正常范围内的血清甲状旁腺激素与成人糖尿病和前驱糖尿病的患病率和预后的关系:来自2003-2006年NHANES数据的见解

IF 4.6 3区 医学 Q2 ENDOCRINOLOGY & METABOLISM
Therapeutic Advances in Endocrinology and Metabolism Pub Date : 2025-04-02 eCollection Date: 2025-01-01 DOI:10.1177/20420188251328806
Guangshu Chen, Li Che, Xueman Wen, Meizheng Lai, Ting Wei, Ping Zhu, Jianmin Ran
{"title":"正常范围内的血清甲状旁腺激素与成人糖尿病和前驱糖尿病的患病率和预后的关系:来自2003-2006年NHANES数据的见解","authors":"Guangshu Chen, Li Che, Xueman Wen, Meizheng Lai, Ting Wei, Ping Zhu, Jianmin Ran","doi":"10.1177/20420188251328806","DOIUrl":null,"url":null,"abstract":"<p><strong>Background: </strong>Previous research has established a link between high blood levels of parathyroid hormone (PTH) levels and hyperglycemia, as well as early mortality. However, the extent of this relationship and the predictive value of PTH for mortality risk in hyperglycemic populations have been minimally explored.</p><p><strong>Methods: </strong>The National Health and Nutrition Examination Survey study conducted from 2003 to 2006 identified 932 adults with diabetes and 1645 adults with prediabetes. A weighted multivariate logistic regression analysis was utilized to examine the association between PTH levels and hyperglycemia. Furthermore, Cox proportional hazards regression models were employed to examine the correlation between PTH levels and both cardiovascular and overall mortality within the hyperglycemia cohort.</p><p><strong>Results: </strong>(1) The research findings revealed a negative association between PTH levels (per 10-pg/mL increase) and diabetes status (OR, 0.79; 95% confidence interval (CI), 0.73-0.86). (2) There was a significant correlation between the risk of all-cause mortality (hazard ratios (HR), 1.13; 95% CI, 1.01-1.29) and cardiovascular disease mortality (HR, 1.39; 95% CI, 1.05-1.84) among individuals with diabetes for every 10-pg/mL increase in PTH levels.</p><p><strong>Conclusion: </strong>The current research shows that individuals with elevated PTH spectrum within the normal range are less likely to have diabetes, while those with higher PTH levels in adults with diabetes are linked to worse outcomes, particularly cardiovascular mortality.</p>","PeriodicalId":22998,"journal":{"name":"Therapeutic Advances in Endocrinology and Metabolism","volume":"16 ","pages":"20420188251328806"},"PeriodicalIF":4.6000,"publicationDate":"2025-04-02","publicationTypes":"Journal Article","fieldsOfStudy":null,"isOpenAccess":false,"openAccessPdf":"https://www.ncbi.nlm.nih.gov/pmc/articles/PMC11967215/pdf/","citationCount":"0","resultStr":"{\"title\":\"Association of serum parathyroid hormone within normal range with the prevalence and prognosis among adults with diabetes and prediabetes: insight from NHANES 2003-2006 data.\",\"authors\":\"Guangshu Chen, Li Che, Xueman Wen, Meizheng Lai, Ting Wei, Ping Zhu, Jianmin Ran\",\"doi\":\"10.1177/20420188251328806\",\"DOIUrl\":null,\"url\":null,\"abstract\":\"<p><strong>Background: </strong>Previous research has established a link between high blood levels of parathyroid hormone (PTH) levels and hyperglycemia, as well as early mortality. However, the extent of this relationship and the predictive value of PTH for mortality risk in hyperglycemic populations have been minimally explored.</p><p><strong>Methods: </strong>The National Health and Nutrition Examination Survey study conducted from 2003 to 2006 identified 932 adults with diabetes and 1645 adults with prediabetes. A weighted multivariate logistic regression analysis was utilized to examine the association between PTH levels and hyperglycemia. Furthermore, Cox proportional hazards regression models were employed to examine the correlation between PTH levels and both cardiovascular and overall mortality within the hyperglycemia cohort.</p><p><strong>Results: </strong>(1) The research findings revealed a negative association between PTH levels (per 10-pg/mL increase) and diabetes status (OR, 0.79; 95% confidence interval (CI), 0.73-0.86). (2) There was a significant correlation between the risk of all-cause mortality (hazard ratios (HR), 1.13; 95% CI, 1.01-1.29) and cardiovascular disease mortality (HR, 1.39; 95% CI, 1.05-1.84) among individuals with diabetes for every 10-pg/mL increase in PTH levels.</p><p><strong>Conclusion: </strong>The current research shows that individuals with elevated PTH spectrum within the normal range are less likely to have diabetes, while those with higher PTH levels in adults with diabetes are linked to worse outcomes, particularly cardiovascular mortality.</p>\",\"PeriodicalId\":22998,\"journal\":{\"name\":\"Therapeutic Advances in Endocrinology and Metabolism\",\"volume\":\"16 \",\"pages\":\"20420188251328806\"},\"PeriodicalIF\":4.6000,\"publicationDate\":\"2025-04-02\",\"publicationTypes\":\"Journal Article\",\"fieldsOfStudy\":null,\"isOpenAccess\":false,\"openAccessPdf\":\"https://www.ncbi.nlm.nih.gov/pmc/articles/PMC11967215/pdf/\",\"citationCount\":\"0\",\"resultStr\":null,\"platform\":\"Semanticscholar\",\"paperid\":null,\"PeriodicalName\":\"Therapeutic Advances in Endocrinology and Metabolism\",\"FirstCategoryId\":\"3\",\"ListUrlMain\":\"https://doi.org/10.1177/20420188251328806\",\"RegionNum\":3,\"RegionCategory\":\"医学\",\"ArticlePicture\":[],\"TitleCN\":null,\"AbstractTextCN\":null,\"PMCID\":null,\"EPubDate\":\"2025/1/1 0:00:00\",\"PubModel\":\"eCollection\",\"JCR\":\"Q2\",\"JCRName\":\"ENDOCRINOLOGY & METABOLISM\",\"Score\":null,\"Total\":0}","platform":"Semanticscholar","paperid":null,"PeriodicalName":"Therapeutic Advances in Endocrinology and Metabolism","FirstCategoryId":"3","ListUrlMain":"https://doi.org/10.1177/20420188251328806","RegionNum":3,"RegionCategory":"医学","ArticlePicture":[],"TitleCN":null,"AbstractTextCN":null,"PMCID":null,"EPubDate":"2025/1/1 0:00:00","PubModel":"eCollection","JCR":"Q2","JCRName":"ENDOCRINOLOGY & METABOLISM","Score":null,"Total":0}
引用次数: 0

摘要

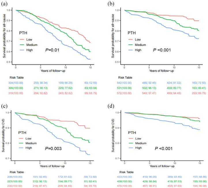
背景:先前的研究已经建立了高血中甲状旁腺激素(PTH)水平与高血糖和早期死亡之间的联系。然而,这种关系的程度和甲状旁腺激素对高血糖人群死亡风险的预测价值的探讨很少。方法:2003年至2006年进行的全国健康与营养调查研究确定了932名成人糖尿病患者和1645名糖尿病前期成年人。采用加权多变量logistic回归分析检验甲状旁腺激素水平与高血糖之间的关系。此外,采用Cox比例风险回归模型来检验PTH水平与高血糖队列中心血管和总体死亡率之间的相关性。结果:(1)研究发现PTH水平(每增加10-pg/mL)与糖尿病状态呈负相关(OR, 0.79;95%置信区间(CI), 0.73-0.86)。(2)全因死亡风险(HR)为1.13;95% CI, 1.01-1.29)和心血管疾病死亡率(HR, 1.39;糖尿病患者PTH水平每增加10 pg/mL, 95% CI为1.05-1.84。结论:目前的研究表明,在正常范围内PTH谱升高的个体患糖尿病的可能性较小,而糖尿病成人中PTH水平较高的患者预后较差,尤其是心血管疾病死亡率。
本文章由计算机程序翻译,如有差异,请以英文原文为准。

Association of serum parathyroid hormone within normal range with the prevalence and prognosis among adults with diabetes and prediabetes: insight from NHANES 2003-2006 data.

Association of serum parathyroid hormone within normal range with the prevalence and prognosis among adults with diabetes and prediabetes: insight from NHANES 2003-2006 data.

Association of serum parathyroid hormone within normal range with the prevalence and prognosis among adults with diabetes and prediabetes: insight from NHANES 2003-2006 data.

Association of serum parathyroid hormone within normal range with the prevalence and prognosis among adults with diabetes and prediabetes: insight from NHANES 2003-2006 data.

Background: Previous research has established a link between high blood levels of parathyroid hormone (PTH) levels and hyperglycemia, as well as early mortality. However, the extent of this relationship and the predictive value of PTH for mortality risk in hyperglycemic populations have been minimally explored.

Methods: The National Health and Nutrition Examination Survey study conducted from 2003 to 2006 identified 932 adults with diabetes and 1645 adults with prediabetes. A weighted multivariate logistic regression analysis was utilized to examine the association between PTH levels and hyperglycemia. Furthermore, Cox proportional hazards regression models were employed to examine the correlation between PTH levels and both cardiovascular and overall mortality within the hyperglycemia cohort.

Results: (1) The research findings revealed a negative association between PTH levels (per 10-pg/mL increase) and diabetes status (OR, 0.79; 95% confidence interval (CI), 0.73-0.86). (2) There was a significant correlation between the risk of all-cause mortality (hazard ratios (HR), 1.13; 95% CI, 1.01-1.29) and cardiovascular disease mortality (HR, 1.39; 95% CI, 1.05-1.84) among individuals with diabetes for every 10-pg/mL increase in PTH levels.

Conclusion: The current research shows that individuals with elevated PTH spectrum within the normal range are less likely to have diabetes, while those with higher PTH levels in adults with diabetes are linked to worse outcomes, particularly cardiovascular mortality.

求助全文
通过发布文献求助,成功后即可免费获取论文全文。 去求助
来源期刊
Therapeutic Advances in Endocrinology and Metabolism
Therapeutic Advances in Endocrinology and Metabolism Medicine-Endocrinology, Diabetes and Metabolism
CiteScore
7.70
自引率
2.60%
发文量
42
审稿时长
8 weeks
期刊介绍: Therapeutic Advances in Endocrinology and Metabolism delivers the highest quality peer-reviewed articles, reviews, and scholarly comment on pioneering efforts and innovative studies across all areas of endocrinology and metabolism.
×
引用
GB/T 7714-2015
复制
MLA
复制
APA
复制
导出至
BibTeX EndNote RefMan NoteFirst NoteExpress
×
提示
您的信息不完整,为了账户安全,请先补充。
现在去补充
×
提示
您因"违规操作"
具体请查看互助需知
我知道了
×
提示
确定
请完成安全验证×
copy
已复制链接
快去分享给好友吧!
我知道了
右上角分享
点击右上角分享
0
联系我们:info@booksci.cn Book学术提供免费学术资源搜索服务,方便国内外学者检索中英文文献。致力于提供最便捷和优质的服务体验。 Copyright © 2023 布克学术 All rights reserved.
京ICP备2023020795号-1
ghs 京公网安备 11010802042870号
Book学术文献互助
Book学术文献互助群
群 号:604180095
Book学术官方微信