猪圆环病毒2d型(PCV2d)无针皮内注射疫苗配方及免疫原性评价。

IF 1.5 3区 农林科学 Q2 VETERINARY SCIENCES
Minna Shin, Se-Hui Jung, Kiju Kim, Tae-Wook Hahn
{"title":"猪圆环病毒2d型(PCV2d)无针皮内注射疫苗配方及免疫原性评价。","authors":"Minna Shin, Se-Hui Jung, Kiju Kim, Tae-Wook Hahn","doi":"10.4142/jvs.24323","DOIUrl":null,"url":null,"abstract":"<p><strong>Importance: </strong>Porcine circovirus type 2 (PCV2) is a major pathogen responsible for the porcine circovirus-associated disease, causing significant economic losses in the swine industry worldwide. PCV2d has become the dominant, following a sequential shift from the previously predominant PCV2a and PCV2b genotypes. Although an effective vaccine based on virus-like particles (VLPs) of recombinant PCV2d-based capsid protein has been developed, intramuscular inoculation of the vaccine still induces a wide variety of side effects. In contrast, intradermal vaccination offers benefits, including enhanced immune activation due to the abundance of dendritic cells in the dermal layer, while also reducing side effects.</p><p><strong>Objective: </strong>Developing a novel vaccine combined with a needle-free inoculation technique is required to elicit protection against PCV2d infection with fewer side effects and higher effectiveness. This study aimed to develop a VLP-based vaccine targeting PCV2d and assess its efficacy when administered intradermally using a needle-free system.</p><p><strong>Methods: </strong>To optimize the intradermal vaccine formulation, we evaluated humoral immunity and neutralizing activity following intradermal administration of test vaccines prepared with varying adjuvant types, adjuvant ratios, and antigen doses.</p><p><strong>Results: </strong>IMS1313 adjuvant provided the best induction of total IgG and neutralizing antibody titers. A dose-dependent evaluation indicated that 20 μg of antigen combined with 40% IMS1313 achieved optimal immune responses. Compared to intramuscular injection, intradermal injection using this formulation induced 1.3-fold higher neutralizing antibody titers, demonstrating higher efficacy.</p><p><strong>Conclusions and relevance: </strong>Intradermal vaccination using a PCV2d VLP-based vaccine improves immunogenicity and cost-effectiveness, providing a promising strategy for controlling PCV2d infections in swine.</p>","PeriodicalId":17557,"journal":{"name":"Journal of Veterinary Science","volume":"26 2","pages":"e24"},"PeriodicalIF":1.5000,"publicationDate":"2025-03-01","publicationTypes":"Journal Article","fieldsOfStudy":null,"isOpenAccess":false,"openAccessPdf":"https://www.ncbi.nlm.nih.gov/pmc/articles/PMC11972937/pdf/","citationCount":"0","resultStr":"{\"title\":\"Evaluation of formulation and immunogenicity of porcine circovirus type 2d (PCV2d) vaccine for needle-free intradermal route injection.\",\"authors\":\"Minna Shin, Se-Hui Jung, Kiju Kim, Tae-Wook Hahn\",\"doi\":\"10.4142/jvs.24323\",\"DOIUrl\":null,\"url\":null,\"abstract\":\"<p><strong>Importance: </strong>Porcine circovirus type 2 (PCV2) is a major pathogen responsible for the porcine circovirus-associated disease, causing significant economic losses in the swine industry worldwide. PCV2d has become the dominant, following a sequential shift from the previously predominant PCV2a and PCV2b genotypes. Although an effective vaccine based on virus-like particles (VLPs) of recombinant PCV2d-based capsid protein has been developed, intramuscular inoculation of the vaccine still induces a wide variety of side effects. In contrast, intradermal vaccination offers benefits, including enhanced immune activation due to the abundance of dendritic cells in the dermal layer, while also reducing side effects.</p><p><strong>Objective: </strong>Developing a novel vaccine combined with a needle-free inoculation technique is required to elicit protection against PCV2d infection with fewer side effects and higher effectiveness. This study aimed to develop a VLP-based vaccine targeting PCV2d and assess its efficacy when administered intradermally using a needle-free system.</p><p><strong>Methods: </strong>To optimize the intradermal vaccine formulation, we evaluated humoral immunity and neutralizing activity following intradermal administration of test vaccines prepared with varying adjuvant types, adjuvant ratios, and antigen doses.</p><p><strong>Results: </strong>IMS1313 adjuvant provided the best induction of total IgG and neutralizing antibody titers. A dose-dependent evaluation indicated that 20 μg of antigen combined with 40% IMS1313 achieved optimal immune responses. Compared to intramuscular injection, intradermal injection using this formulation induced 1.3-fold higher neutralizing antibody titers, demonstrating higher efficacy.</p><p><strong>Conclusions and relevance: </strong>Intradermal vaccination using a PCV2d VLP-based vaccine improves immunogenicity and cost-effectiveness, providing a promising strategy for controlling PCV2d infections in swine.</p>\",\"PeriodicalId\":17557,\"journal\":{\"name\":\"Journal of Veterinary Science\",\"volume\":\"26 2\",\"pages\":\"e24\"},\"PeriodicalIF\":1.5000,\"publicationDate\":\"2025-03-01\",\"publicationTypes\":\"Journal Article\",\"fieldsOfStudy\":null,\"isOpenAccess\":false,\"openAccessPdf\":\"https://www.ncbi.nlm.nih.gov/pmc/articles/PMC11972937/pdf/\",\"citationCount\":\"0\",\"resultStr\":null,\"platform\":\"Semanticscholar\",\"paperid\":null,\"PeriodicalName\":\"Journal of Veterinary Science\",\"FirstCategoryId\":\"97\",\"ListUrlMain\":\"https://doi.org/10.4142/jvs.24323\",\"RegionNum\":3,\"RegionCategory\":\"农林科学\",\"ArticlePicture\":[],\"TitleCN\":null,\"AbstractTextCN\":null,\"PMCID\":null,\"EPubDate\":\"\",\"PubModel\":\"\",\"JCR\":\"Q2\",\"JCRName\":\"VETERINARY SCIENCES\",\"Score\":null,\"Total\":0}","platform":"Semanticscholar","paperid":null,"PeriodicalName":"Journal of Veterinary Science","FirstCategoryId":"97","ListUrlMain":"https://doi.org/10.4142/jvs.24323","RegionNum":3,"RegionCategory":"农林科学","ArticlePicture":[],"TitleCN":null,"AbstractTextCN":null,"PMCID":null,"EPubDate":"","PubModel":"","JCR":"Q2","JCRName":"VETERINARY SCIENCES","Score":null,"Total":0}
引用次数: 0

摘要

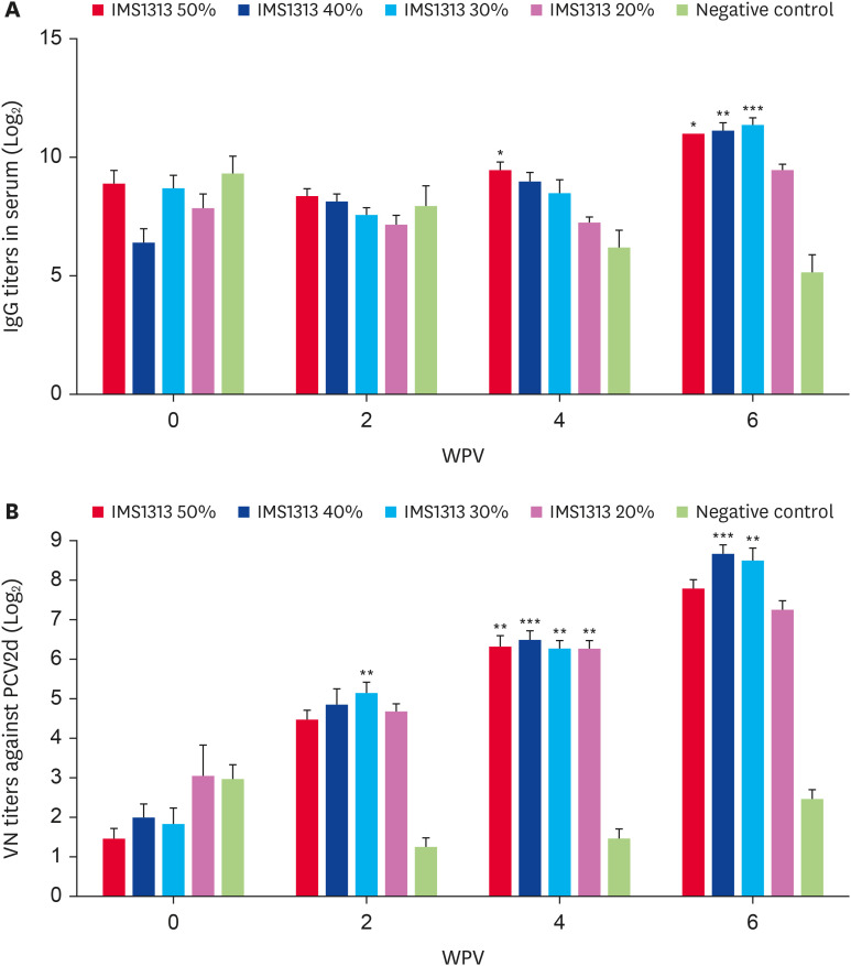
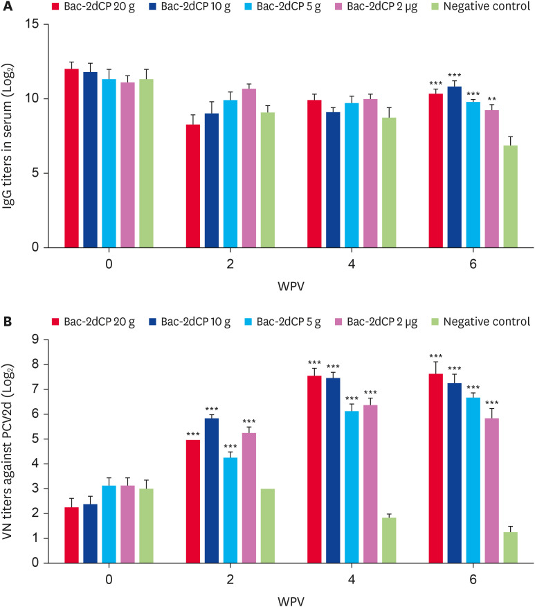
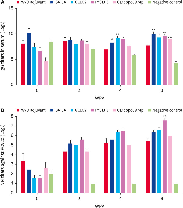
重要性:猪圆环病毒 2 型(PCV2)是导致猪圆环病毒相关疾病的主要病原体,给全球养猪业造成重大经济损失。PCV2d 已成为主导型病毒,其基因型从以前的 PCV2a 和 PCV2b 相继转变而来。虽然已经开发出了基于重组 PCV2d 冠状病毒蛋白的病毒样颗粒 (VLP) 的有效疫苗,但肌肉注射疫苗仍会引起各种副作用。相比之下,皮内接种的好处包括因真皮层树突状细胞丰富而增强免疫激活,同时还能减少副作用:目的:需要开发一种新型疫苗,并结合无针接种技术,以获得对 PCV2d 感染的保护,同时减少副作用并提高有效性。本研究旨在开发一种基于 VLP 的 PCV2d 疫苗,并评估其在使用无针系统皮内注射时的效果:为了优化皮内注射疫苗的配方,我们评估了皮内注射不同佐剂类型、佐剂比例和抗原剂量的试验疫苗后的体液免疫和中和活性:结果:IMS1313 佐剂诱导总 IgG 和中和抗体滴度的效果最好。剂量依赖性评估表明,20微克抗原与40%的IMS1313结合可获得最佳免疫反应。与肌肉注射相比,使用这种配方进行皮内注射诱导的中和抗体滴度高出 1.3 倍,显示出更高的有效性:使用基于 PCV2d VLP 的疫苗进行皮内注射可提高免疫原性和成本效益,为控制猪 PCV2d 感染提供了一种前景广阔的策略。
本文章由计算机程序翻译,如有差异,请以英文原文为准。

Evaluation of formulation and immunogenicity of porcine circovirus type 2d (PCV2d) vaccine for needle-free intradermal route injection.

Evaluation of formulation and immunogenicity of porcine circovirus type 2d (PCV2d) vaccine for needle-free intradermal route injection.

Evaluation of formulation and immunogenicity of porcine circovirus type 2d (PCV2d) vaccine for needle-free intradermal route injection.

Evaluation of formulation and immunogenicity of porcine circovirus type 2d (PCV2d) vaccine for needle-free intradermal route injection.

Importance: Porcine circovirus type 2 (PCV2) is a major pathogen responsible for the porcine circovirus-associated disease, causing significant economic losses in the swine industry worldwide. PCV2d has become the dominant, following a sequential shift from the previously predominant PCV2a and PCV2b genotypes. Although an effective vaccine based on virus-like particles (VLPs) of recombinant PCV2d-based capsid protein has been developed, intramuscular inoculation of the vaccine still induces a wide variety of side effects. In contrast, intradermal vaccination offers benefits, including enhanced immune activation due to the abundance of dendritic cells in the dermal layer, while also reducing side effects.

Objective: Developing a novel vaccine combined with a needle-free inoculation technique is required to elicit protection against PCV2d infection with fewer side effects and higher effectiveness. This study aimed to develop a VLP-based vaccine targeting PCV2d and assess its efficacy when administered intradermally using a needle-free system.

Methods: To optimize the intradermal vaccine formulation, we evaluated humoral immunity and neutralizing activity following intradermal administration of test vaccines prepared with varying adjuvant types, adjuvant ratios, and antigen doses.

Results: IMS1313 adjuvant provided the best induction of total IgG and neutralizing antibody titers. A dose-dependent evaluation indicated that 20 μg of antigen combined with 40% IMS1313 achieved optimal immune responses. Compared to intramuscular injection, intradermal injection using this formulation induced 1.3-fold higher neutralizing antibody titers, demonstrating higher efficacy.

Conclusions and relevance: Intradermal vaccination using a PCV2d VLP-based vaccine improves immunogenicity and cost-effectiveness, providing a promising strategy for controlling PCV2d infections in swine.

求助全文
通过发布文献求助,成功后即可免费获取论文全文。 去求助
来源期刊
Journal of Veterinary Science
Journal of Veterinary Science 农林科学-兽医学
CiteScore
3.10
自引率
5.60%
发文量
86
审稿时长
1.3 months
期刊介绍: The Journal of Veterinary Science (J Vet Sci) is devoted to the advancement and dissemination of scientific knowledge concerning veterinary sciences and related academic disciplines. It is an international journal indexed in the Thomson Scientific Web of Science, SCI-EXPANDED, Sci Search, BIOSIS Previews, Biological Abstracts, Focus on: Veterinary Science & Medicine, Zoological Record, PubMed /MEDLINE, Index Medicus, Pubmed Central, CAB Abstracts / Index Veterinarius, EBSCO, AGRIS and AGRICOLA. This journal published in English by the Korean Society of Veterinary Science (KSVS) being distributed worldwide.
×
引用
GB/T 7714-2015
复制
MLA
复制
APA
复制
导出至
BibTeX EndNote RefMan NoteFirst NoteExpress
×
提示
您的信息不完整,为了账户安全,请先补充。
现在去补充
×
提示
您因"违规操作"
具体请查看互助需知
我知道了
×
提示
确定
请完成安全验证×
copy
已复制链接
快去分享给好友吧!
我知道了
右上角分享
点击右上角分享
0
联系我们:info@booksci.cn Book学术提供免费学术资源搜索服务,方便国内外学者检索中英文文献。致力于提供最便捷和优质的服务体验。 Copyright © 2023 布克学术 All rights reserved.
京ICP备2023020795号-1
ghs 京公网安备 11010802042870号
Book学术文献互助
Book学术文献互助群
群 号:604180095
Book学术官方微信