COVID-19大规模重症监护激增的转移分流工具。

IF 3.9 2区 综合性期刊 Q1 MULTIDISCIPLINARY SCIENCES
Youcef Azeli, Silvia Solà-Muñoz, José Trenado, Javier Jacob, Marta Cubedo, Ricardo Delgado, Edurne Miren Mugica, Iraitz Fontan, Antonio Bracero, Cristina López-López, Maria Del Mar Carricondo-Avivar, María José Luque-Hernández, Eloy Villalba, Silvia Simón, María Elena Castejón, Cristina Goñi, César Cardenete, Zita Quintela, Raquel Abejón, Ángel Bermejo, Mario Martín, Maria Ángeles Soto-García, Jorge Morales-Alvarez, Tatiana Cuartas-Alvarez, Rafael Castro-Delgado, Xavier Jiménez-Fàbrega
{"title":"COVID-19大规模重症监护激增的转移分流工具。","authors":"Youcef Azeli, Silvia Solà-Muñoz, José Trenado, Javier Jacob, Marta Cubedo, Ricardo Delgado, Edurne Miren Mugica, Iraitz Fontan, Antonio Bracero, Cristina López-López, Maria Del Mar Carricondo-Avivar, María José Luque-Hernández, Eloy Villalba, Silvia Simón, María Elena Castejón, Cristina Goñi, César Cardenete, Zita Quintela, Raquel Abejón, Ángel Bermejo, Mario Martín, Maria Ángeles Soto-García, Jorge Morales-Alvarez, Tatiana Cuartas-Alvarez, Rafael Castro-Delgado, Xavier Jiménez-Fàbrega","doi":"10.1038/s41598-025-95337-8","DOIUrl":null,"url":null,"abstract":"<p><p>The objective of this study is to develop and validate a predictive model for mortality among severe COVID-19 patients who are candidates for inter-hospital transfer. A multicenter prospective observational study was conducted between 1 January 2021 and 30 April 2021 (third and fourth pandemic waves) in regional coordination centers of the Emergency Medical Services of eight Spanish autonomous communities. Hospitalized patients with severe COVID-19 transferred to other hospitals were included. Clinical variables from the initial evaluation, the triage score, and in-hospital mortality rates were collected. A Lasso-type regression analysis was performed to fit the mortality predictive model and its performance was evaluated by a leave-one-out cross-validation. Subsequently, the regional mass triage (MATER) score was created. 1,018 transferred patients were included, with a mean age of 62.3 years (SD 12), of whom 65.1% were male and 89.6% were admitted to an Intensive Care Unit. In-hospital mortality was 23.0%. The MATER score included six variables and presented good discrimination ability with an area under the curve of 0.79 (95% CI 0.77-0.81) and a good calibration with a Brier score of 0.135. The MATER score successfully predicted the mortality rate of severe COVID-19 patients and can be helpful in decision-making for triage and transfer prioritization in mass critical care surges.</p>","PeriodicalId":21811,"journal":{"name":"Scientific Reports","volume":"15 1","pages":"11726"},"PeriodicalIF":3.9000,"publicationDate":"2025-04-05","publicationTypes":"Journal Article","fieldsOfStudy":null,"isOpenAccess":false,"openAccessPdf":"https://www.ncbi.nlm.nih.gov/pmc/articles/PMC11972393/pdf/","citationCount":"0","resultStr":"{\"title\":\"A transfer triage tool for COVID-19 mass critical care surges.\",\"authors\":\"Youcef Azeli, Silvia Solà-Muñoz, José Trenado, Javier Jacob, Marta Cubedo, Ricardo Delgado, Edurne Miren Mugica, Iraitz Fontan, Antonio Bracero, Cristina López-López, Maria Del Mar Carricondo-Avivar, María José Luque-Hernández, Eloy Villalba, Silvia Simón, María Elena Castejón, Cristina Goñi, César Cardenete, Zita Quintela, Raquel Abejón, Ángel Bermejo, Mario Martín, Maria Ángeles Soto-García, Jorge Morales-Alvarez, Tatiana Cuartas-Alvarez, Rafael Castro-Delgado, Xavier Jiménez-Fàbrega\",\"doi\":\"10.1038/s41598-025-95337-8\",\"DOIUrl\":null,\"url\":null,\"abstract\":\"<p><p>The objective of this study is to develop and validate a predictive model for mortality among severe COVID-19 patients who are candidates for inter-hospital transfer. A multicenter prospective observational study was conducted between 1 January 2021 and 30 April 2021 (third and fourth pandemic waves) in regional coordination centers of the Emergency Medical Services of eight Spanish autonomous communities. Hospitalized patients with severe COVID-19 transferred to other hospitals were included. Clinical variables from the initial evaluation, the triage score, and in-hospital mortality rates were collected. A Lasso-type regression analysis was performed to fit the mortality predictive model and its performance was evaluated by a leave-one-out cross-validation. Subsequently, the regional mass triage (MATER) score was created. 1,018 transferred patients were included, with a mean age of 62.3 years (SD 12), of whom 65.1% were male and 89.6% were admitted to an Intensive Care Unit. In-hospital mortality was 23.0%. The MATER score included six variables and presented good discrimination ability with an area under the curve of 0.79 (95% CI 0.77-0.81) and a good calibration with a Brier score of 0.135. The MATER score successfully predicted the mortality rate of severe COVID-19 patients and can be helpful in decision-making for triage and transfer prioritization in mass critical care surges.</p>\",\"PeriodicalId\":21811,\"journal\":{\"name\":\"Scientific Reports\",\"volume\":\"15 1\",\"pages\":\"11726\"},\"PeriodicalIF\":3.9000,\"publicationDate\":\"2025-04-05\",\"publicationTypes\":\"Journal Article\",\"fieldsOfStudy\":null,\"isOpenAccess\":false,\"openAccessPdf\":\"https://www.ncbi.nlm.nih.gov/pmc/articles/PMC11972393/pdf/\",\"citationCount\":\"0\",\"resultStr\":null,\"platform\":\"Semanticscholar\",\"paperid\":null,\"PeriodicalName\":\"Scientific Reports\",\"FirstCategoryId\":\"103\",\"ListUrlMain\":\"https://doi.org/10.1038/s41598-025-95337-8\",\"RegionNum\":2,\"RegionCategory\":\"综合性期刊\",\"ArticlePicture\":[],\"TitleCN\":null,\"AbstractTextCN\":null,\"PMCID\":null,\"EPubDate\":\"\",\"PubModel\":\"\",\"JCR\":\"Q1\",\"JCRName\":\"MULTIDISCIPLINARY SCIENCES\",\"Score\":null,\"Total\":0}","platform":"Semanticscholar","paperid":null,"PeriodicalName":"Scientific Reports","FirstCategoryId":"103","ListUrlMain":"https://doi.org/10.1038/s41598-025-95337-8","RegionNum":2,"RegionCategory":"综合性期刊","ArticlePicture":[],"TitleCN":null,"AbstractTextCN":null,"PMCID":null,"EPubDate":"","PubModel":"","JCR":"Q1","JCRName":"MULTIDISCIPLINARY SCIENCES","Score":null,"Total":0}
引用次数: 0

摘要

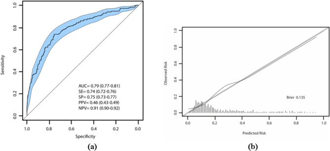
本研究的目的是开发并验证一个预测模型,用于预测需要进行医院间转运的 COVID-19 重症患者的死亡率。这项多中心前瞻性观察研究于 2021 年 1 月 1 日至 2021 年 4 月 30 日(第三波和第四波大流行)期间在西班牙八个自治区的紧急医疗服务区域协调中心进行。研究对象包括转院至其他医院的重症 COVID-19 住院患者。收集了初步评估的临床变量、分诊评分和院内死亡率。为了拟合死亡率预测模型,我们进行了拉索型回归分析,并通过缺一交叉验证评估了该模型的性能。随后,创建了地区大规模分流(MATER)评分。共纳入了 1,018 名转院患者,他们的平均年龄为 62.3 岁(SD 12),其中 65.1% 为男性,89.6% 入住了重症监护病房。院内死亡率为 23.0%。MATER 评分包括六个变量,具有良好的区分能力,曲线下面积为 0.79(95% CI 0.77-0.81),校准效果良好,布赖尔评分为 0.135。MATER 评分成功预测了 COVID-19 重症患者的死亡率,有助于在大规模危重症患者激增时进行分流和转运优先级的决策。
本文章由计算机程序翻译,如有差异,请以英文原文为准。

A transfer triage tool for COVID-19 mass critical care surges.

A transfer triage tool for COVID-19 mass critical care surges.

A transfer triage tool for COVID-19 mass critical care surges.

A transfer triage tool for COVID-19 mass critical care surges.

The objective of this study is to develop and validate a predictive model for mortality among severe COVID-19 patients who are candidates for inter-hospital transfer. A multicenter prospective observational study was conducted between 1 January 2021 and 30 April 2021 (third and fourth pandemic waves) in regional coordination centers of the Emergency Medical Services of eight Spanish autonomous communities. Hospitalized patients with severe COVID-19 transferred to other hospitals were included. Clinical variables from the initial evaluation, the triage score, and in-hospital mortality rates were collected. A Lasso-type regression analysis was performed to fit the mortality predictive model and its performance was evaluated by a leave-one-out cross-validation. Subsequently, the regional mass triage (MATER) score was created. 1,018 transferred patients were included, with a mean age of 62.3 years (SD 12), of whom 65.1% were male and 89.6% were admitted to an Intensive Care Unit. In-hospital mortality was 23.0%. The MATER score included six variables and presented good discrimination ability with an area under the curve of 0.79 (95% CI 0.77-0.81) and a good calibration with a Brier score of 0.135. The MATER score successfully predicted the mortality rate of severe COVID-19 patients and can be helpful in decision-making for triage and transfer prioritization in mass critical care surges.

求助全文
通过发布文献求助,成功后即可免费获取论文全文。 去求助
来源期刊
Scientific Reports
Scientific Reports Natural Science Disciplines-
CiteScore
7.50
自引率
4.30%
发文量
19567
审稿时长
3.9 months
期刊介绍: We publish original research from all areas of the natural sciences, psychology, medicine and engineering. You can learn more about what we publish by browsing our specific scientific subject areas below or explore Scientific Reports by browsing all articles and collections. Scientific Reports has a 2-year impact factor: 4.380 (2021), and is the 6th most-cited journal in the world, with more than 540,000 citations in 2020 (Clarivate Analytics, 2021). •Engineering Engineering covers all aspects of engineering, technology, and applied science. It plays a crucial role in the development of technologies to address some of the world''s biggest challenges, helping to save lives and improve the way we live. •Physical sciences Physical sciences are those academic disciplines that aim to uncover the underlying laws of nature — often written in the language of mathematics. It is a collective term for areas of study including astronomy, chemistry, materials science and physics. •Earth and environmental sciences Earth and environmental sciences cover all aspects of Earth and planetary science and broadly encompass solid Earth processes, surface and atmospheric dynamics, Earth system history, climate and climate change, marine and freshwater systems, and ecology. It also considers the interactions between humans and these systems. •Biological sciences Biological sciences encompass all the divisions of natural sciences examining various aspects of vital processes. The concept includes anatomy, physiology, cell biology, biochemistry and biophysics, and covers all organisms from microorganisms, animals to plants. •Health sciences The health sciences study health, disease and healthcare. This field of study aims to develop knowledge, interventions and technology for use in healthcare to improve the treatment of patients.
×
引用
GB/T 7714-2015
复制
MLA
复制
APA
复制
导出至
BibTeX EndNote RefMan NoteFirst NoteExpress
×
提示
您的信息不完整,为了账户安全,请先补充。
现在去补充
×
提示
您因"违规操作"
具体请查看互助需知
我知道了
×
提示
确定
请完成安全验证×
copy
已复制链接
快去分享给好友吧!
我知道了
右上角分享
点击右上角分享
0
联系我们:info@booksci.cn Book学术提供免费学术资源搜索服务,方便国内外学者检索中英文文献。致力于提供最便捷和优质的服务体验。 Copyright © 2023 布克学术 All rights reserved.
京ICP备2023020795号-1
ghs 京公网安备 11010802042870号
Book学术文献互助
Book学术文献互助群
群 号:604180095
Book学术官方微信