在南非,伽马间隙和白蛋白-球蛋白比值对单克隆丙种球蛋白病筛查的灵敏度较低。

IF 1.2 Q4 MEDICINE, RESEARCH & EXPERIMENTAL
African Journal of Laboratory Medicine Pub Date : 2025-03-26 eCollection Date: 2025-01-01 DOI:10.4102/ajlm.v14i1.2505
Njabulo Khumalo, Cameron A Francis, Siphiwe M Baloyi, Jody A Rusch
{"title":"在南非,伽马间隙和白蛋白-球蛋白比值对单克隆丙种球蛋白病筛查的灵敏度较低。","authors":"Njabulo Khumalo, Cameron A Francis, Siphiwe M Baloyi, Jody A Rusch","doi":"10.4102/ajlm.v14i1.2505","DOIUrl":null,"url":null,"abstract":"<p><strong>Background: </strong>Monoclonal gammopathies, including multiple myeloma, present significant challenges in sub-Saharan Africa. Diagnosis is often missed because of limited screening tools. The gamma gap and albumin-globulin ratio (AGR) have been proposed as simple, cost-effective screening methods; however, their utility in settings with prevalent infectious and inflammatory diseases is unclear.</p><p><strong>Objective: </strong>This study evaluated the diagnostic accuracy of gamma gap and AGR in identifying patients who require further investigation for monoclonal gammopathies in South Africa.</p><p><strong>Methods: </strong>A retrospective analysis of 7946 patients who underwent investigations for monoclonal gammopathies at Groote Schuur Hospital, South Africa, between September 2015 and September 2022 was conducted. Patients were classified based on monoclonal protein detection, and the gamma gap, AGR, and multivariable models were evaluated for diagnostic performance.</p><p><strong>Results: </strong>Among the patients (median age: 61 years, 58% female [4632/7946] and 42% [3314/7946] male patients), 1231 had monoclonal proteins. A gamma gap cutoff of 46 g/L identified 35% of monoclonal cases (sensitivity), with 91% specificity and an area under the curve (AUC) of 0.60. The AGR showed a slightly better AUC of 0.63, with 44% sensitivity and 80% specificity at a 0.85 cutoff. Multivariable models incorporating age, sex, and hypogammaglobulinaemia improved performance, with the gamma gap model achieving an AUC of 0.73, improving the sensitivity to 58%, with a specificity of 78%.</p><p><strong>Conclusion: </strong>The gamma gap and AGR showed low sensitivity and moderate specificity in screening for monoclonal gammopathies, highlighting the need for integrated diagnostic approaches combining clinical, demographic, and laboratory data to improve early detection in resource-limited settings.</p><p><strong>What this study adds: </strong>Although cost-effective and widely available, gamma gap and AGR have limited accuracy for screening monoclonal gammopathies when used alone in settings with prevalent infectious and inflammatory diseases. Although the tests are good at ruling out monoclonality, they risk missing many true cases, delaying diagnosis and treatment.</p>","PeriodicalId":45412,"journal":{"name":"African Journal of Laboratory Medicine","volume":"14 1","pages":"2505"},"PeriodicalIF":1.2000,"publicationDate":"2025-03-26","publicationTypes":"Journal Article","fieldsOfStudy":null,"isOpenAccess":false,"openAccessPdf":"https://www.ncbi.nlm.nih.gov/pmc/articles/PMC11966717/pdf/","citationCount":"0","resultStr":"{\"title\":\"Gamma gap and albumin-globulin ratio show poor sensitivity for monoclonal gammopathy screening in South Africa.\",\"authors\":\"Njabulo Khumalo, Cameron A Francis, Siphiwe M Baloyi, Jody A Rusch\",\"doi\":\"10.4102/ajlm.v14i1.2505\",\"DOIUrl\":null,\"url\":null,\"abstract\":\"<p><strong>Background: </strong>Monoclonal gammopathies, including multiple myeloma, present significant challenges in sub-Saharan Africa. Diagnosis is often missed because of limited screening tools. The gamma gap and albumin-globulin ratio (AGR) have been proposed as simple, cost-effective screening methods; however, their utility in settings with prevalent infectious and inflammatory diseases is unclear.</p><p><strong>Objective: </strong>This study evaluated the diagnostic accuracy of gamma gap and AGR in identifying patients who require further investigation for monoclonal gammopathies in South Africa.</p><p><strong>Methods: </strong>A retrospective analysis of 7946 patients who underwent investigations for monoclonal gammopathies at Groote Schuur Hospital, South Africa, between September 2015 and September 2022 was conducted. Patients were classified based on monoclonal protein detection, and the gamma gap, AGR, and multivariable models were evaluated for diagnostic performance.</p><p><strong>Results: </strong>Among the patients (median age: 61 years, 58% female [4632/7946] and 42% [3314/7946] male patients), 1231 had monoclonal proteins. A gamma gap cutoff of 46 g/L identified 35% of monoclonal cases (sensitivity), with 91% specificity and an area under the curve (AUC) of 0.60. The AGR showed a slightly better AUC of 0.63, with 44% sensitivity and 80% specificity at a 0.85 cutoff. Multivariable models incorporating age, sex, and hypogammaglobulinaemia improved performance, with the gamma gap model achieving an AUC of 0.73, improving the sensitivity to 58%, with a specificity of 78%.</p><p><strong>Conclusion: </strong>The gamma gap and AGR showed low sensitivity and moderate specificity in screening for monoclonal gammopathies, highlighting the need for integrated diagnostic approaches combining clinical, demographic, and laboratory data to improve early detection in resource-limited settings.</p><p><strong>What this study adds: </strong>Although cost-effective and widely available, gamma gap and AGR have limited accuracy for screening monoclonal gammopathies when used alone in settings with prevalent infectious and inflammatory diseases. Although the tests are good at ruling out monoclonality, they risk missing many true cases, delaying diagnosis and treatment.</p>\",\"PeriodicalId\":45412,\"journal\":{\"name\":\"African Journal of Laboratory Medicine\",\"volume\":\"14 1\",\"pages\":\"2505\"},\"PeriodicalIF\":1.2000,\"publicationDate\":\"2025-03-26\",\"publicationTypes\":\"Journal Article\",\"fieldsOfStudy\":null,\"isOpenAccess\":false,\"openAccessPdf\":\"https://www.ncbi.nlm.nih.gov/pmc/articles/PMC11966717/pdf/\",\"citationCount\":\"0\",\"resultStr\":null,\"platform\":\"Semanticscholar\",\"paperid\":null,\"PeriodicalName\":\"African Journal of Laboratory Medicine\",\"FirstCategoryId\":\"1085\",\"ListUrlMain\":\"https://doi.org/10.4102/ajlm.v14i1.2505\",\"RegionNum\":0,\"RegionCategory\":null,\"ArticlePicture\":[],\"TitleCN\":null,\"AbstractTextCN\":null,\"PMCID\":null,\"EPubDate\":\"2025/1/1 0:00:00\",\"PubModel\":\"eCollection\",\"JCR\":\"Q4\",\"JCRName\":\"MEDICINE, RESEARCH & EXPERIMENTAL\",\"Score\":null,\"Total\":0}","platform":"Semanticscholar","paperid":null,"PeriodicalName":"African Journal of Laboratory Medicine","FirstCategoryId":"1085","ListUrlMain":"https://doi.org/10.4102/ajlm.v14i1.2505","RegionNum":0,"RegionCategory":null,"ArticlePicture":[],"TitleCN":null,"AbstractTextCN":null,"PMCID":null,"EPubDate":"2025/1/1 0:00:00","PubModel":"eCollection","JCR":"Q4","JCRName":"MEDICINE, RESEARCH & EXPERIMENTAL","Score":null,"Total":0}
引用次数: 0

摘要

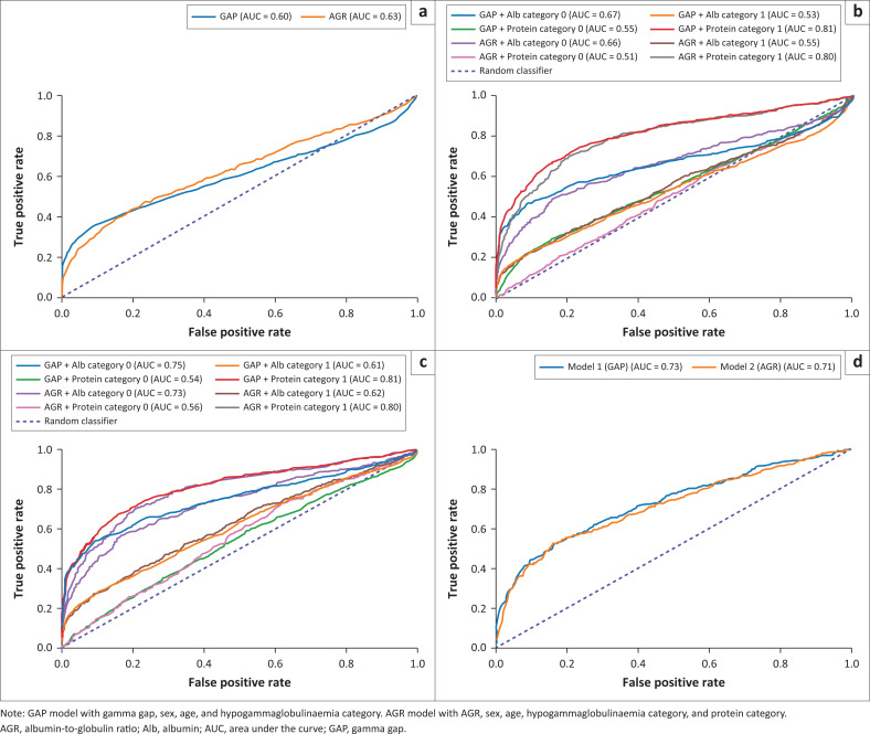
背景:包括多发性骨髓瘤在内的单克隆伽玛病在撒哈拉以南非洲地区面临重大挑战。由于筛查工具有限,常常漏诊。伽马间隙和白蛋白-球蛋白比(AGR)被认为是简单、经济的筛查方法;然而,它们在传染病和炎症性疾病流行的情况下的效用尚不清楚。目的:本研究评估南非伽玛间隙和AGR在识别需要进一步调查的单克隆伽玛病患者中的诊断准确性。方法:回顾性分析2015年9月至2022年9月在南非Groote Schuur医院接受单克隆伽玛病调查的7946例患者。根据单克隆蛋白检测对患者进行分类,并评估γ间隙、AGR和多变量模型的诊断性能。结果:患者中位年龄为61岁,女性为58%[4632/7946],男性为42%[3314/7946],1231例患者存在单克隆蛋白。46 g/L的γ缺口截断值鉴定出35%的单克隆病例(敏感性),特异性为91%,曲线下面积(AUC)为0.60。AGR的AUC略好,为0.63,灵敏度为44%,特异性为80%,截止值为0.85。纳入年龄、性别和低γ球蛋白血症的多变量模型提高了性能,其中γ间隙模型的AUC为0.73,灵敏度提高到58%,特异性提高到78%。结论:伽玛间隙和AGR在筛查单克隆伽玛病时敏感性低,特异性中等,这突出了在资源有限的情况下,需要结合临床、人口统计学和实验室数据的综合诊断方法来提高早期发现。本研究补充的内容:尽管具有成本效益且广泛可用,但当在普遍存在感染性和炎症性疾病的环境中单独使用时,γ gap和AGR筛查单克隆γ病的准确性有限。尽管这些检测能很好地排除单克隆,但它们有可能遗漏许多真正的病例,延误诊断和治疗。
本文章由计算机程序翻译,如有差异,请以英文原文为准。

Gamma gap and albumin-globulin ratio show poor sensitivity for monoclonal gammopathy screening in South Africa.

Gamma gap and albumin-globulin ratio show poor sensitivity for monoclonal gammopathy screening in South Africa.

Gamma gap and albumin-globulin ratio show poor sensitivity for monoclonal gammopathy screening in South Africa.

Background: Monoclonal gammopathies, including multiple myeloma, present significant challenges in sub-Saharan Africa. Diagnosis is often missed because of limited screening tools. The gamma gap and albumin-globulin ratio (AGR) have been proposed as simple, cost-effective screening methods; however, their utility in settings with prevalent infectious and inflammatory diseases is unclear.

Objective: This study evaluated the diagnostic accuracy of gamma gap and AGR in identifying patients who require further investigation for monoclonal gammopathies in South Africa.

Methods: A retrospective analysis of 7946 patients who underwent investigations for monoclonal gammopathies at Groote Schuur Hospital, South Africa, between September 2015 and September 2022 was conducted. Patients were classified based on monoclonal protein detection, and the gamma gap, AGR, and multivariable models were evaluated for diagnostic performance.

Results: Among the patients (median age: 61 years, 58% female [4632/7946] and 42% [3314/7946] male patients), 1231 had monoclonal proteins. A gamma gap cutoff of 46 g/L identified 35% of monoclonal cases (sensitivity), with 91% specificity and an area under the curve (AUC) of 0.60. The AGR showed a slightly better AUC of 0.63, with 44% sensitivity and 80% specificity at a 0.85 cutoff. Multivariable models incorporating age, sex, and hypogammaglobulinaemia improved performance, with the gamma gap model achieving an AUC of 0.73, improving the sensitivity to 58%, with a specificity of 78%.

Conclusion: The gamma gap and AGR showed low sensitivity and moderate specificity in screening for monoclonal gammopathies, highlighting the need for integrated diagnostic approaches combining clinical, demographic, and laboratory data to improve early detection in resource-limited settings.

What this study adds: Although cost-effective and widely available, gamma gap and AGR have limited accuracy for screening monoclonal gammopathies when used alone in settings with prevalent infectious and inflammatory diseases. Although the tests are good at ruling out monoclonality, they risk missing many true cases, delaying diagnosis and treatment.

求助全文
通过发布文献求助,成功后即可免费获取论文全文。 去求助
来源期刊
African Journal of Laboratory Medicine
African Journal of Laboratory Medicine MEDICINE, RESEARCH & EXPERIMENTAL-
CiteScore
1.70
自引率
9.10%
发文量
53
审稿时长
12 weeks
期刊介绍: The African Journal of Laboratory Medicine, the official journal of ASLM, focuses on the role of the laboratory and its professionals in the clinical and public healthcare sectors,and is specifically based on an African frame of reference. Emphasis is on all aspects that promote and contribute to the laboratory medicine practices of Africa. This includes, amongst others: laboratories, biomedical scientists and clinicians, medical community, public health officials and policy makers, laboratory systems and policies (translation of laboratory knowledge, practices and technologies in clinical care), interfaces of laboratory with medical science, laboratory-based epidemiology, laboratory investigations, evidence-based effectiveness in real world (actual) settings.
×
引用
GB/T 7714-2015
复制
MLA
复制
APA
复制
导出至
BibTeX EndNote RefMan NoteFirst NoteExpress
×
提示
您的信息不完整,为了账户安全,请先补充。
现在去补充
×
提示
您因"违规操作"
具体请查看互助需知
我知道了
×
提示
确定
请完成安全验证×
copy
已复制链接
快去分享给好友吧!
我知道了
右上角分享
点击右上角分享
0
联系我们:info@booksci.cn Book学术提供免费学术资源搜索服务,方便国内外学者检索中英文文献。致力于提供最便捷和优质的服务体验。 Copyright © 2023 布克学术 All rights reserved.
京ICP备2023020795号-1
ghs 京公网安备 11010802042870号
Book学术文献互助
Book学术文献互助群
群 号:604180095
Book学术官方微信