代谢性脂肪肝患儿的细胞凋亡标志物:一项初步研究

IF 2.5 Q3 GASTROENTEROLOGY & HEPATOLOGY
Przegla̜d Gastroenterologiczny Pub Date : 2025-01-01 Epub Date: 2025-03-16 DOI:10.5114/pg.2025.148527
Katarzyna Zdanowicz, Anna Bobrus-Chociej, Marta Flisiak-Jackiewicz, Monika Kowalczuk-Kryston, Jacek Jamiolkowski, Wlodzimierz Mielech, Dariusz M Lebensztejn
{"title":"代谢性脂肪肝患儿的细胞凋亡标志物:一项初步研究","authors":"Katarzyna Zdanowicz, Anna Bobrus-Chociej, Marta Flisiak-Jackiewicz, Monika Kowalczuk-Kryston, Jacek Jamiolkowski, Wlodzimierz Mielech, Dariusz M Lebensztejn","doi":"10.5114/pg.2025.148527","DOIUrl":null,"url":null,"abstract":"<p><strong>Introduction: </strong>Metabolic-associated fatty liver disease (MAFLD) is a new disease definition. The development of hepatic steatosis is complex and may also be influenced by apoptotic mechanisms.</p><p><strong>Aim: </strong>We aimed to assess serum concentrations of selected apoptosis markers, cytokeratin-18 fragments (M30) and agiopoietin-2 (Ang2) in children and adolescents with obesity and to evaluate the association of these parameters with paediatric MAFLD.</p><p><strong>Material and methods: </strong>The prospective study included 76 overweight/obese children with suspected liver disease. MAFLD was diagnosed according to the latest consensus. The concentrations of M30 and Ang2 in serum were measured using an enzyme-linked immunosorbent assay (ELISA).</p><p><strong>Results: </strong>Liver steatosis was diagnosed in abdominal ultrasound in 45 obese patients (59.2%) who were classified as the MAFLD group. Children with MAFLD had elevated levels of alanine aminotransferase (ALT), aspartate aminotransferase (AST), γ-glutamyltransferase (GGT), uric acid and M30 in comparison to non-MAFLD children. M30 positively correlated with ALT, AST, GGT, uric acid, Ang2 and the stage of liver steatosis. In receiver operating characteristic (ROC) analysis, M30 (cut-off = 173.74 IU/ml with sensitivity = 76.9% and specificity = 69.6%) allowed overweight/obese patients with and without MAFLD to be differentiated.</p><p><strong>Conclusions: </strong>Our results suggest that the mechanism of apoptosis may play an important role in the development of MAFLD in children. There is a need for further studies in children to determine whether the M30 concentration may be an indicator of MAFLD progression and whether inhibition of apoptosis may become one of the therapeutic options for this disease.</p>","PeriodicalId":20719,"journal":{"name":"Przegla̜d Gastroenterologiczny","volume":"20 1","pages":"41-47"},"PeriodicalIF":2.5000,"publicationDate":"2025-01-01","publicationTypes":"Journal Article","fieldsOfStudy":null,"isOpenAccess":false,"openAccessPdf":"https://www.ncbi.nlm.nih.gov/pmc/articles/PMC11966513/pdf/","citationCount":"0","resultStr":"{\"title\":\"Apoptosis markers in children with metabolic-associated fatty liver disease: a preliminary study.\",\"authors\":\"Katarzyna Zdanowicz, Anna Bobrus-Chociej, Marta Flisiak-Jackiewicz, Monika Kowalczuk-Kryston, Jacek Jamiolkowski, Wlodzimierz Mielech, Dariusz M Lebensztejn\",\"doi\":\"10.5114/pg.2025.148527\",\"DOIUrl\":null,\"url\":null,\"abstract\":\"<p><strong>Introduction: </strong>Metabolic-associated fatty liver disease (MAFLD) is a new disease definition. The development of hepatic steatosis is complex and may also be influenced by apoptotic mechanisms.</p><p><strong>Aim: </strong>We aimed to assess serum concentrations of selected apoptosis markers, cytokeratin-18 fragments (M30) and agiopoietin-2 (Ang2) in children and adolescents with obesity and to evaluate the association of these parameters with paediatric MAFLD.</p><p><strong>Material and methods: </strong>The prospective study included 76 overweight/obese children with suspected liver disease. MAFLD was diagnosed according to the latest consensus. The concentrations of M30 and Ang2 in serum were measured using an enzyme-linked immunosorbent assay (ELISA).</p><p><strong>Results: </strong>Liver steatosis was diagnosed in abdominal ultrasound in 45 obese patients (59.2%) who were classified as the MAFLD group. Children with MAFLD had elevated levels of alanine aminotransferase (ALT), aspartate aminotransferase (AST), γ-glutamyltransferase (GGT), uric acid and M30 in comparison to non-MAFLD children. M30 positively correlated with ALT, AST, GGT, uric acid, Ang2 and the stage of liver steatosis. In receiver operating characteristic (ROC) analysis, M30 (cut-off = 173.74 IU/ml with sensitivity = 76.9% and specificity = 69.6%) allowed overweight/obese patients with and without MAFLD to be differentiated.</p><p><strong>Conclusions: </strong>Our results suggest that the mechanism of apoptosis may play an important role in the development of MAFLD in children. There is a need for further studies in children to determine whether the M30 concentration may be an indicator of MAFLD progression and whether inhibition of apoptosis may become one of the therapeutic options for this disease.</p>\",\"PeriodicalId\":20719,\"journal\":{\"name\":\"Przegla̜d Gastroenterologiczny\",\"volume\":\"20 1\",\"pages\":\"41-47\"},\"PeriodicalIF\":2.5000,\"publicationDate\":\"2025-01-01\",\"publicationTypes\":\"Journal Article\",\"fieldsOfStudy\":null,\"isOpenAccess\":false,\"openAccessPdf\":\"https://www.ncbi.nlm.nih.gov/pmc/articles/PMC11966513/pdf/\",\"citationCount\":\"0\",\"resultStr\":null,\"platform\":\"Semanticscholar\",\"paperid\":null,\"PeriodicalName\":\"Przegla̜d Gastroenterologiczny\",\"FirstCategoryId\":\"1085\",\"ListUrlMain\":\"https://doi.org/10.5114/pg.2025.148527\",\"RegionNum\":0,\"RegionCategory\":null,\"ArticlePicture\":[],\"TitleCN\":null,\"AbstractTextCN\":null,\"PMCID\":null,\"EPubDate\":\"2025/3/16 0:00:00\",\"PubModel\":\"Epub\",\"JCR\":\"Q3\",\"JCRName\":\"GASTROENTEROLOGY & HEPATOLOGY\",\"Score\":null,\"Total\":0}","platform":"Semanticscholar","paperid":null,"PeriodicalName":"Przegla̜d Gastroenterologiczny","FirstCategoryId":"1085","ListUrlMain":"https://doi.org/10.5114/pg.2025.148527","RegionNum":0,"RegionCategory":null,"ArticlePicture":[],"TitleCN":null,"AbstractTextCN":null,"PMCID":null,"EPubDate":"2025/3/16 0:00:00","PubModel":"Epub","JCR":"Q3","JCRName":"GASTROENTEROLOGY & HEPATOLOGY","Score":null,"Total":0}
引用次数: 0

摘要

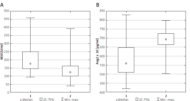
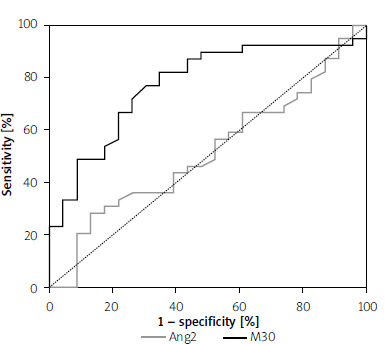
代谢相关脂肪肝(MAFLD)是一种新的疾病定义。肝脂肪变性的发展是复杂的,也可能受到细胞凋亡机制的影响。目的:我们旨在评估儿童和青少年肥胖患者中选定的细胞凋亡标志物、细胞角蛋白-18片段(M30)和agiopoietin-2 (Ang2)的血清浓度,并评估这些参数与儿科MAFLD的关系。材料和方法:前瞻性研究纳入了76例疑似肝病的超重/肥胖儿童。根据最新共识诊断为MAFLD。采用酶联免疫吸附试验(ELISA)测定血清中M30和Ang2的浓度。结果:腹部超声诊断为肝脂肪变性的肥胖患者45例(59.2%),归为MAFLD组。与非MAFLD儿童相比,MAFLD儿童的丙氨酸转氨酶(ALT)、天冬氨酸转氨酶(AST)、γ-谷氨酰转移酶(GGT)、尿酸和M30水平升高。M30与ALT、AST、GGT、尿酸、Ang2及肝脂肪变性分期呈正相关。在受试者工作特征(ROC)分析中,M30(截止值= 173.74 IU/ml,灵敏度= 76.9%,特异性= 69.6%)可以区分超重/肥胖合并和不合并MAFLD的患者。结论:我们的研究结果提示细胞凋亡可能在儿童MAFLD的发生发展中起重要作用。需要在儿童中进行进一步研究,以确定M30浓度是否可能是MAFLD进展的一个指标,以及抑制细胞凋亡是否可能成为该疾病的治疗选择之一。
本文章由计算机程序翻译,如有差异,请以英文原文为准。

Apoptosis markers in children with metabolic-associated fatty liver disease: a preliminary study.

Apoptosis markers in children with metabolic-associated fatty liver disease: a preliminary study.

Apoptosis markers in children with metabolic-associated fatty liver disease: a preliminary study.

Introduction: Metabolic-associated fatty liver disease (MAFLD) is a new disease definition. The development of hepatic steatosis is complex and may also be influenced by apoptotic mechanisms.

Aim: We aimed to assess serum concentrations of selected apoptosis markers, cytokeratin-18 fragments (M30) and agiopoietin-2 (Ang2) in children and adolescents with obesity and to evaluate the association of these parameters with paediatric MAFLD.

Material and methods: The prospective study included 76 overweight/obese children with suspected liver disease. MAFLD was diagnosed according to the latest consensus. The concentrations of M30 and Ang2 in serum were measured using an enzyme-linked immunosorbent assay (ELISA).

Results: Liver steatosis was diagnosed in abdominal ultrasound in 45 obese patients (59.2%) who were classified as the MAFLD group. Children with MAFLD had elevated levels of alanine aminotransferase (ALT), aspartate aminotransferase (AST), γ-glutamyltransferase (GGT), uric acid and M30 in comparison to non-MAFLD children. M30 positively correlated with ALT, AST, GGT, uric acid, Ang2 and the stage of liver steatosis. In receiver operating characteristic (ROC) analysis, M30 (cut-off = 173.74 IU/ml with sensitivity = 76.9% and specificity = 69.6%) allowed overweight/obese patients with and without MAFLD to be differentiated.

Conclusions: Our results suggest that the mechanism of apoptosis may play an important role in the development of MAFLD in children. There is a need for further studies in children to determine whether the M30 concentration may be an indicator of MAFLD progression and whether inhibition of apoptosis may become one of the therapeutic options for this disease.

求助全文
通过发布文献求助,成功后即可免费获取论文全文。 去求助
来源期刊
Przegla̜d Gastroenterologiczny
Przegla̜d Gastroenterologiczny GASTROENTEROLOGY & HEPATOLOGY-
CiteScore
2.20
自引率
7.70%
发文量
50
审稿时长
6-12 weeks
期刊介绍: Gastroenterology Review is a journal published each 2 months, aimed at gastroenterologists and general practitioners. Published under the patronage of Consultant in Gastroenterology and Polish Pancreatic Club.
×
引用
GB/T 7714-2015
复制
MLA
复制
APA
复制
导出至
BibTeX EndNote RefMan NoteFirst NoteExpress
×
提示
您的信息不完整,为了账户安全,请先补充。
现在去补充
×
提示
您因"违规操作"
具体请查看互助需知
我知道了
×
提示
确定
请完成安全验证×
copy
已复制链接
快去分享给好友吧!
我知道了
右上角分享
点击右上角分享
0
联系我们:info@booksci.cn Book学术提供免费学术资源搜索服务,方便国内外学者检索中英文文献。致力于提供最便捷和优质的服务体验。 Copyright © 2023 布克学术 All rights reserved.
京ICP备2023020795号-1
ghs 京公网安备 11010802042870号
Book学术文献互助
Book学术文献互助群
群 号:604180095
Book学术官方微信