细颗粒物和遗传倾向在老年人认知中的独立作用。

IF 3.6 3区 医学 Q1 PSYCHIATRY
Shu-Fen Liao, Ta-Chien Chan, Mei-Hsin Su, Mei-Chen Lin, Chi-Shin Wu, Chun-Chieh Fan, Shi-Heng Wang
{"title":"细颗粒物和遗传倾向在老年人认知中的独立作用。","authors":"Shu-Fen Liao, Ta-Chien Chan, Mei-Hsin Su, Mei-Chen Lin, Chi-Shin Wu, Chun-Chieh Fan, Shi-Heng Wang","doi":"10.1186/s12991-025-00559-9","DOIUrl":null,"url":null,"abstract":"<p><strong>Background: </strong>Genetic susceptibility to mental health and cognitive traits, as well as air pollution, significantly impact cognition. The interplay between polygenic liability and fine particulate matter (PM<sub>2.5</sub>) remains unclear due to the limited number of large-scale studies in Asia. This study utilized the Taiwan Biobank, a nationwide community-based database, to investigate the main and modified effect of PM<sub>2.5</sub> on individuals' polygenic susceptibility in cognition.</p><p><strong>Methods: </strong>Polygenic risk score (PRS) for cognitive performance (CP PRS), Alzheimer's disease (AD PRS), schizophrenia (SCZ PRS), and major depression (MDD PRS) were computed representing genetic susceptibility for an individual. APOE genotype was classified into E3/E3, E3/E4, and E4/E4. The five-year average concentration of PM<sub>2.5</sub> from satellite images was used for defining environmental exposure. Cognitive performance was evaluated via the Mini-Mental State Examination (MMSE) score. The association between personal genetic susceptibility, PM<sub>2.5</sub>, and cognitive performance was examined using multilevel linear regression with the adjustment of age, sex, batch effect, and population stratification effect. The gene-environment synergism was examined with the inclusion of product term of PM<sub>2.5</sub> and PRS in the multivariate model.</p><p><strong>Results: </strong>Our analyses included 25,593 participants from 164 townships. Participants exposed to higher PM<sub>2.5</sub> concentrations had a lower MMSE score (Beta=-0.0830 corresponding to a 1 µg/m<sup>3</sup> increase in PM<sub>2.5</sub> concentration, 95% CI, -0.0973 to -0.0688, p-value < 0.0001). After controlling for PM<sub>2.5</sub> concentration, CP PRS (Beta = 0.1729, 95% CI, 0.1470 to 0.1988, p-value < 0.0001), SCZ PRS (Beta=-0.0632, 95% CI, -0.0891 to -0.0374, p-value < 0.0001), and AD PRS (Beta=-0.0321, 95% CI, -0.0580 to -0.0062, p-value = 0.0153) were associated with MMSE score. After further examination of gene-environment synergism, no interaction effect was identified, indicating different mechanism of PM<sub>2.5</sub> and genetic liability to influence cognitive performance.</p><p><strong>Conclusions: </strong>Human polygenic loading and PM<sub>2.5</sub> may impact cognition via an independent pathway. A prevention strategy targeting air pollution reduction may effectively improve the cognitive performance. Multiple exposures and their influences on the long-term change of cognition were required in future research.</p>","PeriodicalId":7942,"journal":{"name":"Annals of General Psychiatry","volume":"24 1","pages":"20"},"PeriodicalIF":3.6000,"publicationDate":"2025-04-03","publicationTypes":"Journal Article","fieldsOfStudy":null,"isOpenAccess":false,"openAccessPdf":"https://www.ncbi.nlm.nih.gov/pmc/articles/PMC11969746/pdf/","citationCount":"0","resultStr":"{\"title\":\"The independent role of fine particulate matter and genetic liability on cognition in older adults.\",\"authors\":\"Shu-Fen Liao, Ta-Chien Chan, Mei-Hsin Su, Mei-Chen Lin, Chi-Shin Wu, Chun-Chieh Fan, Shi-Heng Wang\",\"doi\":\"10.1186/s12991-025-00559-9\",\"DOIUrl\":null,\"url\":null,\"abstract\":\"<p><strong>Background: </strong>Genetic susceptibility to mental health and cognitive traits, as well as air pollution, significantly impact cognition. The interplay between polygenic liability and fine particulate matter (PM<sub>2.5</sub>) remains unclear due to the limited number of large-scale studies in Asia. This study utilized the Taiwan Biobank, a nationwide community-based database, to investigate the main and modified effect of PM<sub>2.5</sub> on individuals' polygenic susceptibility in cognition.</p><p><strong>Methods: </strong>Polygenic risk score (PRS) for cognitive performance (CP PRS), Alzheimer's disease (AD PRS), schizophrenia (SCZ PRS), and major depression (MDD PRS) were computed representing genetic susceptibility for an individual. APOE genotype was classified into E3/E3, E3/E4, and E4/E4. The five-year average concentration of PM<sub>2.5</sub> from satellite images was used for defining environmental exposure. Cognitive performance was evaluated via the Mini-Mental State Examination (MMSE) score. The association between personal genetic susceptibility, PM<sub>2.5</sub>, and cognitive performance was examined using multilevel linear regression with the adjustment of age, sex, batch effect, and population stratification effect. The gene-environment synergism was examined with the inclusion of product term of PM<sub>2.5</sub> and PRS in the multivariate model.</p><p><strong>Results: </strong>Our analyses included 25,593 participants from 164 townships. Participants exposed to higher PM<sub>2.5</sub> concentrations had a lower MMSE score (Beta=-0.0830 corresponding to a 1 µg/m<sup>3</sup> increase in PM<sub>2.5</sub> concentration, 95% CI, -0.0973 to -0.0688, p-value < 0.0001). After controlling for PM<sub>2.5</sub> concentration, CP PRS (Beta = 0.1729, 95% CI, 0.1470 to 0.1988, p-value < 0.0001), SCZ PRS (Beta=-0.0632, 95% CI, -0.0891 to -0.0374, p-value < 0.0001), and AD PRS (Beta=-0.0321, 95% CI, -0.0580 to -0.0062, p-value = 0.0153) were associated with MMSE score. After further examination of gene-environment synergism, no interaction effect was identified, indicating different mechanism of PM<sub>2.5</sub> and genetic liability to influence cognitive performance.</p><p><strong>Conclusions: </strong>Human polygenic loading and PM<sub>2.5</sub> may impact cognition via an independent pathway. A prevention strategy targeting air pollution reduction may effectively improve the cognitive performance. Multiple exposures and their influences on the long-term change of cognition were required in future research.</p>\",\"PeriodicalId\":7942,\"journal\":{\"name\":\"Annals of General Psychiatry\",\"volume\":\"24 1\",\"pages\":\"20\"},\"PeriodicalIF\":3.6000,\"publicationDate\":\"2025-04-03\",\"publicationTypes\":\"Journal Article\",\"fieldsOfStudy\":null,\"isOpenAccess\":false,\"openAccessPdf\":\"https://www.ncbi.nlm.nih.gov/pmc/articles/PMC11969746/pdf/\",\"citationCount\":\"0\",\"resultStr\":null,\"platform\":\"Semanticscholar\",\"paperid\":null,\"PeriodicalName\":\"Annals of General Psychiatry\",\"FirstCategoryId\":\"3\",\"ListUrlMain\":\"https://doi.org/10.1186/s12991-025-00559-9\",\"RegionNum\":3,\"RegionCategory\":\"医学\",\"ArticlePicture\":[],\"TitleCN\":null,\"AbstractTextCN\":null,\"PMCID\":null,\"EPubDate\":\"\",\"PubModel\":\"\",\"JCR\":\"Q1\",\"JCRName\":\"PSYCHIATRY\",\"Score\":null,\"Total\":0}","platform":"Semanticscholar","paperid":null,"PeriodicalName":"Annals of General Psychiatry","FirstCategoryId":"3","ListUrlMain":"https://doi.org/10.1186/s12991-025-00559-9","RegionNum":3,"RegionCategory":"医学","ArticlePicture":[],"TitleCN":null,"AbstractTextCN":null,"PMCID":null,"EPubDate":"","PubModel":"","JCR":"Q1","JCRName":"PSYCHIATRY","Score":null,"Total":0}
引用次数: 0

摘要

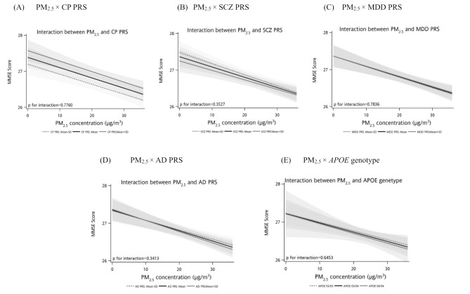
背景:遗传易感性的心理健康和认知特征,以及空气污染,显著影响认知。由于亚洲的大规模研究数量有限,多基因倾向与细颗粒物(PM2.5)之间的相互作用尚不清楚。本研究利用台湾生物库(Taiwan Biobank)这一全国性的社区数据库,探讨PM2.5对个体认知多基因易感性的主要和次要影响。方法:计算认知能力(CP PRS)、阿尔茨海默病(AD PRS)、精神分裂症(SCZ PRS)和重度抑郁症(MDD PRS)的多基因风险评分(PRS),代表个体的遗传易感性。APOE基因型分为E3/E3、E3/E4和E4/E4。卫星图像中PM2.5的五年平均浓度被用来定义环境暴露。认知表现通过简易精神状态检查(MMSE)评分进行评估。采用调整年龄、性别、批次效应和群体分层效应的多水平线性回归检验个人遗传易感性、PM2.5与认知能力之间的关系。在多元模型中加入PM2.5和PRS的乘积项,检验了基因与环境的协同作用。结果:我们的分析包括来自164个乡镇的25,593名参与者。暴露于较高PM2.5浓度的参与者具有较低的MMSE评分(Beta=-0.0830,对应于PM2.5浓度增加1 μ g/m3, 95% CI, -0.0973至-0.0688,p值2.5浓度,CP PRS (Beta= 0.1729, 95% CI, 0.1470至0.1988,p值2.5)和影响认知表现的遗传倾向。结论:人类多基因负荷和PM2.5可能通过独立的途径影响认知。以减少空气污染为目标的预防策略可以有效地提高认知能力。多重暴露及其对认知长期变化的影响有待进一步研究。
本文章由计算机程序翻译,如有差异,请以英文原文为准。

The independent role of fine particulate matter and genetic liability on cognition in older adults.

The independent role of fine particulate matter and genetic liability on cognition in older adults.

Background: Genetic susceptibility to mental health and cognitive traits, as well as air pollution, significantly impact cognition. The interplay between polygenic liability and fine particulate matter (PM2.5) remains unclear due to the limited number of large-scale studies in Asia. This study utilized the Taiwan Biobank, a nationwide community-based database, to investigate the main and modified effect of PM2.5 on individuals' polygenic susceptibility in cognition.

Methods: Polygenic risk score (PRS) for cognitive performance (CP PRS), Alzheimer's disease (AD PRS), schizophrenia (SCZ PRS), and major depression (MDD PRS) were computed representing genetic susceptibility for an individual. APOE genotype was classified into E3/E3, E3/E4, and E4/E4. The five-year average concentration of PM2.5 from satellite images was used for defining environmental exposure. Cognitive performance was evaluated via the Mini-Mental State Examination (MMSE) score. The association between personal genetic susceptibility, PM2.5, and cognitive performance was examined using multilevel linear regression with the adjustment of age, sex, batch effect, and population stratification effect. The gene-environment synergism was examined with the inclusion of product term of PM2.5 and PRS in the multivariate model.

Results: Our analyses included 25,593 participants from 164 townships. Participants exposed to higher PM2.5 concentrations had a lower MMSE score (Beta=-0.0830 corresponding to a 1 µg/m3 increase in PM2.5 concentration, 95% CI, -0.0973 to -0.0688, p-value < 0.0001). After controlling for PM2.5 concentration, CP PRS (Beta = 0.1729, 95% CI, 0.1470 to 0.1988, p-value < 0.0001), SCZ PRS (Beta=-0.0632, 95% CI, -0.0891 to -0.0374, p-value < 0.0001), and AD PRS (Beta=-0.0321, 95% CI, -0.0580 to -0.0062, p-value = 0.0153) were associated with MMSE score. After further examination of gene-environment synergism, no interaction effect was identified, indicating different mechanism of PM2.5 and genetic liability to influence cognitive performance.

Conclusions: Human polygenic loading and PM2.5 may impact cognition via an independent pathway. A prevention strategy targeting air pollution reduction may effectively improve the cognitive performance. Multiple exposures and their influences on the long-term change of cognition were required in future research.

求助全文
通过发布文献求助,成功后即可免费获取论文全文。 去求助
来源期刊
CiteScore
6.60
自引率
2.70%
发文量
43
审稿时长
>12 weeks
期刊介绍: Annals of General Psychiatry considers manuscripts on all aspects of psychiatry, including neuroscience and psychological medicine. Both basic and clinical neuroscience contributions are encouraged. Annals of General Psychiatry emphasizes a biopsychosocial approach to illness and health and strongly supports and follows the principles of evidence-based medicine. As an open access journal, Annals of General Psychiatry facilitates the worldwide distribution of high quality psychiatry and mental health research. The journal considers submissions on a wide range of topics including, but not limited to, psychopharmacology, forensic psychiatry, psychotic disorders, psychiatric genetics, and mood and anxiety disorders.
×
引用
GB/T 7714-2015
复制
MLA
复制
APA
复制
导出至
BibTeX EndNote RefMan NoteFirst NoteExpress
×
提示
您的信息不完整,为了账户安全,请先补充。
现在去补充
×
提示
您因"违规操作"
具体请查看互助需知
我知道了
×
提示
确定
请完成安全验证×
copy
已复制链接
快去分享给好友吧!
我知道了
右上角分享
点击右上角分享
0
联系我们:info@booksci.cn Book学术提供免费学术资源搜索服务,方便国内外学者检索中英文文献。致力于提供最便捷和优质的服务体验。 Copyright © 2023 布克学术 All rights reserved.
京ICP备2023020795号-1
ghs 京公网安备 11010802042870号
Book学术文献互助
Book学术文献互助群
群 号:604180095
Book学术官方微信