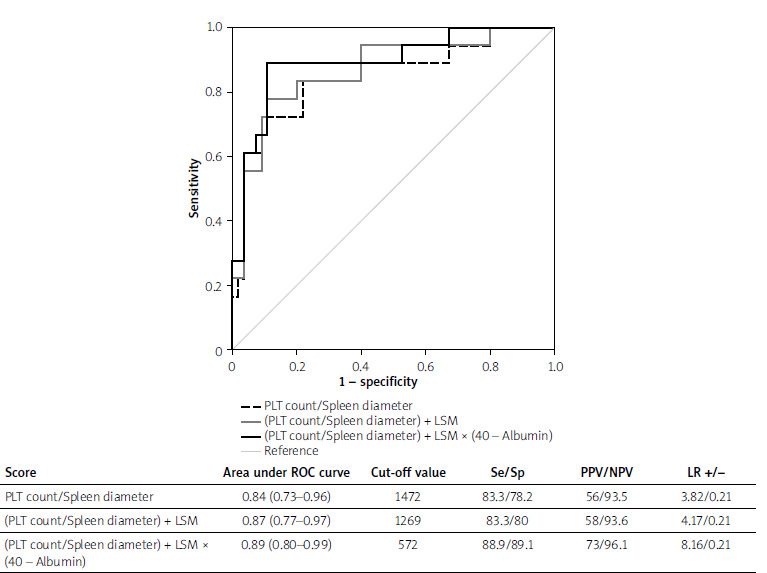
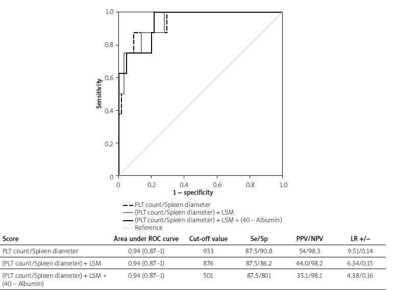
Results: We found that the (platelet count)/(spleen diameter) + liver stiffness × (40 - albumin) formula had a higher accuracy than both Baveno VI (p = 0.030) and expanded Baveno VI criteria (p = 0.050) in predicting the presence of oesophageal varices. The (platelet count)/(spleen diameter) + liver stiffness × (40 - albumin) formula was associated with a higher number of spared endoscopies than Baveno VI (n = 16, 21.9%) and expanded Baveno VI (n = 9, 12.3%) criteria.

Conclusions: The new formula could provide superior predictive value than the currently practiced noninvasive predictors of oesophageal varices. However, large-scale studies are warranted to confirm its predictive performance in patients with nonalcoholic fatty liver and other etiologies of chronic liver disease.

求助全文
通过发布文献求助,成功后即可免费获取论文全文。 去求助
来源期刊
Przegla̜d Gastroenterologiczny
Przegla̜d Gastroenterologiczny GASTROENTEROLOGY & HEPATOLOGY-
CiteScore
2.20
自引率
7.70%
发文量
50
审稿时长
6-12 weeks
期刊介绍: Gastroenterology Review is a journal published each 2 months, aimed at gastroenterologists and general practitioners. Published under the patronage of Consultant in Gastroenterology and Polish Pancreatic Club.
×
引用
GB/T 7714-2015
复制
MLA
复制
APA
复制
导出至
BibTeX EndNote RefMan NoteFirst NoteExpress
×
提示
您的信息不完整,为了账户安全,请先补充。
现在去补充
×
提示
您因"违规操作"
具体请查看互助需知
我知道了
×
提示
确定
请完成安全验证×
copy
已复制链接
快去分享给好友吧!
我知道了
右上角分享
点击右上角分享
0
联系我们:info@booksci.cn Book学术提供免费学术资源搜索服务,方便国内外学者检索中英文文献。致力于提供最便捷和优质的服务体验。 Copyright © 2023 布克学术 All rights reserved.
京ICP备2023020795号-1
ghs 京公网安备 11010802042870号
Book学术文献互助
Book学术文献互助群
群 号:604180095
Book学术官方微信