止血和炎症生物标志物与静脉血栓栓塞后的功能限制有关:前瞻性队列研究

IF 4.1 2区 医学 Q2 HEMATOLOGY
Seminars in thrombosis and hemostasis Pub Date : 2025-10-01 Epub Date: 2025-04-04 DOI:10.1055/a-2574-8775
Daniel Steiner, Stephan Nopp, Timothy Hoberstorfer, Oliver Schlager, Ingrid Pabinger, Benedikt Weber, Cihan Ay
{"title":"止血和炎症生物标志物与静脉血栓栓塞后的功能限制有关:前瞻性队列研究","authors":"Daniel Steiner, Stephan Nopp, Timothy Hoberstorfer, Oliver Schlager, Ingrid Pabinger, Benedikt Weber, Cihan Ay","doi":"10.1055/a-2574-8775","DOIUrl":null,"url":null,"abstract":"<p><p>Functional limitations often persist in patients with venous thromboembolism (VTE). The relevance of biomarkers for these outcomes remains unexplored. Therefore, we aimed to investigate the association of hemostatic, inflammatory, and cardiovascular biomarkers with functional limitations 3 months after VTE. We conducted a prospective cohort study, including patients with acute VTE within 21 days of diagnosis. Biomarker levels (D-dimer, fibrinogen, factor VIII [FVIII], von Willebrand factor antigen [VWF], C-reactive protein [CRP], troponin T, N-terminal pro-B-type natriuretic peptide [proBNP]) were measured at inclusion and 3 months. Functional limitations at 3 months were evaluated with the post-VTE functional status (PVFS) scale (0-4, higher indicating more limitations). The association of biomarkers with functional limitations was assessed with proportional odds models adjusted for confounders. Furthermore, we evaluated the area under the receiver operating characteristic curve (AUC-ROC) for the presence of slight-to-severe functional limitations. Overall, we included 290 patients (41.4% of women) with a median age of 54.9 years (interquartile range [IQR]: 43.1-64.2). D-dimer, fibrinogen, FVIII, VWF, and CRP measured at inclusion were independently associated with functional limitations at 3 months. VWF showed the most favorable AUC-ROC (0.62, 95% CI, 0.55-0.69). In patients with pulmonary embolism, troponin T and proBNP were not associated with functional limitations. At the 3-month follow-up, D-dimer was the only biomarker independently associated with functional limitations, yielding an area under the curve (AUC) of 0.62 (95% CI, 0.55-0.69). In conclusion, we identified biomarkers independently associated with functional limitations 3 months after VTE. Our results indicate a role of these biomarkers in the early identification of patients at risk of persistent functional limitations and suggest their involvement in the underlying mechanisms.</p>","PeriodicalId":21673,"journal":{"name":"Seminars in thrombosis and hemostasis","volume":" ","pages":"809-817"},"PeriodicalIF":4.1000,"publicationDate":"2025-10-01","publicationTypes":"Journal Article","fieldsOfStudy":null,"isOpenAccess":false,"openAccessPdf":"https://www.ncbi.nlm.nih.gov/pmc/articles/PMC12431823/pdf/","citationCount":"0","resultStr":"{\"title\":\"Hemostatic and Inflammatory Biomarkers are Associated with Functional Limitations after Venous Thromboembolism: A Prospective Cohort Study.\",\"authors\":\"Daniel Steiner, Stephan Nopp, Timothy Hoberstorfer, Oliver Schlager, Ingrid Pabinger, Benedikt Weber, Cihan Ay\",\"doi\":\"10.1055/a-2574-8775\",\"DOIUrl\":null,\"url\":null,\"abstract\":\"<p><p>Functional limitations often persist in patients with venous thromboembolism (VTE). The relevance of biomarkers for these outcomes remains unexplored. Therefore, we aimed to investigate the association of hemostatic, inflammatory, and cardiovascular biomarkers with functional limitations 3 months after VTE. We conducted a prospective cohort study, including patients with acute VTE within 21 days of diagnosis. Biomarker levels (D-dimer, fibrinogen, factor VIII [FVIII], von Willebrand factor antigen [VWF], C-reactive protein [CRP], troponin T, N-terminal pro-B-type natriuretic peptide [proBNP]) were measured at inclusion and 3 months. Functional limitations at 3 months were evaluated with the post-VTE functional status (PVFS) scale (0-4, higher indicating more limitations). The association of biomarkers with functional limitations was assessed with proportional odds models adjusted for confounders. Furthermore, we evaluated the area under the receiver operating characteristic curve (AUC-ROC) for the presence of slight-to-severe functional limitations. Overall, we included 290 patients (41.4% of women) with a median age of 54.9 years (interquartile range [IQR]: 43.1-64.2). D-dimer, fibrinogen, FVIII, VWF, and CRP measured at inclusion were independently associated with functional limitations at 3 months. VWF showed the most favorable AUC-ROC (0.62, 95% CI, 0.55-0.69). In patients with pulmonary embolism, troponin T and proBNP were not associated with functional limitations. At the 3-month follow-up, D-dimer was the only biomarker independently associated with functional limitations, yielding an area under the curve (AUC) of 0.62 (95% CI, 0.55-0.69). In conclusion, we identified biomarkers independently associated with functional limitations 3 months after VTE. Our results indicate a role of these biomarkers in the early identification of patients at risk of persistent functional limitations and suggest their involvement in the underlying mechanisms.</p>\",\"PeriodicalId\":21673,\"journal\":{\"name\":\"Seminars in thrombosis and hemostasis\",\"volume\":\" \",\"pages\":\"809-817\"},\"PeriodicalIF\":4.1000,\"publicationDate\":\"2025-10-01\",\"publicationTypes\":\"Journal Article\",\"fieldsOfStudy\":null,\"isOpenAccess\":false,\"openAccessPdf\":\"https://www.ncbi.nlm.nih.gov/pmc/articles/PMC12431823/pdf/\",\"citationCount\":\"0\",\"resultStr\":null,\"platform\":\"Semanticscholar\",\"paperid\":null,\"PeriodicalName\":\"Seminars in thrombosis and hemostasis\",\"FirstCategoryId\":\"3\",\"ListUrlMain\":\"https://doi.org/10.1055/a-2574-8775\",\"RegionNum\":2,\"RegionCategory\":\"医学\",\"ArticlePicture\":[],\"TitleCN\":null,\"AbstractTextCN\":null,\"PMCID\":null,\"EPubDate\":\"2025/4/4 0:00:00\",\"PubModel\":\"Epub\",\"JCR\":\"Q2\",\"JCRName\":\"HEMATOLOGY\",\"Score\":null,\"Total\":0}","platform":"Semanticscholar","paperid":null,"PeriodicalName":"Seminars in thrombosis and hemostasis","FirstCategoryId":"3","ListUrlMain":"https://doi.org/10.1055/a-2574-8775","RegionNum":2,"RegionCategory":"医学","ArticlePicture":[],"TitleCN":null,"AbstractTextCN":null,"PMCID":null,"EPubDate":"2025/4/4 0:00:00","PubModel":"Epub","JCR":"Q2","JCRName":"HEMATOLOGY","Score":null,"Total":0}
引用次数: 0

摘要

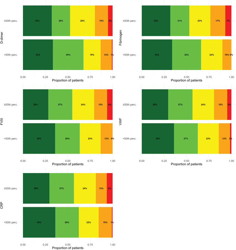
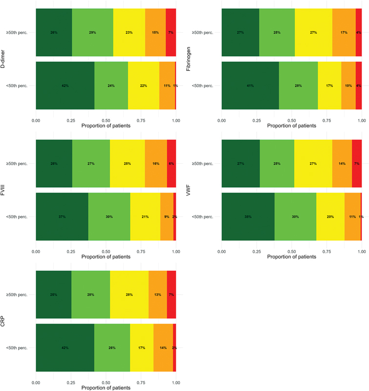
静脉血栓栓塞(VTE)患者的功能限制常持续存在。生物标志物与这些结果的相关性仍未被探索。因此,我们的目的是研究血栓栓塞后3个月止血、炎症和心血管生物标志物与功能限制的关系。我们进行了一项前瞻性队列研究,包括诊断后21天内的急性静脉血栓栓塞患者。生物标志物水平(d -二聚体、纤维蛋白原、因子VIII (FVIII)、血管性血友病因子抗原(VWF)、c反应蛋白(CRP)、肌钙蛋白T、n端前b型利钠肽(proBNP))在包涵和三个月时测定。用静脉血栓栓塞后功能状态量表评估3个月时的功能限制(0-4,越高表示功能限制越多)。生物标志物与功能限制的相关性通过调整混杂因素的比例优势模型进行评估。此外,我们评估了AUC-ROC是否存在轻微到严重的功能限制。总体而言,我们纳入了290例患者(41.4%为女性),中位年龄为54.9岁(IQR: 43.1-64.2)。包涵时测量的d -二聚体、纤维蛋白原、FVIII、VWF和CRP与3个月时的功能限制独立相关。VWF最有利AUC-ROC (0.62, 95%CI, 0.55-0.69)。在肺栓塞患者中,肌钙蛋白T和proBNP与功能限制无关。在三个月的随访中,d -二聚体是唯一与功能限制独立相关的生物标志物,AUC为0.62 (96%CI, 0.55-0.69)。总之,我们确定了与静脉血栓栓塞后3个月功能限制相关的生物标志物。我们的研究结果表明,这些生物标志物在早期识别有持续功能限制风险的患者中的作用,并表明它们参与了潜在的机制。
本文章由计算机程序翻译,如有差异,请以英文原文为准。

Hemostatic and Inflammatory Biomarkers are Associated with Functional Limitations after Venous Thromboembolism: A Prospective Cohort Study.

Hemostatic and Inflammatory Biomarkers are Associated with Functional Limitations after Venous Thromboembolism: A Prospective Cohort Study.

Hemostatic and Inflammatory Biomarkers are Associated with Functional Limitations after Venous Thromboembolism: A Prospective Cohort Study.

Functional limitations often persist in patients with venous thromboembolism (VTE). The relevance of biomarkers for these outcomes remains unexplored. Therefore, we aimed to investigate the association of hemostatic, inflammatory, and cardiovascular biomarkers with functional limitations 3 months after VTE. We conducted a prospective cohort study, including patients with acute VTE within 21 days of diagnosis. Biomarker levels (D-dimer, fibrinogen, factor VIII [FVIII], von Willebrand factor antigen [VWF], C-reactive protein [CRP], troponin T, N-terminal pro-B-type natriuretic peptide [proBNP]) were measured at inclusion and 3 months. Functional limitations at 3 months were evaluated with the post-VTE functional status (PVFS) scale (0-4, higher indicating more limitations). The association of biomarkers with functional limitations was assessed with proportional odds models adjusted for confounders. Furthermore, we evaluated the area under the receiver operating characteristic curve (AUC-ROC) for the presence of slight-to-severe functional limitations. Overall, we included 290 patients (41.4% of women) with a median age of 54.9 years (interquartile range [IQR]: 43.1-64.2). D-dimer, fibrinogen, FVIII, VWF, and CRP measured at inclusion were independently associated with functional limitations at 3 months. VWF showed the most favorable AUC-ROC (0.62, 95% CI, 0.55-0.69). In patients with pulmonary embolism, troponin T and proBNP were not associated with functional limitations. At the 3-month follow-up, D-dimer was the only biomarker independently associated with functional limitations, yielding an area under the curve (AUC) of 0.62 (95% CI, 0.55-0.69). In conclusion, we identified biomarkers independently associated with functional limitations 3 months after VTE. Our results indicate a role of these biomarkers in the early identification of patients at risk of persistent functional limitations and suggest their involvement in the underlying mechanisms.

求助全文
通过发布文献求助,成功后即可免费获取论文全文。 去求助
来源期刊
Seminars in thrombosis and hemostasis
Seminars in thrombosis and hemostasis 医学-外周血管病
CiteScore
8.80
自引率
21.10%
发文量
132
审稿时长
6-12 weeks
期刊介绍: Seminars in Thrombosis and Hemostasis is a topic driven review journal that focuses on all issues relating to hemostatic and thrombotic disorders. As one of the premiere review journals in the field, Seminars in Thrombosis and Hemostasis serves as a comprehensive forum for important advances in clinical and laboratory diagnosis and therapeutic interventions. The journal also publishes peer reviewed original research papers. Seminars offers an informed perspective on today''s pivotal issues, including hemophilia A & B, thrombophilia, gene therapy, venous and arterial thrombosis, von Willebrand disease, vascular disorders and thromboembolic diseases. Attention is also given to the latest developments in pharmaceutical drugs along with treatment and current management techniques. The journal also frequently publishes sponsored supplements to further highlight emerging trends in the field.
×
引用
GB/T 7714-2015
复制
MLA
复制
APA
复制
导出至
BibTeX EndNote RefMan NoteFirst NoteExpress
×
提示
您的信息不完整,为了账户安全,请先补充。
现在去补充
×
提示
您因"违规操作"
具体请查看互助需知
我知道了
×
提示
确定
请完成安全验证×
copy
已复制链接
快去分享给好友吧!
我知道了
右上角分享
点击右上角分享
0
联系我们:info@booksci.cn Book学术提供免费学术资源搜索服务,方便国内外学者检索中英文文献。致力于提供最便捷和优质的服务体验。 Copyright © 2023 布克学术 All rights reserved.
京ICP备2023020795号-1
ghs 京公网安备 11010802042870号
Book学术文献互助
Book学术文献互助群
群 号:604180095
Book学术官方微信