日常养育与青少年适应不良:COVID-19大流行之前和期间的两波多信息源每日日记研究》(A Two-Wave Multi-Informant Daily Diary Study Before and During the COVID-19 Pandemic)。

IF 3.2 2区 心理学 Q2 PSYCHOLOGY, DEVELOPMENTAL
Yiqun Wu, Kehan Li, Yao Zheng
{"title":"日常养育与青少年适应不良:COVID-19大流行之前和期间的两波多信息源每日日记研究》(A Two-Wave Multi-Informant Daily Diary Study Before and During the COVID-19 Pandemic)。","authors":"Yiqun Wu,&nbsp;Kehan Li,&nbsp;Yao Zheng","doi":"10.1002/jad.12492","DOIUrl":null,"url":null,"abstract":"<div>\n \n \n <section>\n \n <h3> Introduction</h3>\n \n <p>The COVID-19 pandemic posed major challenges to parent–adolescent relationships under global stressors. Scant research has examined changes in the daily links between parenting behaviors and adolescent maladjustment before and after the onset of the pandemic. This study investigated the within-day associations between two parenting behaviors—positive parenting and psychological control—and three adolescent maladjustments—conduct problems, emotional problems, and negative affect—before and during COVID-19 through a two-wave multi-informant month-long daily diary study.</p>\n </section>\n \n <section>\n \n <h3> Methods</h3>\n \n <p>A total of 3041 daily observations from 30 parent–adolescent dyads collected in Canada (adolescents: <i>M</i> = 14.3, 39% female, 42% White; parents: <i>M</i> = 43.5, 72% female, 42% White) were assessed before (2019, <i>n</i><sub>observation</sub> = 778 and 772, for adolescents and parents, respectively) and during (2022, <i>n</i><sub>observation</sub> = 737 and 754) the pandemic.</p>\n </section>\n \n <section>\n \n <h3> Results</h3>\n \n <p>Positive parenting and conduct problems decreased, while emotional problems increased from before to during the COVID-19 pandemic. Multi-level modeling showed that positive parenting was negatively linked with conduct problems and negative affect on the same day, whereas psychological control was positively linked with conduct problems and negative affect on the same day. Based on adolescent-reports, the onset of the pandemic suppressed the negative relation between positive parenting and negative affect, and amplified the positive relation between psychological control and emotional problems.</p>\n </section>\n \n <section>\n \n <h3> Conclusions</h3>\n \n <p>These findings provide crucial evidence for changes in the daily links between parenting behaviors and adolescent maladjustment from before to during the pandemic. Family-based interventions should target daily parenting behaviors during periods of stress and uncertainty to promote adolescent adjustment.</p>\n </section>\n </div>","PeriodicalId":48397,"journal":{"name":"Journal of Adolescence","volume":"97 5","pages":"1246-1260"},"PeriodicalIF":3.2000,"publicationDate":"2025-04-03","publicationTypes":"Journal Article","fieldsOfStudy":null,"isOpenAccess":false,"openAccessPdf":"https://onlinelibrary.wiley.com/doi/epdf/10.1002/jad.12492","citationCount":"0","resultStr":"{\"title\":\"Daily Parenting and Adolescent Maladjustment: A Two-Wave Multi-Informant Daily Diary Study Before and During the COVID-19 Pandemic\",\"authors\":\"Yiqun Wu,&nbsp;Kehan Li,&nbsp;Yao Zheng\",\"doi\":\"10.1002/jad.12492\",\"DOIUrl\":null,\"url\":null,\"abstract\":\"<div>\\n \\n \\n <section>\\n \\n <h3> Introduction</h3>\\n \\n <p>The COVID-19 pandemic posed major challenges to parent–adolescent relationships under global stressors. Scant research has examined changes in the daily links between parenting behaviors and adolescent maladjustment before and after the onset of the pandemic. This study investigated the within-day associations between two parenting behaviors—positive parenting and psychological control—and three adolescent maladjustments—conduct problems, emotional problems, and negative affect—before and during COVID-19 through a two-wave multi-informant month-long daily diary study.</p>\\n </section>\\n \\n <section>\\n \\n <h3> Methods</h3>\\n \\n <p>A total of 3041 daily observations from 30 parent–adolescent dyads collected in Canada (adolescents: <i>M</i> = 14.3, 39% female, 42% White; parents: <i>M</i> = 43.5, 72% female, 42% White) were assessed before (2019, <i>n</i><sub>observation</sub> = 778 and 772, for adolescents and parents, respectively) and during (2022, <i>n</i><sub>observation</sub> = 737 and 754) the pandemic.</p>\\n </section>\\n \\n <section>\\n \\n <h3> Results</h3>\\n \\n <p>Positive parenting and conduct problems decreased, while emotional problems increased from before to during the COVID-19 pandemic. Multi-level modeling showed that positive parenting was negatively linked with conduct problems and negative affect on the same day, whereas psychological control was positively linked with conduct problems and negative affect on the same day. Based on adolescent-reports, the onset of the pandemic suppressed the negative relation between positive parenting and negative affect, and amplified the positive relation between psychological control and emotional problems.</p>\\n </section>\\n \\n <section>\\n \\n <h3> Conclusions</h3>\\n \\n <p>These findings provide crucial evidence for changes in the daily links between parenting behaviors and adolescent maladjustment from before to during the pandemic. Family-based interventions should target daily parenting behaviors during periods of stress and uncertainty to promote adolescent adjustment.</p>\\n </section>\\n </div>\",\"PeriodicalId\":48397,\"journal\":{\"name\":\"Journal of Adolescence\",\"volume\":\"97 5\",\"pages\":\"1246-1260\"},\"PeriodicalIF\":3.2000,\"publicationDate\":\"2025-04-03\",\"publicationTypes\":\"Journal Article\",\"fieldsOfStudy\":null,\"isOpenAccess\":false,\"openAccessPdf\":\"https://onlinelibrary.wiley.com/doi/epdf/10.1002/jad.12492\",\"citationCount\":\"0\",\"resultStr\":null,\"platform\":\"Semanticscholar\",\"paperid\":null,\"PeriodicalName\":\"Journal of Adolescence\",\"FirstCategoryId\":\"102\",\"ListUrlMain\":\"https://onlinelibrary.wiley.com/doi/10.1002/jad.12492\",\"RegionNum\":2,\"RegionCategory\":\"心理学\",\"ArticlePicture\":[],\"TitleCN\":null,\"AbstractTextCN\":null,\"PMCID\":null,\"EPubDate\":\"\",\"PubModel\":\"\",\"JCR\":\"Q2\",\"JCRName\":\"PSYCHOLOGY, DEVELOPMENTAL\",\"Score\":null,\"Total\":0}","platform":"Semanticscholar","paperid":null,"PeriodicalName":"Journal of Adolescence","FirstCategoryId":"102","ListUrlMain":"https://onlinelibrary.wiley.com/doi/10.1002/jad.12492","RegionNum":2,"RegionCategory":"心理学","ArticlePicture":[],"TitleCN":null,"AbstractTextCN":null,"PMCID":null,"EPubDate":"","PubModel":"","JCR":"Q2","JCRName":"PSYCHOLOGY, DEVELOPMENTAL","Score":null,"Total":0}
引用次数: 0

摘要

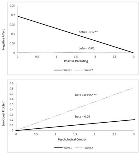
导言:2019冠状病毒病大流行给全球压力下的亲子关系带来了重大挑战。很少有研究调查了在大流行爆发前后父母行为与青少年适应不良之间日常联系的变化。本研究通过一项为期一个月的两波多信息来源每日日记研究,调查了COVID-19之前和期间两种养育行为(积极养育和心理控制)和三种青少年适应不良(行为问题、情绪问题和负面影响)之间的日内关联。方法:从加拿大收集的30对父母-青少年夫妇共3041次每日观察(青少年:M = 14.3,女性39%,白人42%;父母:M = 43.5, 72%女性,42%白人)在大流行之前(2019年,分别为青少年和父母,观察值= 778和772)和期间(2022年,观察值= 737和754)进行了评估。结果:与疫情前相比,积极育儿和行为问题有所减少,而情绪问题有所增加。多层次模型分析表明,积极的父母教养方式与当日行为问题和当日消极影响呈负相关,而心理控制与当日行为问题和当日消极影响呈正相关。根据青少年报告,大流行的爆发抑制了积极育儿与消极影响之间的负相关关系,放大了心理控制与情绪问题之间的正相关关系。结论:这些发现为大流行之前和期间父母行为与青少年适应不良之间日常联系的变化提供了重要证据。以家庭为基础的干预措施应针对压力和不确定时期的日常养育行为,以促进青少年的适应。
本文章由计算机程序翻译,如有差异,请以英文原文为准。

Daily Parenting and Adolescent Maladjustment: A Two-Wave Multi-Informant Daily Diary Study Before and During the COVID-19 Pandemic

Daily Parenting and Adolescent Maladjustment: A Two-Wave Multi-Informant Daily Diary Study Before and During the COVID-19 Pandemic

Introduction

The COVID-19 pandemic posed major challenges to parent–adolescent relationships under global stressors. Scant research has examined changes in the daily links between parenting behaviors and adolescent maladjustment before and after the onset of the pandemic. This study investigated the within-day associations between two parenting behaviors—positive parenting and psychological control—and three adolescent maladjustments—conduct problems, emotional problems, and negative affect—before and during COVID-19 through a two-wave multi-informant month-long daily diary study.

Methods

A total of 3041 daily observations from 30 parent–adolescent dyads collected in Canada (adolescents: M = 14.3, 39% female, 42% White; parents: M = 43.5, 72% female, 42% White) were assessed before (2019, nobservation = 778 and 772, for adolescents and parents, respectively) and during (2022, nobservation = 737 and 754) the pandemic.

Results

Positive parenting and conduct problems decreased, while emotional problems increased from before to during the COVID-19 pandemic. Multi-level modeling showed that positive parenting was negatively linked with conduct problems and negative affect on the same day, whereas psychological control was positively linked with conduct problems and negative affect on the same day. Based on adolescent-reports, the onset of the pandemic suppressed the negative relation between positive parenting and negative affect, and amplified the positive relation between psychological control and emotional problems.

Conclusions

These findings provide crucial evidence for changes in the daily links between parenting behaviors and adolescent maladjustment from before to during the pandemic. Family-based interventions should target daily parenting behaviors during periods of stress and uncertainty to promote adolescent adjustment.

求助全文
通过发布文献求助,成功后即可免费获取论文全文。 去求助
来源期刊
Journal of Adolescence
Journal of Adolescence PSYCHOLOGY, DEVELOPMENTAL-
CiteScore
6.40
自引率
2.60%
发文量
123
期刊介绍: The Journal of Adolescence is an international, broad based, cross-disciplinary journal that addresses issues of professional and academic importance concerning development between puberty and the attainment of adult status within society. It provides a forum for all who are concerned with the nature of adolescence, whether involved in teaching, research, guidance, counseling, treatment, or other services. The aim of the journal is to encourage research and foster good practice through publishing both empirical and clinical studies as well as integrative reviews and theoretical advances.
×
引用
GB/T 7714-2015
复制
MLA
复制
APA
复制
导出至
BibTeX EndNote RefMan NoteFirst NoteExpress
×
提示
您的信息不完整,为了账户安全,请先补充。
现在去补充
×
提示
您因"违规操作"
具体请查看互助需知
我知道了
×
提示
确定
请完成安全验证×
copy
已复制链接
快去分享给好友吧!
我知道了
右上角分享
点击右上角分享
0
联系我们:info@booksci.cn Book学术提供免费学术资源搜索服务,方便国内外学者检索中英文文献。致力于提供最便捷和优质的服务体验。 Copyright © 2023 布克学术 All rights reserved.
京ICP备2023020795号-1
ghs 京公网安备 11010802042870号
Book学术文献互助
Book学术文献互助群
群 号:604180095
Book学术官方微信