使用增强计算机断层扫描确定细胞外体积分数对透明细胞肾细胞癌病理分级的预测价值:初步研究。

IF 3.5 2区 医学 Q2 ONCOLOGY
Jian Liu, Xunlan Zhang, Rui Lv, Xiaoyong Zhang, Rongpin Wang, Xianchun Zeng
{"title":"使用增强计算机断层扫描确定细胞外体积分数对透明细胞肾细胞癌病理分级的预测价值:初步研究。","authors":"Jian Liu, Xunlan Zhang, Rui Lv, Xiaoyong Zhang, Rongpin Wang, Xianchun Zeng","doi":"10.1186/s40644-025-00866-0","DOIUrl":null,"url":null,"abstract":"<p><strong>Objective: </strong>To explore the potential of using the extracellular volume fraction (ECV), measured through enhanced computed tomography (CT), as a tool for determining the pathological grade of clear cell renal cell carcinoma (ccRCC).</p><p><strong>Methods: </strong>This retrospective study, approved by the institutional review board, included 65 patients (median age: 58.40 ± 10.84 years) who were diagnosed with ccRCC based on the nucleolar grading of the International Society of Urological Pathology (ISUP). All patients underwent preoperative abdominal enhanced CT between January 2022 and August 2024. CT features from the unenhanced, corticomedullary, nephrographic, and delayed phases were analyzed, and the extracellular volume fraction (ECV) of ccRCC was calculated by measuring CT values from regions of interest in both the unenhanced and nephrographic phases. Statistical significance was evaluated for differences in these parameters across the four ISUP grades. Additionally, diagnostic efficiency was assessed using receiver operating characteristic (ROC) curve analysis.</p><p><strong>Results: </strong>The ECV showed significant differences across the four ISUP grades of ccRCC, its potential as an important predictor of high-grade ccRCC (P = 0.035). The ROC curve analysis indicated that ECV exhibited the highest diagnostic efficacy for assessing the lower- and higher- pathological grade of ccRCC, with an area under the ROC curve of 0.976. The optimal diagnostic threshold for ECV was determined to be 41.64%, with a sensitivity of 91.31% and a specificity of 97.62%.</p><p><strong>Conclusions: </strong>ECV derived from enhanced CT has the potential to function as an in vivo biomarker for distinguishing between lower- and higher-grade ccRCC. This quantitative measure provides diagnostic value that extends beyond traditional qualitative CT features, offering a more precise and objective assessment of tumor grade.</p>","PeriodicalId":9548,"journal":{"name":"Cancer Imaging","volume":"25 1","pages":"49"},"PeriodicalIF":3.5000,"publicationDate":"2025-04-04","publicationTypes":"Journal Article","fieldsOfStudy":null,"isOpenAccess":false,"openAccessPdf":"https://www.ncbi.nlm.nih.gov/pmc/articles/PMC11969730/pdf/","citationCount":"0","resultStr":"{\"title\":\"Predictive value of extracellular volume fraction determined using enhanced computed tomography for pathological grading of clear cell renal cell carcinoma: a preliminary study.\",\"authors\":\"Jian Liu, Xunlan Zhang, Rui Lv, Xiaoyong Zhang, Rongpin Wang, Xianchun Zeng\",\"doi\":\"10.1186/s40644-025-00866-0\",\"DOIUrl\":null,\"url\":null,\"abstract\":\"<p><strong>Objective: </strong>To explore the potential of using the extracellular volume fraction (ECV), measured through enhanced computed tomography (CT), as a tool for determining the pathological grade of clear cell renal cell carcinoma (ccRCC).</p><p><strong>Methods: </strong>This retrospective study, approved by the institutional review board, included 65 patients (median age: 58.40 ± 10.84 years) who were diagnosed with ccRCC based on the nucleolar grading of the International Society of Urological Pathology (ISUP). All patients underwent preoperative abdominal enhanced CT between January 2022 and August 2024. CT features from the unenhanced, corticomedullary, nephrographic, and delayed phases were analyzed, and the extracellular volume fraction (ECV) of ccRCC was calculated by measuring CT values from regions of interest in both the unenhanced and nephrographic phases. Statistical significance was evaluated for differences in these parameters across the four ISUP grades. Additionally, diagnostic efficiency was assessed using receiver operating characteristic (ROC) curve analysis.</p><p><strong>Results: </strong>The ECV showed significant differences across the four ISUP grades of ccRCC, its potential as an important predictor of high-grade ccRCC (P = 0.035). The ROC curve analysis indicated that ECV exhibited the highest diagnostic efficacy for assessing the lower- and higher- pathological grade of ccRCC, with an area under the ROC curve of 0.976. The optimal diagnostic threshold for ECV was determined to be 41.64%, with a sensitivity of 91.31% and a specificity of 97.62%.</p><p><strong>Conclusions: </strong>ECV derived from enhanced CT has the potential to function as an in vivo biomarker for distinguishing between lower- and higher-grade ccRCC. This quantitative measure provides diagnostic value that extends beyond traditional qualitative CT features, offering a more precise and objective assessment of tumor grade.</p>\",\"PeriodicalId\":9548,\"journal\":{\"name\":\"Cancer Imaging\",\"volume\":\"25 1\",\"pages\":\"49\"},\"PeriodicalIF\":3.5000,\"publicationDate\":\"2025-04-04\",\"publicationTypes\":\"Journal Article\",\"fieldsOfStudy\":null,\"isOpenAccess\":false,\"openAccessPdf\":\"https://www.ncbi.nlm.nih.gov/pmc/articles/PMC11969730/pdf/\",\"citationCount\":\"0\",\"resultStr\":null,\"platform\":\"Semanticscholar\",\"paperid\":null,\"PeriodicalName\":\"Cancer Imaging\",\"FirstCategoryId\":\"3\",\"ListUrlMain\":\"https://doi.org/10.1186/s40644-025-00866-0\",\"RegionNum\":2,\"RegionCategory\":\"医学\",\"ArticlePicture\":[],\"TitleCN\":null,\"AbstractTextCN\":null,\"PMCID\":null,\"EPubDate\":\"\",\"PubModel\":\"\",\"JCR\":\"Q2\",\"JCRName\":\"ONCOLOGY\",\"Score\":null,\"Total\":0}","platform":"Semanticscholar","paperid":null,"PeriodicalName":"Cancer Imaging","FirstCategoryId":"3","ListUrlMain":"https://doi.org/10.1186/s40644-025-00866-0","RegionNum":2,"RegionCategory":"医学","ArticlePicture":[],"TitleCN":null,"AbstractTextCN":null,"PMCID":null,"EPubDate":"","PubModel":"","JCR":"Q2","JCRName":"ONCOLOGY","Score":null,"Total":0}
引用次数: 0

摘要

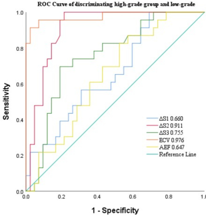
目的:探讨利用增强计算机断层扫描(CT)测量的细胞外体积分数(ECV)作为确定透明细胞肾细胞癌(ccRCC)病理分级工具的潜力。方法:本回顾性研究经机构审查委员会批准,纳入65例根据国际泌尿病理学会(ISUP)核仁分级诊断为ccRCC的患者(中位年龄:58.40±10.84岁)。所有患者均于2022年1月至2024年8月间行术前腹部增强CT检查。分析未增强期、皮质髓质期、肾图期和延迟期的CT特征,并通过测量未增强期和肾图期感兴趣区域的CT值计算ccRCC的细胞外体积分数(ECV)。对这些参数在四个ISUP等级之间的差异进行统计显著性评估。此外,采用受试者工作特征(ROC)曲线分析评估诊断效率。结果:ECV在四个ISUP分级的ccRCC中存在显著差异,其可能是ccRCC高级别的重要预测因子(P = 0.035)。ROC曲线分析显示,ECV对ccRCC低、高病理分级的诊断效能最高,其ROC曲线下面积为0.976。ECV的最佳诊断阈值为41.64%,敏感性为91.31%,特异性为97.62%。结论:增强CT衍生的ECV有可能作为区分低级别和高级别ccRCC的体内生物标志物。这种定量测量提供了超越传统定性CT特征的诊断价值,提供了更精确和客观的肿瘤分级评估。
本文章由计算机程序翻译,如有差异,请以英文原文为准。

Predictive value of extracellular volume fraction determined using enhanced computed tomography for pathological grading of clear cell renal cell carcinoma: a preliminary study.

Predictive value of extracellular volume fraction determined using enhanced computed tomography for pathological grading of clear cell renal cell carcinoma: a preliminary study.

Predictive value of extracellular volume fraction determined using enhanced computed tomography for pathological grading of clear cell renal cell carcinoma: a preliminary study.

Predictive value of extracellular volume fraction determined using enhanced computed tomography for pathological grading of clear cell renal cell carcinoma: a preliminary study.

Objective: To explore the potential of using the extracellular volume fraction (ECV), measured through enhanced computed tomography (CT), as a tool for determining the pathological grade of clear cell renal cell carcinoma (ccRCC).

Methods: This retrospective study, approved by the institutional review board, included 65 patients (median age: 58.40 ± 10.84 years) who were diagnosed with ccRCC based on the nucleolar grading of the International Society of Urological Pathology (ISUP). All patients underwent preoperative abdominal enhanced CT between January 2022 and August 2024. CT features from the unenhanced, corticomedullary, nephrographic, and delayed phases were analyzed, and the extracellular volume fraction (ECV) of ccRCC was calculated by measuring CT values from regions of interest in both the unenhanced and nephrographic phases. Statistical significance was evaluated for differences in these parameters across the four ISUP grades. Additionally, diagnostic efficiency was assessed using receiver operating characteristic (ROC) curve analysis.

Results: The ECV showed significant differences across the four ISUP grades of ccRCC, its potential as an important predictor of high-grade ccRCC (P = 0.035). The ROC curve analysis indicated that ECV exhibited the highest diagnostic efficacy for assessing the lower- and higher- pathological grade of ccRCC, with an area under the ROC curve of 0.976. The optimal diagnostic threshold for ECV was determined to be 41.64%, with a sensitivity of 91.31% and a specificity of 97.62%.

Conclusions: ECV derived from enhanced CT has the potential to function as an in vivo biomarker for distinguishing between lower- and higher-grade ccRCC. This quantitative measure provides diagnostic value that extends beyond traditional qualitative CT features, offering a more precise and objective assessment of tumor grade.

求助全文
通过发布文献求助,成功后即可免费获取论文全文。 去求助
来源期刊
Cancer Imaging
Cancer Imaging ONCOLOGY-RADIOLOGY, NUCLEAR MEDICINE & MEDICAL IMAGING
CiteScore
7.00
自引率
0.00%
发文量
66
审稿时长
>12 weeks
期刊介绍: Cancer Imaging is an open access, peer-reviewed journal publishing original articles, reviews and editorials written by expert international radiologists working in oncology. The journal encompasses CT, MR, PET, ultrasound, radionuclide and multimodal imaging in all kinds of malignant tumours, plus new developments, techniques and innovations. Topics of interest include: Breast Imaging Chest Complications of treatment Ear, Nose & Throat Gastrointestinal Hepatobiliary & Pancreatic Imaging biomarkers Interventional Lymphoma Measurement of tumour response Molecular functional imaging Musculoskeletal Neuro oncology Nuclear Medicine Paediatric.
×
引用
GB/T 7714-2015
复制
MLA
复制
APA
复制
导出至
BibTeX EndNote RefMan NoteFirst NoteExpress
×
提示
您的信息不完整,为了账户安全,请先补充。
现在去补充
×
提示
您因"违规操作"
具体请查看互助需知
我知道了
×
提示
确定
请完成安全验证×
copy
已复制链接
快去分享给好友吧!
我知道了
右上角分享
点击右上角分享
0
联系我们:info@booksci.cn Book学术提供免费学术资源搜索服务,方便国内外学者检索中英文文献。致力于提供最便捷和优质的服务体验。 Copyright © 2023 布克学术 All rights reserved.
京ICP备2023020795号-1
ghs 京公网安备 11010802042870号
Book学术文献互助
Book学术文献互助群
群 号:604180095
Book学术官方微信