甲状腺癌患者注射 rhTSH 后的血液和骨髓剂量测定。

IF 2.5 4区 医学 Q2 RADIOLOGY, NUCLEAR MEDICINE & MEDICAL IMAGING
Amna Juma Al Jabri, Jennie Cooke, Seán Cournane, Marie-Louise Healy
{"title":"甲状腺癌患者注射 rhTSH 后的血液和骨髓剂量测定。","authors":"Amna Juma Al Jabri,&nbsp;Jennie Cooke,&nbsp;Seán Cournane,&nbsp;Marie-Louise Healy","doi":"10.1007/s12149-025-02042-7","DOIUrl":null,"url":null,"abstract":"<div><h3>Purpose</h3><p>Radioiodine (<sup>131</sup>I) dosimetry is used to maximise tumour dose while reducing the chances of toxicity. High thyroid-stimulating-hormone (TSH) levels are required for <sup>131</sup>I treatment, achieved through hormone withdrawal or intramuscular injection of recombinant human TSH (rhTSH). Both approaches have shown equivalent results, with the rhTSH approach reported to reduce morbidity and avoid hypothyroidism. There are established differences in <sup>131</sup>I biokinetics using each method<i>.</i> This clinical cohort study investigated if pretherapy iodine biokinetics as measured using a dosimetry protocol without a dose of rhTSH are predictive of post therapy biokinetics in patients prepared with rhTSH injection.</p><h3>Methods</h3><p>Thirteen patients with differentiated thyroid cancer (DTC) were recruited. An adaptation of the European Association of Nuclear Medicine (EANM) dosimetry protocol was conducted at St James’s Hospital, Ireland. The maximum tolerable activity (MTA) was calculated using the EANM, Association of Physics in Medicine (AIFM) and Traino models, after administering <sup>131</sup>I, and subsequent whole-body (WB) dose-rate measurements and blood-sampling were carried out. The MTA estimated from pre-therapeutic (PT) <sup>131</sup>I tracer administration (6.07 ± 2.46 MBq) was compared to during therapy (DT) administration (3.88 ± 0.16 GBq).</p><h3>Results</h3><p>The PT WB residence-time overestimated the DT with a difference of − 7.72 ± 8.13% (<i>p</i> = 0.007), while no significant difference is reported between the blood residence-time (1.13 ± 6.49%, <i>p</i> = 0.559). The EANM model reported the lowest difference of 1.73 ± 4.83% (<i>p</i> = 0.241) in MTA.</p><h3>Conclusion</h3><p>This study validated the feasibility of using dosimetry in euthyroid patients to predict therapeutic <sup>131</sup>I biokinetics in DTC patients prepared with rhTSH.</p></div>","PeriodicalId":8007,"journal":{"name":"Annals of Nuclear Medicine","volume":"39 7","pages":"676 - 686"},"PeriodicalIF":2.5000,"publicationDate":"2025-04-05","publicationTypes":"Journal Article","fieldsOfStudy":null,"isOpenAccess":false,"openAccessPdf":"https://www.ncbi.nlm.nih.gov/pmc/articles/PMC12174295/pdf/","citationCount":"0","resultStr":"{\"title\":\"Blood and bone marrow dosimetry for thyroid cancer patients prepared with rhTSH injection\",\"authors\":\"Amna Juma Al Jabri,&nbsp;Jennie Cooke,&nbsp;Seán Cournane,&nbsp;Marie-Louise Healy\",\"doi\":\"10.1007/s12149-025-02042-7\",\"DOIUrl\":null,\"url\":null,\"abstract\":\"<div><h3>Purpose</h3><p>Radioiodine (<sup>131</sup>I) dosimetry is used to maximise tumour dose while reducing the chances of toxicity. High thyroid-stimulating-hormone (TSH) levels are required for <sup>131</sup>I treatment, achieved through hormone withdrawal or intramuscular injection of recombinant human TSH (rhTSH). Both approaches have shown equivalent results, with the rhTSH approach reported to reduce morbidity and avoid hypothyroidism. There are established differences in <sup>131</sup>I biokinetics using each method<i>.</i> This clinical cohort study investigated if pretherapy iodine biokinetics as measured using a dosimetry protocol without a dose of rhTSH are predictive of post therapy biokinetics in patients prepared with rhTSH injection.</p><h3>Methods</h3><p>Thirteen patients with differentiated thyroid cancer (DTC) were recruited. An adaptation of the European Association of Nuclear Medicine (EANM) dosimetry protocol was conducted at St James’s Hospital, Ireland. The maximum tolerable activity (MTA) was calculated using the EANM, Association of Physics in Medicine (AIFM) and Traino models, after administering <sup>131</sup>I, and subsequent whole-body (WB) dose-rate measurements and blood-sampling were carried out. The MTA estimated from pre-therapeutic (PT) <sup>131</sup>I tracer administration (6.07 ± 2.46 MBq) was compared to during therapy (DT) administration (3.88 ± 0.16 GBq).</p><h3>Results</h3><p>The PT WB residence-time overestimated the DT with a difference of − 7.72 ± 8.13% (<i>p</i> = 0.007), while no significant difference is reported between the blood residence-time (1.13 ± 6.49%, <i>p</i> = 0.559). The EANM model reported the lowest difference of 1.73 ± 4.83% (<i>p</i> = 0.241) in MTA.</p><h3>Conclusion</h3><p>This study validated the feasibility of using dosimetry in euthyroid patients to predict therapeutic <sup>131</sup>I biokinetics in DTC patients prepared with rhTSH.</p></div>\",\"PeriodicalId\":8007,\"journal\":{\"name\":\"Annals of Nuclear Medicine\",\"volume\":\"39 7\",\"pages\":\"676 - 686\"},\"PeriodicalIF\":2.5000,\"publicationDate\":\"2025-04-05\",\"publicationTypes\":\"Journal Article\",\"fieldsOfStudy\":null,\"isOpenAccess\":false,\"openAccessPdf\":\"https://www.ncbi.nlm.nih.gov/pmc/articles/PMC12174295/pdf/\",\"citationCount\":\"0\",\"resultStr\":null,\"platform\":\"Semanticscholar\",\"paperid\":null,\"PeriodicalName\":\"Annals of Nuclear Medicine\",\"FirstCategoryId\":\"3\",\"ListUrlMain\":\"https://link.springer.com/article/10.1007/s12149-025-02042-7\",\"RegionNum\":4,\"RegionCategory\":\"医学\",\"ArticlePicture\":[],\"TitleCN\":null,\"AbstractTextCN\":null,\"PMCID\":null,\"EPubDate\":\"\",\"PubModel\":\"\",\"JCR\":\"Q2\",\"JCRName\":\"RADIOLOGY, NUCLEAR MEDICINE & MEDICAL IMAGING\",\"Score\":null,\"Total\":0}","platform":"Semanticscholar","paperid":null,"PeriodicalName":"Annals of Nuclear Medicine","FirstCategoryId":"3","ListUrlMain":"https://link.springer.com/article/10.1007/s12149-025-02042-7","RegionNum":4,"RegionCategory":"医学","ArticlePicture":[],"TitleCN":null,"AbstractTextCN":null,"PMCID":null,"EPubDate":"","PubModel":"","JCR":"Q2","JCRName":"RADIOLOGY, NUCLEAR MEDICINE & MEDICAL IMAGING","Score":null,"Total":0}
引用次数: 0

摘要

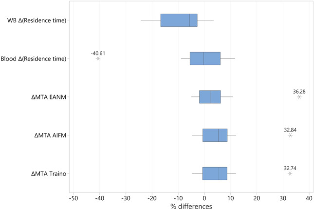
目的:放射性碘(131I)剂量测定用于最大限度地提高肿瘤剂量,同时降低毒性机会。131I 治疗需要较高的促甲状腺激素(TSH)水平,可通过停用激素或肌肉注射重组人 TSH(rhTSH)来实现。这两种方法的效果相当,据报道,rhTSH 方法可降低发病率,避免甲状腺功能减退。每种方法的 131I 生物动力学都存在差异。这项临床队列研究调查了使用剂量测定方案测量的治疗前碘生物动力学(不含rhTSH剂量)是否能预测注射rhTSH患者治疗后的生物动力学:招募了13名分化型甲状腺癌(DTC)患者。爱尔兰圣詹姆斯医院对欧洲核医学协会(EANM)剂量测定方案进行了调整。在施用 131I 后,使用欧洲核医学协会(EANM)、美国医学物理学会(AIFM)和 Traino 模型计算最大可耐受放射性活度(MTA),随后进行全身(WB)剂量率测量和血液采样。将治疗前(PT)施用 131I 示踪剂估计的 MTA(6.07 ± 2.46 MBq)与治疗中(DT)施用的 MTA(3.88 ± 0.16 GBq)进行了比较:结果:PT WB 滞留时间高估了 DT,差异为 - 7.72 ± 8.13% (p = 0.007),而血液滞留时间之间无显著差异 (1.13 ± 6.49%, p = 0.559)。EANM 模型报告的 MTA 差异最小,为 1.73 ± 4.83% (p = 0.241):本研究验证了使用甲状腺功能正常患者的剂量测定来预测使用 rhTSH 制备的 DTC 患者的 131I 治疗生物动力学的可行性。
本文章由计算机程序翻译,如有差异,请以英文原文为准。

Blood and bone marrow dosimetry for thyroid cancer patients prepared with rhTSH injection

Blood and bone marrow dosimetry for thyroid cancer patients prepared with rhTSH injection

Blood and bone marrow dosimetry for thyroid cancer patients prepared with rhTSH injection

Blood and bone marrow dosimetry for thyroid cancer patients prepared with rhTSH injection

Purpose

Radioiodine (131I) dosimetry is used to maximise tumour dose while reducing the chances of toxicity. High thyroid-stimulating-hormone (TSH) levels are required for 131I treatment, achieved through hormone withdrawal or intramuscular injection of recombinant human TSH (rhTSH). Both approaches have shown equivalent results, with the rhTSH approach reported to reduce morbidity and avoid hypothyroidism. There are established differences in 131I biokinetics using each method. This clinical cohort study investigated if pretherapy iodine biokinetics as measured using a dosimetry protocol without a dose of rhTSH are predictive of post therapy biokinetics in patients prepared with rhTSH injection.

Methods

Thirteen patients with differentiated thyroid cancer (DTC) were recruited. An adaptation of the European Association of Nuclear Medicine (EANM) dosimetry protocol was conducted at St James’s Hospital, Ireland. The maximum tolerable activity (MTA) was calculated using the EANM, Association of Physics in Medicine (AIFM) and Traino models, after administering 131I, and subsequent whole-body (WB) dose-rate measurements and blood-sampling were carried out. The MTA estimated from pre-therapeutic (PT) 131I tracer administration (6.07 ± 2.46 MBq) was compared to during therapy (DT) administration (3.88 ± 0.16 GBq).

Results

The PT WB residence-time overestimated the DT with a difference of − 7.72 ± 8.13% (p = 0.007), while no significant difference is reported between the blood residence-time (1.13 ± 6.49%, p = 0.559). The EANM model reported the lowest difference of 1.73 ± 4.83% (p = 0.241) in MTA.

Conclusion

This study validated the feasibility of using dosimetry in euthyroid patients to predict therapeutic 131I biokinetics in DTC patients prepared with rhTSH.

求助全文
通过发布文献求助,成功后即可免费获取论文全文。 去求助
来源期刊
Annals of Nuclear Medicine
Annals of Nuclear Medicine 医学-核医学
CiteScore
4.90
自引率
7.70%
发文量
111
审稿时长
4-8 weeks
期刊介绍: Annals of Nuclear Medicine is an official journal of the Japanese Society of Nuclear Medicine. It develops the appropriate application of radioactive substances and stable nuclides in the field of medicine. The journal promotes the exchange of ideas and information and research in nuclear medicine and includes the medical application of radionuclides and related subjects. It presents original articles, short communications, reviews and letters to the editor.
×
引用
GB/T 7714-2015
复制
MLA
复制
APA
复制
导出至
BibTeX EndNote RefMan NoteFirst NoteExpress
×
提示
您的信息不完整,为了账户安全,请先补充。
现在去补充
×
提示
您因"违规操作"
具体请查看互助需知
我知道了
×
提示
确定
请完成安全验证×
copy
已复制链接
快去分享给好友吧!
我知道了
右上角分享
点击右上角分享
0
联系我们:info@booksci.cn Book学术提供免费学术资源搜索服务,方便国内外学者检索中英文文献。致力于提供最便捷和优质的服务体验。 Copyright © 2023 布克学术 All rights reserved.
京ICP备2023020795号-1
ghs 京公网安备 11010802042870号
Book学术文献互助
Book学术文献互助群
群 号:604180095
Book学术官方微信