在生命周期评估中模拟海洋微塑料排放:可生物降解聚合物的表征因素及其在纺织品案例研究中的应用。

IF 4.6 Q2 TOXICOLOGY
Frontiers in toxicology Pub Date : 2025-03-17 eCollection Date: 2025-01-01 DOI:10.3389/ftox.2025.1494220
Felicitas Pellengahr, Elena Corella-Puertas, Valérie Mattelin, Nadim Saadi, Francesca Bertella, Anne-Marie Boulay, Yvonne van der Meer
{"title":"在生命周期评估中模拟海洋微塑料排放:可生物降解聚合物的表征因素及其在纺织品案例研究中的应用。","authors":"Felicitas Pellengahr, Elena Corella-Puertas, Valérie Mattelin, Nadim Saadi, Francesca Bertella, Anne-Marie Boulay, Yvonne van der Meer","doi":"10.3389/ftox.2025.1494220","DOIUrl":null,"url":null,"abstract":"<p><strong>Introduction: </strong>With the continuous increase of plastics production, it is imperative to carefully examine their environmental profile through Life Cycle Assessment (LCA). However, current LCA modeling is not considering the potential impacts of plastic emissions on the biosphere. To integrate plastic emissions into LCA, characterization factors are needed that commonly consist of three elements: a fate factor, an exposure factor, and an effect factor. In this context, fate factors quantify the distribution and longevity of plastics in the environment. Research on these fate factors is still limited, especially for biodegradable polymers. Hence, the main objective of this research was to determine the fate factors of biodegradable polymers [poly (lactic acid), poly (butylene succinate), and poly (ε-caprolactam)] based on primary experimental data for the marine environment.</p><p><strong>Methods: </strong>The validity of former research is tested by comparing the degradation evolution of i. macro- and microplastic particles, ii. two different grades of the polymer, and iii. different temperature levels. The degradation data are obtained by monitoring the oxygen consumption over a period of six months in natural seawater. The determined degradation rates are combined with sedimentation, resuspension, and deep burial rates to obtain fate factors. These fate factors are used to develop polymer-specific characterization factors. The resulting characterization factors are tested in an LCA case study of a synthetic sports shirt made from biodegradable polymer fibers. It allows to assess the relative importance of microplastic impacts compared to other life cycle impacts.</p><p><strong>Results and discussion: </strong>Comparing the resulting specific surface degradation rates indicates that microplastic degradation rates could be overestimated when using macroplastic degradation data. Pertaining to the case study, the results show that the impact on ecosystem quality by microplastic emissions could account for up to 30% of the total endpoint category. Overall, this work aims to foster interdisciplinary collaboration to leverage the accuracy of LCA studies and thus provide guidance for novel material development.</p>","PeriodicalId":73111,"journal":{"name":"Frontiers in toxicology","volume":"7 ","pages":"1494220"},"PeriodicalIF":4.6000,"publicationDate":"2025-03-17","publicationTypes":"Journal Article","fieldsOfStudy":null,"isOpenAccess":false,"openAccessPdf":"https://www.ncbi.nlm.nih.gov/pmc/articles/PMC11962433/pdf/","citationCount":"0","resultStr":"{\"title\":\"Modeling marine microplastic emissions in Life Cycle Assessment: characterization factors for biodegradable polymers and their application in a textile case study.\",\"authors\":\"Felicitas Pellengahr, Elena Corella-Puertas, Valérie Mattelin, Nadim Saadi, Francesca Bertella, Anne-Marie Boulay, Yvonne van der Meer\",\"doi\":\"10.3389/ftox.2025.1494220\",\"DOIUrl\":null,\"url\":null,\"abstract\":\"<p><strong>Introduction: </strong>With the continuous increase of plastics production, it is imperative to carefully examine their environmental profile through Life Cycle Assessment (LCA). However, current LCA modeling is not considering the potential impacts of plastic emissions on the biosphere. To integrate plastic emissions into LCA, characterization factors are needed that commonly consist of three elements: a fate factor, an exposure factor, and an effect factor. In this context, fate factors quantify the distribution and longevity of plastics in the environment. Research on these fate factors is still limited, especially for biodegradable polymers. Hence, the main objective of this research was to determine the fate factors of biodegradable polymers [poly (lactic acid), poly (butylene succinate), and poly (ε-caprolactam)] based on primary experimental data for the marine environment.</p><p><strong>Methods: </strong>The validity of former research is tested by comparing the degradation evolution of i. macro- and microplastic particles, ii. two different grades of the polymer, and iii. different temperature levels. The degradation data are obtained by monitoring the oxygen consumption over a period of six months in natural seawater. The determined degradation rates are combined with sedimentation, resuspension, and deep burial rates to obtain fate factors. These fate factors are used to develop polymer-specific characterization factors. The resulting characterization factors are tested in an LCA case study of a synthetic sports shirt made from biodegradable polymer fibers. It allows to assess the relative importance of microplastic impacts compared to other life cycle impacts.</p><p><strong>Results and discussion: </strong>Comparing the resulting specific surface degradation rates indicates that microplastic degradation rates could be overestimated when using macroplastic degradation data. Pertaining to the case study, the results show that the impact on ecosystem quality by microplastic emissions could account for up to 30% of the total endpoint category. Overall, this work aims to foster interdisciplinary collaboration to leverage the accuracy of LCA studies and thus provide guidance for novel material development.</p>\",\"PeriodicalId\":73111,\"journal\":{\"name\":\"Frontiers in toxicology\",\"volume\":\"7 \",\"pages\":\"1494220\"},\"PeriodicalIF\":4.6000,\"publicationDate\":\"2025-03-17\",\"publicationTypes\":\"Journal Article\",\"fieldsOfStudy\":null,\"isOpenAccess\":false,\"openAccessPdf\":\"https://www.ncbi.nlm.nih.gov/pmc/articles/PMC11962433/pdf/\",\"citationCount\":\"0\",\"resultStr\":null,\"platform\":\"Semanticscholar\",\"paperid\":null,\"PeriodicalName\":\"Frontiers in toxicology\",\"FirstCategoryId\":\"1085\",\"ListUrlMain\":\"https://doi.org/10.3389/ftox.2025.1494220\",\"RegionNum\":0,\"RegionCategory\":null,\"ArticlePicture\":[],\"TitleCN\":null,\"AbstractTextCN\":null,\"PMCID\":null,\"EPubDate\":\"2025/1/1 0:00:00\",\"PubModel\":\"eCollection\",\"JCR\":\"Q2\",\"JCRName\":\"TOXICOLOGY\",\"Score\":null,\"Total\":0}","platform":"Semanticscholar","paperid":null,"PeriodicalName":"Frontiers in toxicology","FirstCategoryId":"1085","ListUrlMain":"https://doi.org/10.3389/ftox.2025.1494220","RegionNum":0,"RegionCategory":null,"ArticlePicture":[],"TitleCN":null,"AbstractTextCN":null,"PMCID":null,"EPubDate":"2025/1/1 0:00:00","PubModel":"eCollection","JCR":"Q2","JCRName":"TOXICOLOGY","Score":null,"Total":0}
引用次数: 0

摘要

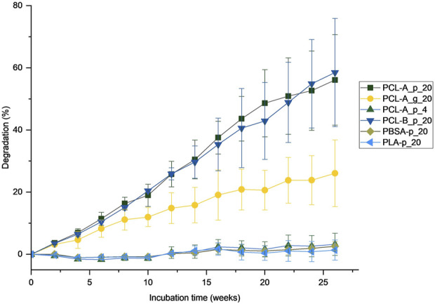
导读:随着塑料产量的不断增加,通过生命周期评估(LCA)来仔细检查塑料的环境概况势在必行。然而,目前的LCA模型并没有考虑塑料排放对生物圈的潜在影响。为了将塑料排放整合到LCA中,需要表征因子,通常由三个要素组成:命运因素、暴露因素和影响因素。在这种情况下,命运因素量化了塑料在环境中的分布和寿命。对这些命运因素的研究仍然有限,特别是对可生物降解聚合物的研究。因此,本研究的主要目的是根据海洋环境的初步实验数据,确定生物可降解聚合物[聚乳酸、聚丁二酸丁二烯和聚ε-己内酰胺]的命运因素。方法:通过比较宏观塑料颗粒和微观塑料颗粒的降解演变,验证前人研究的有效性。两种不同等级的聚合物,和iii。不同的温度水平。降解数据是通过监测天然海水中6个月的耗氧量获得的。确定的降解速率与沉降、再悬浮和深埋速率相结合,得到命运因子。这些命运因子用于开发聚合物特异性表征因子。在生物可降解聚合物纤维制成的合成运动衫的LCA案例研究中,对所得表征因素进行了测试。它可以评估微塑料影响与其他生命周期影响的相对重要性。结果与讨论:比较所得的比表面降解率表明,在使用宏观塑料降解数据时,微塑料降解率可能被高估。与案例研究相关的结果表明,微塑料排放对生态系统质量的影响可能占总端点类别的30%。总的来说,这项工作旨在促进跨学科合作,以利用LCA研究的准确性,从而为新材料的开发提供指导。
本文章由计算机程序翻译,如有差异,请以英文原文为准。

Modeling marine microplastic emissions in Life Cycle Assessment: characterization factors for biodegradable polymers and their application in a textile case study.

Modeling marine microplastic emissions in Life Cycle Assessment: characterization factors for biodegradable polymers and their application in a textile case study.

Modeling marine microplastic emissions in Life Cycle Assessment: characterization factors for biodegradable polymers and their application in a textile case study.

Modeling marine microplastic emissions in Life Cycle Assessment: characterization factors for biodegradable polymers and their application in a textile case study.

Introduction: With the continuous increase of plastics production, it is imperative to carefully examine their environmental profile through Life Cycle Assessment (LCA). However, current LCA modeling is not considering the potential impacts of plastic emissions on the biosphere. To integrate plastic emissions into LCA, characterization factors are needed that commonly consist of three elements: a fate factor, an exposure factor, and an effect factor. In this context, fate factors quantify the distribution and longevity of plastics in the environment. Research on these fate factors is still limited, especially for biodegradable polymers. Hence, the main objective of this research was to determine the fate factors of biodegradable polymers [poly (lactic acid), poly (butylene succinate), and poly (ε-caprolactam)] based on primary experimental data for the marine environment.

Methods: The validity of former research is tested by comparing the degradation evolution of i. macro- and microplastic particles, ii. two different grades of the polymer, and iii. different temperature levels. The degradation data are obtained by monitoring the oxygen consumption over a period of six months in natural seawater. The determined degradation rates are combined with sedimentation, resuspension, and deep burial rates to obtain fate factors. These fate factors are used to develop polymer-specific characterization factors. The resulting characterization factors are tested in an LCA case study of a synthetic sports shirt made from biodegradable polymer fibers. It allows to assess the relative importance of microplastic impacts compared to other life cycle impacts.

Results and discussion: Comparing the resulting specific surface degradation rates indicates that microplastic degradation rates could be overestimated when using macroplastic degradation data. Pertaining to the case study, the results show that the impact on ecosystem quality by microplastic emissions could account for up to 30% of the total endpoint category. Overall, this work aims to foster interdisciplinary collaboration to leverage the accuracy of LCA studies and thus provide guidance for novel material development.

求助全文
通过发布文献求助,成功后即可免费获取论文全文。 去求助
来源期刊
CiteScore
3.80
自引率
0.00%
发文量
0
审稿时长
13 weeks
×
引用
GB/T 7714-2015
复制
MLA
复制
APA
复制
导出至
BibTeX EndNote RefMan NoteFirst NoteExpress
×
提示
您的信息不完整,为了账户安全,请先补充。
现在去补充
×
提示
您因"违规操作"
具体请查看互助需知
我知道了
×
提示
确定
请完成安全验证×
copy
已复制链接
快去分享给好友吧!
我知道了
右上角分享
点击右上角分享
0
联系我们:info@booksci.cn Book学术提供免费学术资源搜索服务,方便国内外学者检索中英文文献。致力于提供最便捷和优质的服务体验。 Copyright © 2023 布克学术 All rights reserved.
京ICP备2023020795号-1
ghs 京公网安备 11010802042870号
Book学术文献互助
Book学术文献互助群
群 号:604180095
Book学术官方微信