产前和儿童邻苯二甲酸盐混合物和青少年睡眠健康的家庭研究。

IF 9.8 1区 环境科学与生态学 Q1 ENVIRONMENTAL SCIENCES
Environmental Health Perspectives Pub Date : 2025-05-01 Epub Date: 2025-05-16 DOI:10.1289/EHP15221
Clara G Sears, Jessie P Buckley, Kim M Cecil, Heidi J Kalkwarf, Yingying Xu, Aimin Chen, Kimberly Yolton, Joseph M Braun
{"title":"产前和儿童邻苯二甲酸盐混合物和青少年睡眠健康的家庭研究。","authors":"Clara G Sears, Jessie P Buckley, Kim M Cecil, Heidi J Kalkwarf, Yingying Xu, Aimin Chen, Kimberly Yolton, Joseph M Braun","doi":"10.1289/EHP15221","DOIUrl":null,"url":null,"abstract":"<p><strong>Background: </strong>The biological mechanisms linking early life phthalate exposure with adverse behaviors and cardiometabolic conditions also impact sleep health, but whether early life exposure impacts adolescent sleep is unknown.</p><p><strong>Objectives: </strong>We evaluated whether gestational and childhood urinary phthalate metabolite mixtures were associated with sleep characteristics during adolescence. We also examined periods of heightened susceptibility to individual phthalates.</p><p><strong>Methods: </strong>In the Health Outcomes and Measures of the Environment (HOME) Study (Cincinnati, Ohio; 2003-2006; <math><mrow><mi>n</mi><mo>=</mo><mn>156</mn></mrow></math>), we quantified urinary metabolites of eight parent phthalate diesters during pregnancy (16- and 26-wk) and childhood (ages 1, 2, 3, 4, 5, 8, and 12 years). Using regression calibration approaches, we estimated average measurement error-corrected phthalate metabolite concentrations during pregnancy and childhood. We used wrist actigraphy to assess sleep characteristics for 1 wk among participants at age 12. Using quantile-based g-computation, we estimated covariate-adjusted differences in sleep efficiency (%), sleep fragmentation index scores (%), sleep duration (minutes) per quartile increase in all phthalate metabolite concentrations (<math><mi>ψ</mi></math>), and weights indicating the contribution of each metabolite to <math><mi>ψ</mi></math>. Using multiple informant models, we examined whether associations between individual phthalate metabolites and sleep characteristics varied by timing of exposure.</p><p><strong>Results: </strong>Increasing all gestational phthalate metabolites by a quartile was associated with lower sleep efficiency [<math><mrow><mi>ψ</mi><mo>=</mo><mo>-</mo><mn>1.3</mn><mo>%</mo></mrow></math>; 95% confidence interval (CI): <math><mrow><mo>-</mo><mn>2.4</mn></mrow></math>, <math><mrow><mo>-</mo><mn>0.3</mn></mrow></math>] and higher sleep fragmentation (<math><mrow><mi>ψ</mi><mo>=</mo><mn>1.6</mn><mo>%</mo></mrow></math>; 95% CI: 0.3, 3.0); mono-<i>n</i>-butyl phthalate (MnBP) and di(2-ethylhexyl) phthalate (DEHP) metabolites contributed most to these relations. Higher childhood phthalate metabolite mixture quartiles were associated with shorter sleep duration (<math><mrow><mi>ψ</mi><mo>=</mo><mo>-</mo><mn>21</mn></mrow></math> minutes; 95% CI: <math><mrow><mo>-</mo><mn>34</mn></mrow></math>, <math><mrow><mo>-</mo><mn>9</mn></mrow></math>); monoethyl phthalate (MEP) and monocarboxyoctyl phthalate (MCOP) contributed most to this association. We found that higher DEHP metabolite concentrations during pregnancy were more strongly related to higher sleep fragmentation than childhood concentrations. In contrast, higher MEP and MnBP concentrations during childhood, but not pregnancy, were consistently associated with shorter sleep duration.</p><p><strong>Discussion: </strong>Phthalate metabolite concentrations during pregnancy and childhood were associated with poorer adolescent sleep health. https://doi.org/10.1289/EHP15221.</p>","PeriodicalId":11862,"journal":{"name":"Environmental Health Perspectives","volume":" ","pages":"57010"},"PeriodicalIF":9.8000,"publicationDate":"2025-05-01","publicationTypes":"Journal Article","fieldsOfStudy":null,"isOpenAccess":false,"openAccessPdf":"https://www.ncbi.nlm.nih.gov/pmc/articles/PMC12083775/pdf/","citationCount":"0","resultStr":"{\"title\":\"Prenatal and Childhood Phthalate Mixtures and Adolescent Sleep Health in the HOME Study.\",\"authors\":\"Clara G Sears, Jessie P Buckley, Kim M Cecil, Heidi J Kalkwarf, Yingying Xu, Aimin Chen, Kimberly Yolton, Joseph M Braun\",\"doi\":\"10.1289/EHP15221\",\"DOIUrl\":null,\"url\":null,\"abstract\":\"<p><strong>Background: </strong>The biological mechanisms linking early life phthalate exposure with adverse behaviors and cardiometabolic conditions also impact sleep health, but whether early life exposure impacts adolescent sleep is unknown.</p><p><strong>Objectives: </strong>We evaluated whether gestational and childhood urinary phthalate metabolite mixtures were associated with sleep characteristics during adolescence. We also examined periods of heightened susceptibility to individual phthalates.</p><p><strong>Methods: </strong>In the Health Outcomes and Measures of the Environment (HOME) Study (Cincinnati, Ohio; 2003-2006; <math><mrow><mi>n</mi><mo>=</mo><mn>156</mn></mrow></math>), we quantified urinary metabolites of eight parent phthalate diesters during pregnancy (16- and 26-wk) and childhood (ages 1, 2, 3, 4, 5, 8, and 12 years). Using regression calibration approaches, we estimated average measurement error-corrected phthalate metabolite concentrations during pregnancy and childhood. We used wrist actigraphy to assess sleep characteristics for 1 wk among participants at age 12. Using quantile-based g-computation, we estimated covariate-adjusted differences in sleep efficiency (%), sleep fragmentation index scores (%), sleep duration (minutes) per quartile increase in all phthalate metabolite concentrations (<math><mi>ψ</mi></math>), and weights indicating the contribution of each metabolite to <math><mi>ψ</mi></math>. Using multiple informant models, we examined whether associations between individual phthalate metabolites and sleep characteristics varied by timing of exposure.</p><p><strong>Results: </strong>Increasing all gestational phthalate metabolites by a quartile was associated with lower sleep efficiency [<math><mrow><mi>ψ</mi><mo>=</mo><mo>-</mo><mn>1.3</mn><mo>%</mo></mrow></math>; 95% confidence interval (CI): <math><mrow><mo>-</mo><mn>2.4</mn></mrow></math>, <math><mrow><mo>-</mo><mn>0.3</mn></mrow></math>] and higher sleep fragmentation (<math><mrow><mi>ψ</mi><mo>=</mo><mn>1.6</mn><mo>%</mo></mrow></math>; 95% CI: 0.3, 3.0); mono-<i>n</i>-butyl phthalate (MnBP) and di(2-ethylhexyl) phthalate (DEHP) metabolites contributed most to these relations. Higher childhood phthalate metabolite mixture quartiles were associated with shorter sleep duration (<math><mrow><mi>ψ</mi><mo>=</mo><mo>-</mo><mn>21</mn></mrow></math> minutes; 95% CI: <math><mrow><mo>-</mo><mn>34</mn></mrow></math>, <math><mrow><mo>-</mo><mn>9</mn></mrow></math>); monoethyl phthalate (MEP) and monocarboxyoctyl phthalate (MCOP) contributed most to this association. We found that higher DEHP metabolite concentrations during pregnancy were more strongly related to higher sleep fragmentation than childhood concentrations. In contrast, higher MEP and MnBP concentrations during childhood, but not pregnancy, were consistently associated with shorter sleep duration.</p><p><strong>Discussion: </strong>Phthalate metabolite concentrations during pregnancy and childhood were associated with poorer adolescent sleep health. https://doi.org/10.1289/EHP15221.</p>\",\"PeriodicalId\":11862,\"journal\":{\"name\":\"Environmental Health Perspectives\",\"volume\":\" \",\"pages\":\"57010\"},\"PeriodicalIF\":9.8000,\"publicationDate\":\"2025-05-01\",\"publicationTypes\":\"Journal Article\",\"fieldsOfStudy\":null,\"isOpenAccess\":false,\"openAccessPdf\":\"https://www.ncbi.nlm.nih.gov/pmc/articles/PMC12083775/pdf/\",\"citationCount\":\"0\",\"resultStr\":null,\"platform\":\"Semanticscholar\",\"paperid\":null,\"PeriodicalName\":\"Environmental Health Perspectives\",\"FirstCategoryId\":\"93\",\"ListUrlMain\":\"https://doi.org/10.1289/EHP15221\",\"RegionNum\":1,\"RegionCategory\":\"环境科学与生态学\",\"ArticlePicture\":[],\"TitleCN\":null,\"AbstractTextCN\":null,\"PMCID\":null,\"EPubDate\":\"2025/5/16 0:00:00\",\"PubModel\":\"Epub\",\"JCR\":\"Q1\",\"JCRName\":\"ENVIRONMENTAL SCIENCES\",\"Score\":null,\"Total\":0}","platform":"Semanticscholar","paperid":null,"PeriodicalName":"Environmental Health Perspectives","FirstCategoryId":"93","ListUrlMain":"https://doi.org/10.1289/EHP15221","RegionNum":1,"RegionCategory":"环境科学与生态学","ArticlePicture":[],"TitleCN":null,"AbstractTextCN":null,"PMCID":null,"EPubDate":"2025/5/16 0:00:00","PubModel":"Epub","JCR":"Q1","JCRName":"ENVIRONMENTAL SCIENCES","Score":null,"Total":0}
引用次数: 0

摘要

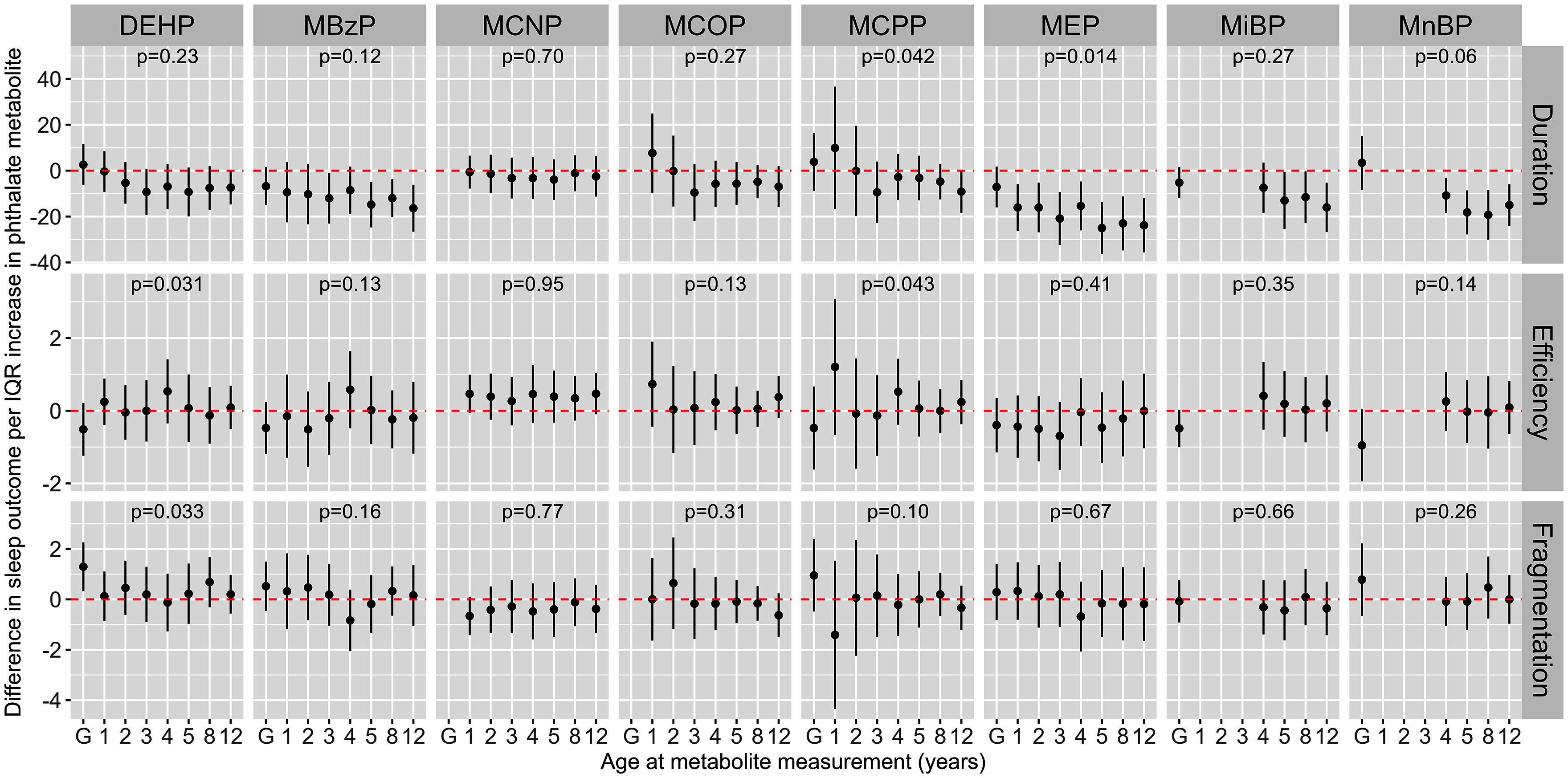
背景:将生命早期邻苯二甲酸盐暴露与不良行为和心脏代谢状况联系起来的生物学机制也会影响睡眠健康,但生命早期暴露是否会影响青少年睡眠尚不清楚。目的:我们评估妊娠期和儿童期尿邻苯二甲酸盐代谢物混合物是否与青春期睡眠特征相关。我们还检查了对个别邻苯二甲酸盐敏感的时期。方法:在HOME研究(辛辛那提,俄亥俄州;2003 - 2006;N =156),我们在怀孕(16周和26周)和儿童(1岁、2岁、3岁、4岁、5岁、8岁和12岁)期间量化了8种亲本邻苯二甲酸酯二酯的尿液代谢物。使用回归校准方法,我们估计了平均测量误差校正邻苯二甲酸盐代谢物浓度在怀孕和儿童时期。我们使用腕动仪来评估12岁参与者一周的睡眠特征。使用基于分位数的g计算,我们估计了所有邻苯二甲酸酯代谢物浓度每四分位数增加的协变量调整后的睡眠效率(%)、睡眠碎片指数得分(%)和睡眠持续时间(分钟)的差异(Ψ),以及表明每种代谢物对Ψ的贡献的权重。使用多重信息模型,我们检查了个体邻苯二甲酸酯代谢物与睡眠特征之间的关系是否随暴露时间的变化而变化。结果:妊娠期所有邻苯二甲酸酯代谢物增加四分之一与睡眠效率降低相关(Ψ = -1.3%;95%CI= -2.4, -0.3)和更高的睡眠碎片化(Ψ =1.6%;95% ci = 0.3, 3.0);邻苯二甲酸单正丁酯(MnBP)和邻苯二甲酸二(2-乙基己基)酯(DEHP)代谢物对这种关系贡献最大。较高的儿童邻苯二甲酸盐代谢物混合物四分位数与较短的睡眠时间相关(Ψ = -21分钟;95%ci = -34, -9);邻苯二甲酸一乙酯(MEP)和邻苯二甲酸一羧基辛酯(MCOP)对这种关联贡献最大。我们发现妊娠期较高的DEHP代谢物浓度与较高的睡眠破碎度的关系比儿童期浓度更强。相比之下,儿童时期较高的MEP和MnBP浓度与较短的睡眠时间一致相关,而怀孕期间则没有。讨论:孕期和儿童期邻苯二甲酸酯代谢物浓度与青少年较差的睡眠健康有关。https://doi.org/10.1289/EHP15221。
本文章由计算机程序翻译,如有差异,请以英文原文为准。

Prenatal and Childhood Phthalate Mixtures and Adolescent Sleep Health in the HOME Study.

Prenatal and Childhood Phthalate Mixtures and Adolescent Sleep Health in the HOME Study.

Prenatal and Childhood Phthalate Mixtures and Adolescent Sleep Health in the HOME Study.

Background: The biological mechanisms linking early life phthalate exposure with adverse behaviors and cardiometabolic conditions also impact sleep health, but whether early life exposure impacts adolescent sleep is unknown.

Objectives: We evaluated whether gestational and childhood urinary phthalate metabolite mixtures were associated with sleep characteristics during adolescence. We also examined periods of heightened susceptibility to individual phthalates.

Methods: In the Health Outcomes and Measures of the Environment (HOME) Study (Cincinnati, Ohio; 2003-2006; n=156), we quantified urinary metabolites of eight parent phthalate diesters during pregnancy (16- and 26-wk) and childhood (ages 1, 2, 3, 4, 5, 8, and 12 years). Using regression calibration approaches, we estimated average measurement error-corrected phthalate metabolite concentrations during pregnancy and childhood. We used wrist actigraphy to assess sleep characteristics for 1 wk among participants at age 12. Using quantile-based g-computation, we estimated covariate-adjusted differences in sleep efficiency (%), sleep fragmentation index scores (%), sleep duration (minutes) per quartile increase in all phthalate metabolite concentrations (ψ), and weights indicating the contribution of each metabolite to ψ. Using multiple informant models, we examined whether associations between individual phthalate metabolites and sleep characteristics varied by timing of exposure.

Results: Increasing all gestational phthalate metabolites by a quartile was associated with lower sleep efficiency [ψ=-1.3%; 95% confidence interval (CI): -2.4, -0.3] and higher sleep fragmentation (ψ=1.6%; 95% CI: 0.3, 3.0); mono-n-butyl phthalate (MnBP) and di(2-ethylhexyl) phthalate (DEHP) metabolites contributed most to these relations. Higher childhood phthalate metabolite mixture quartiles were associated with shorter sleep duration (ψ=-21 minutes; 95% CI: -34, -9); monoethyl phthalate (MEP) and monocarboxyoctyl phthalate (MCOP) contributed most to this association. We found that higher DEHP metabolite concentrations during pregnancy were more strongly related to higher sleep fragmentation than childhood concentrations. In contrast, higher MEP and MnBP concentrations during childhood, but not pregnancy, were consistently associated with shorter sleep duration.

Discussion: Phthalate metabolite concentrations during pregnancy and childhood were associated with poorer adolescent sleep health. https://doi.org/10.1289/EHP15221.

求助全文
通过发布文献求助,成功后即可免费获取论文全文。 去求助
来源期刊
Environmental Health Perspectives
Environmental Health Perspectives 环境科学-公共卫生、环境卫生与职业卫生
CiteScore
14.40
自引率
2.90%
发文量
388
审稿时长
6 months
期刊介绍: Environmental Health Perspectives (EHP) is a monthly peer-reviewed journal supported by the National Institute of Environmental Health Sciences, part of the National Institutes of Health under the U.S. Department of Health and Human Services. Its mission is to facilitate discussions on the connections between the environment and human health by publishing top-notch research and news. EHP ranks third in Public, Environmental, and Occupational Health, fourth in Toxicology, and fifth in Environmental Sciences.
×
引用
GB/T 7714-2015
复制
MLA
复制
APA
复制
导出至
BibTeX EndNote RefMan NoteFirst NoteExpress
×
提示
您的信息不完整,为了账户安全,请先补充。
现在去补充
×
提示
您因"违规操作"
具体请查看互助需知
我知道了
×
提示
确定
请完成安全验证×
copy
已复制链接
快去分享给好友吧!
我知道了
右上角分享
点击右上角分享
0
联系我们:info@booksci.cn Book学术提供免费学术资源搜索服务,方便国内外学者检索中英文文献。致力于提供最便捷和优质的服务体验。 Copyright © 2023 布克学术 All rights reserved.
京ICP备2023020795号-1
ghs 京公网安备 11010802042870号
Book学术文献互助
Book学术文献互助群
群 号:604180095
Book学术官方微信