用于评估膝关节和肩关节等长力量的起重机量表的可靠性和有效性。

IF 2.1 Q3 SPORT SCIENCES
International Journal of Sports Physical Therapy Pub Date : 2025-04-01 eCollection Date: 2025-01-01 DOI:10.26603/001c.132166
Jon Dignazio, Hannah Marchant, Brady Hutchinson, Adam Popchak, Andrew L Sprague
{"title":"用于评估膝关节和肩关节等长力量的起重机量表的可靠性和有效性。","authors":"Jon Dignazio, Hannah Marchant, Brady Hutchinson, Adam Popchak, Andrew L Sprague","doi":"10.26603/001c.132166","DOIUrl":null,"url":null,"abstract":"<p><strong>Background: </strong>Due to cost barriers and/or space constraints, electromechanical and hand-held dynamometry are underutilized in rehabilitation settings. As a result, clinicians often rely on semi-quantitative methods that may fail to detect deficits in upper or lower extremity strength. The purpose of this study was to examine the between-trials test-retest reliability and concurrent criterion validity of an accessible crane scale for measuring isometric knee and shoulder strength.</p><p><strong>Study design: </strong>Observational cohort, Cross-sectional study.</p><p><strong>Methods: </strong>Twenty healthy, recreationally active adults underwent isometric knee and shoulder strength testing using a crane scale, electromechanical dynamometer, and hand-held dynamometer during a single session. Knee extension and flexion, and shoulder internal rotation, external rotation, and abduction were tested. Three maximal effort trials were performed per device and motion, with the order of device testing randomized. Between-trials test-retest reliability of the crane scale was assessed using intraclass correlation coefficients (ICCs). Concurrent criterion validity was examined using ICCs, absolute and relative error, Bland-Altman plots, and simple linear regression.</p><p><strong>Results: </strong>Test-retest reliability of the crane scale was excellent for all motions (ICCs ≥ 0.90). Concurrent validity was poor to moderate with the electromechanical dynamometer (ICCs = 0.36-0.72) but excellent with the hand-held dynamometer (ICCs ≥ 0.90). There was a negative bias for the crane scale compared to alternative devices and evidence of a proportional bias for knee extension and shoulder abduction.</p><p><strong>Conclusions: </strong>A crane scale provides values similar to hand-held dynamometry but is not comparable to results from electromechanical dynamometry. The lack of concurrent validity between the crane scale and electromechanical dynamometry may be partially attributable to differences in stabilization and participant positioning.</p><p><strong>Level of evidence: </strong>3b, reliablity and validity study.</p>","PeriodicalId":47892,"journal":{"name":"International Journal of Sports Physical Therapy","volume":"20 4","pages":"583-594"},"PeriodicalIF":2.1000,"publicationDate":"2025-04-01","publicationTypes":"Journal Article","fieldsOfStudy":null,"isOpenAccess":false,"openAccessPdf":"https://www.ncbi.nlm.nih.gov/pmc/articles/PMC11964687/pdf/","citationCount":"0","resultStr":"{\"title\":\"Reliability and Validity of a Crane Scale for Isometric Knee and Shoulder Strength Assessment.\",\"authors\":\"Jon Dignazio, Hannah Marchant, Brady Hutchinson, Adam Popchak, Andrew L Sprague\",\"doi\":\"10.26603/001c.132166\",\"DOIUrl\":null,\"url\":null,\"abstract\":\"<p><strong>Background: </strong>Due to cost barriers and/or space constraints, electromechanical and hand-held dynamometry are underutilized in rehabilitation settings. As a result, clinicians often rely on semi-quantitative methods that may fail to detect deficits in upper or lower extremity strength. The purpose of this study was to examine the between-trials test-retest reliability and concurrent criterion validity of an accessible crane scale for measuring isometric knee and shoulder strength.</p><p><strong>Study design: </strong>Observational cohort, Cross-sectional study.</p><p><strong>Methods: </strong>Twenty healthy, recreationally active adults underwent isometric knee and shoulder strength testing using a crane scale, electromechanical dynamometer, and hand-held dynamometer during a single session. Knee extension and flexion, and shoulder internal rotation, external rotation, and abduction were tested. Three maximal effort trials were performed per device and motion, with the order of device testing randomized. Between-trials test-retest reliability of the crane scale was assessed using intraclass correlation coefficients (ICCs). Concurrent criterion validity was examined using ICCs, absolute and relative error, Bland-Altman plots, and simple linear regression.</p><p><strong>Results: </strong>Test-retest reliability of the crane scale was excellent for all motions (ICCs ≥ 0.90). Concurrent validity was poor to moderate with the electromechanical dynamometer (ICCs = 0.36-0.72) but excellent with the hand-held dynamometer (ICCs ≥ 0.90). There was a negative bias for the crane scale compared to alternative devices and evidence of a proportional bias for knee extension and shoulder abduction.</p><p><strong>Conclusions: </strong>A crane scale provides values similar to hand-held dynamometry but is not comparable to results from electromechanical dynamometry. The lack of concurrent validity between the crane scale and electromechanical dynamometry may be partially attributable to differences in stabilization and participant positioning.</p><p><strong>Level of evidence: </strong>3b, reliablity and validity study.</p>\",\"PeriodicalId\":47892,\"journal\":{\"name\":\"International Journal of Sports Physical Therapy\",\"volume\":\"20 4\",\"pages\":\"583-594\"},\"PeriodicalIF\":2.1000,\"publicationDate\":\"2025-04-01\",\"publicationTypes\":\"Journal Article\",\"fieldsOfStudy\":null,\"isOpenAccess\":false,\"openAccessPdf\":\"https://www.ncbi.nlm.nih.gov/pmc/articles/PMC11964687/pdf/\",\"citationCount\":\"0\",\"resultStr\":null,\"platform\":\"Semanticscholar\",\"paperid\":null,\"PeriodicalName\":\"International Journal of Sports Physical Therapy\",\"FirstCategoryId\":\"1085\",\"ListUrlMain\":\"https://doi.org/10.26603/001c.132166\",\"RegionNum\":0,\"RegionCategory\":null,\"ArticlePicture\":[],\"TitleCN\":null,\"AbstractTextCN\":null,\"PMCID\":null,\"EPubDate\":\"2025/1/1 0:00:00\",\"PubModel\":\"eCollection\",\"JCR\":\"Q3\",\"JCRName\":\"SPORT SCIENCES\",\"Score\":null,\"Total\":0}","platform":"Semanticscholar","paperid":null,"PeriodicalName":"International Journal of Sports Physical Therapy","FirstCategoryId":"1085","ListUrlMain":"https://doi.org/10.26603/001c.132166","RegionNum":0,"RegionCategory":null,"ArticlePicture":[],"TitleCN":null,"AbstractTextCN":null,"PMCID":null,"EPubDate":"2025/1/1 0:00:00","PubModel":"eCollection","JCR":"Q3","JCRName":"SPORT SCIENCES","Score":null,"Total":0}
引用次数: 0

摘要

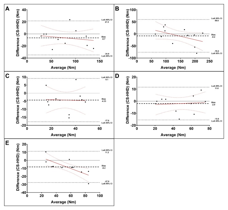
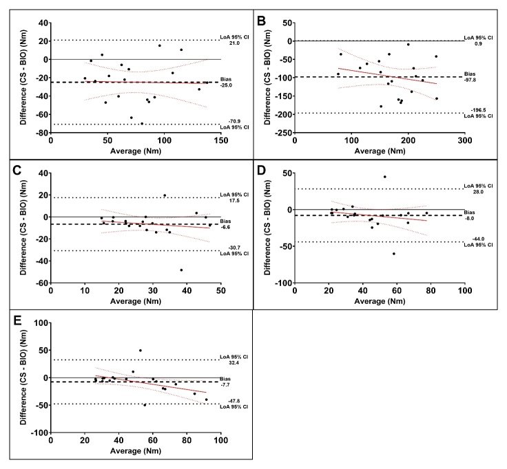
背景:由于成本障碍和/或空间限制,机电和手持式测力仪在康复环境中未得到充分利用。因此,临床医生往往依赖半定量的方法,这可能无法检测到上肢或下肢力量的缺陷。本研究的目的是检验一种可及起重机量表用于测量等距膝关节和肩部力量的试验间测试-重测信度和并发效度。研究设计:观察队列,横断面研究。方法:20名健康、娱乐活动的成年人在一次训练中使用起重机秤、机电测力计和手持式测力计进行膝关节和肩部力量测试。测试膝关节伸展和屈曲,肩关节内旋、外旋和外展。每个装置和动作进行3次最大努力试验,装置试验的顺序随机化。采用类内相关系数(ICCs)评估起重机量表的试验间测试-重测信度。采用ICCs、绝对误差和相对误差、Bland-Altman图和简单线性回归检验并发标准效度。结果:起重机量表对所有运动的重测信度都很好(ICCs≥0.90)。机电测功机的并发效度差至中等(ICCs = 0.36 ~ 0.72),而手持式测功机的并发效度优异(ICCs≥0.90)。与其他器械相比,起重机量表存在负偏倚,并且有证据表明膝关节伸展和肩部外展存在比例偏倚。结论:起重机秤提供的数值与手持式测力仪相似,但与机电测力仪的结果不可比较。起重机量表和机电动力测量之间缺乏同步效度可能部分归因于稳定化和参与者定位的差异。证据水平:3b,信度和效度研究。
本文章由计算机程序翻译,如有差异,请以英文原文为准。

Reliability and Validity of a Crane Scale for Isometric Knee and Shoulder Strength Assessment.

Reliability and Validity of a Crane Scale for Isometric Knee and Shoulder Strength Assessment.

Reliability and Validity of a Crane Scale for Isometric Knee and Shoulder Strength Assessment.

Reliability and Validity of a Crane Scale for Isometric Knee and Shoulder Strength Assessment.

Background: Due to cost barriers and/or space constraints, electromechanical and hand-held dynamometry are underutilized in rehabilitation settings. As a result, clinicians often rely on semi-quantitative methods that may fail to detect deficits in upper or lower extremity strength. The purpose of this study was to examine the between-trials test-retest reliability and concurrent criterion validity of an accessible crane scale for measuring isometric knee and shoulder strength.

Study design: Observational cohort, Cross-sectional study.

Methods: Twenty healthy, recreationally active adults underwent isometric knee and shoulder strength testing using a crane scale, electromechanical dynamometer, and hand-held dynamometer during a single session. Knee extension and flexion, and shoulder internal rotation, external rotation, and abduction were tested. Three maximal effort trials were performed per device and motion, with the order of device testing randomized. Between-trials test-retest reliability of the crane scale was assessed using intraclass correlation coefficients (ICCs). Concurrent criterion validity was examined using ICCs, absolute and relative error, Bland-Altman plots, and simple linear regression.

Results: Test-retest reliability of the crane scale was excellent for all motions (ICCs ≥ 0.90). Concurrent validity was poor to moderate with the electromechanical dynamometer (ICCs = 0.36-0.72) but excellent with the hand-held dynamometer (ICCs ≥ 0.90). There was a negative bias for the crane scale compared to alternative devices and evidence of a proportional bias for knee extension and shoulder abduction.

Conclusions: A crane scale provides values similar to hand-held dynamometry but is not comparable to results from electromechanical dynamometry. The lack of concurrent validity between the crane scale and electromechanical dynamometry may be partially attributable to differences in stabilization and participant positioning.

Level of evidence: 3b, reliablity and validity study.

求助全文
通过发布文献求助,成功后即可免费获取论文全文。 去求助
来源期刊
CiteScore
2.50
自引率
5.90%
发文量
124
审稿时长
16 weeks
×
引用
GB/T 7714-2015
复制
MLA
复制
APA
复制
导出至
BibTeX EndNote RefMan NoteFirst NoteExpress
×
提示
您的信息不完整,为了账户安全,请先补充。
现在去补充
×
提示
您因"违规操作"
具体请查看互助需知
我知道了
×
提示
确定
请完成安全验证×
copy
已复制链接
快去分享给好友吧!
我知道了
右上角分享
点击右上角分享
0
联系我们:info@booksci.cn Book学术提供免费学术资源搜索服务,方便国内外学者检索中英文文献。致力于提供最便捷和优质的服务体验。 Copyright © 2023 布克学术 All rights reserved.
京ICP备2023020795号-1
ghs 京公网安备 11010802042870号
Book学术文献互助
Book学术文献互助群
群 号:604180095
Book学术官方微信