基于依恋的家庭治疗对自杀青少年和年轻人的有效性:系统回顾和荟萃分析。

IF 2.4 Q2 Psychology
Clinical Psychology in Europe Pub Date : 2024-12-20 eCollection Date: 2024-12-01 DOI:10.32872/cpe.13717
Poul M Schulte-Frankenfeld, Josefien J F Breedvelt, Marlies E Brouwer, Nadia van der Spek, Guy Bosmans, Claudi L Bockting
{"title":"基于依恋的家庭治疗对自杀青少年和年轻人的有效性:系统回顾和荟萃分析。","authors":"Poul M Schulte-Frankenfeld, Josefien J F Breedvelt, Marlies E Brouwer, Nadia van der Spek, Guy Bosmans, Claudi L Bockting","doi":"10.32872/cpe.13717","DOIUrl":null,"url":null,"abstract":"<p><strong>Background: </strong>Suicide is a leading cause of death among adolescents and young adults. While only few evidence-based treatments with limited efficacy are available, family processes have recently been posed as a possible alternative target for intervention. Here, we review the evidence for Attachment-Based Family Therapy (ABFT), a guideline-listed treatment targeting intrafamilial ruptures and building protective caregiver-child relationships.</p><p><strong>Method: </strong>PubMed, PsycINFO, Embase, and Scopus were searched for prospective trials on ABFT in youth published up until November 6<sup>th</sup>, 2023, and including measures of suicidality. Results were independently screened by two researchers following PRISMA guidelines. Risk of bias was assessed using the Cochrane RoB-2 framework. A random effects meta-analysis was conducted on suicidal ideation and depressive symptoms post-intervention scores in randomized-controlled trials (RCTs).</p><p><strong>Results: </strong>Seven articles reporting on four RCTs (<i>n</i> = 287) and three open trials (<i>n</i> = 45) were identified. Mean age of participants was <i>M</i> <sub>pooled</sub> = 15.2 years and the majority identified as female (~80%). Overall, ABFT was not significantly more effective in reducing youth suicidal ideation, <i>g<sub>pooled</sub></i> = 0.40, 95% CI [-0.12, 0.93], nor depressive symptoms, <i>g<sub>pooled</sub></i> = 0.33, 95% CI [-0.18, 0.84], compared to investigated controls (Waitlist, (Enhanced) Treatment as Usual, Family-Enhanced Nondirective Supportive Therapy).</p><p><strong>Conclusion: </strong>Evidence is strongly limited, with few available trials, small sample sizes, high sample heterogeneity, attrition rates, and risk of bias. While not generally superior to other treatments, ABFT might still be a clinically valid option in specific cases and should be further investigated. Clinicians are currently recommended to apply caution when considering ABFT as stand-alone intervention for suicidal youth and to decide on a case-by-case basis.</p>","PeriodicalId":34029,"journal":{"name":"Clinical Psychology in Europe","volume":"6 4","pages":"e13717"},"PeriodicalIF":2.4000,"publicationDate":"2024-12-20","publicationTypes":"Journal Article","fieldsOfStudy":null,"isOpenAccess":false,"openAccessPdf":"https://www.ncbi.nlm.nih.gov/pmc/articles/PMC11960573/pdf/","citationCount":"0","resultStr":"{\"title\":\"Effectiveness of Attachment-Based Family Therapy for Suicidal Adolescents and Young Adults: A Systematic Review and Meta-Analysis.\",\"authors\":\"Poul M Schulte-Frankenfeld, Josefien J F Breedvelt, Marlies E Brouwer, Nadia van der Spek, Guy Bosmans, Claudi L Bockting\",\"doi\":\"10.32872/cpe.13717\",\"DOIUrl\":null,\"url\":null,\"abstract\":\"<p><strong>Background: </strong>Suicide is a leading cause of death among adolescents and young adults. While only few evidence-based treatments with limited efficacy are available, family processes have recently been posed as a possible alternative target for intervention. Here, we review the evidence for Attachment-Based Family Therapy (ABFT), a guideline-listed treatment targeting intrafamilial ruptures and building protective caregiver-child relationships.</p><p><strong>Method: </strong>PubMed, PsycINFO, Embase, and Scopus were searched for prospective trials on ABFT in youth published up until November 6<sup>th</sup>, 2023, and including measures of suicidality. Results were independently screened by two researchers following PRISMA guidelines. Risk of bias was assessed using the Cochrane RoB-2 framework. A random effects meta-analysis was conducted on suicidal ideation and depressive symptoms post-intervention scores in randomized-controlled trials (RCTs).</p><p><strong>Results: </strong>Seven articles reporting on four RCTs (<i>n</i> = 287) and three open trials (<i>n</i> = 45) were identified. Mean age of participants was <i>M</i> <sub>pooled</sub> = 15.2 years and the majority identified as female (~80%). Overall, ABFT was not significantly more effective in reducing youth suicidal ideation, <i>g<sub>pooled</sub></i> = 0.40, 95% CI [-0.12, 0.93], nor depressive symptoms, <i>g<sub>pooled</sub></i> = 0.33, 95% CI [-0.18, 0.84], compared to investigated controls (Waitlist, (Enhanced) Treatment as Usual, Family-Enhanced Nondirective Supportive Therapy).</p><p><strong>Conclusion: </strong>Evidence is strongly limited, with few available trials, small sample sizes, high sample heterogeneity, attrition rates, and risk of bias. While not generally superior to other treatments, ABFT might still be a clinically valid option in specific cases and should be further investigated. Clinicians are currently recommended to apply caution when considering ABFT as stand-alone intervention for suicidal youth and to decide on a case-by-case basis.</p>\",\"PeriodicalId\":34029,\"journal\":{\"name\":\"Clinical Psychology in Europe\",\"volume\":\"6 4\",\"pages\":\"e13717\"},\"PeriodicalIF\":2.4000,\"publicationDate\":\"2024-12-20\",\"publicationTypes\":\"Journal Article\",\"fieldsOfStudy\":null,\"isOpenAccess\":false,\"openAccessPdf\":\"https://www.ncbi.nlm.nih.gov/pmc/articles/PMC11960573/pdf/\",\"citationCount\":\"0\",\"resultStr\":null,\"platform\":\"Semanticscholar\",\"paperid\":null,\"PeriodicalName\":\"Clinical Psychology in Europe\",\"FirstCategoryId\":\"1085\",\"ListUrlMain\":\"https://doi.org/10.32872/cpe.13717\",\"RegionNum\":0,\"RegionCategory\":null,\"ArticlePicture\":[],\"TitleCN\":null,\"AbstractTextCN\":null,\"PMCID\":null,\"EPubDate\":\"2024/12/1 0:00:00\",\"PubModel\":\"eCollection\",\"JCR\":\"Q2\",\"JCRName\":\"Psychology\",\"Score\":null,\"Total\":0}","platform":"Semanticscholar","paperid":null,"PeriodicalName":"Clinical Psychology in Europe","FirstCategoryId":"1085","ListUrlMain":"https://doi.org/10.32872/cpe.13717","RegionNum":0,"RegionCategory":null,"ArticlePicture":[],"TitleCN":null,"AbstractTextCN":null,"PMCID":null,"EPubDate":"2024/12/1 0:00:00","PubModel":"eCollection","JCR":"Q2","JCRName":"Psychology","Score":null,"Total":0}
引用次数: 0

摘要

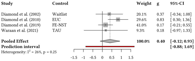
背景:自杀是青少年死亡的主要原因。虽然目前只有少数几种基于证据的治疗方法,且疗效有限,但最近家庭过程被认为是一种可能的替代干预目标。在此,我们回顾了以情感为基础的家庭疗法(ABFT)的证据,该疗法是指南中列出的一种针对家庭内部破裂和建立保护性照顾者-儿童关系的治疗方法:在PubMed、PsycINFO、Embase和Scopus上搜索了截至2023年11月6日发表的、针对青少年的ABFT前瞻性试验,其中包括对自杀倾向的测量。结果由两名研究人员按照 PRISMA 指南进行独立筛选。采用 Cochrane RoB-2 框架评估偏倚风险。对随机对照试验(RCT)中干预后的自杀意念和抑郁症状评分进行了随机效应荟萃分析:结果:共发现七篇文章,报告了四项随机对照试验(n = 287)和三项开放试验(n = 45)。参与者的平均年龄为 15.2 岁,大部分为女性(约占 80%)。总体而言,与调查对照组(候补名单、(增强型)常规治疗、家庭增强型非指导性支持疗法)相比,ABFT 在减少青少年自杀意念(gpooled = 0.40,95% CI [-0.12,0.93])和抑郁症状(gpooled = 0.33,95% CI [-0.18,0.84])方面的效果并不明显:证据非常有限,可用的试验很少,样本量小,样本异质性高,自然减员率高,存在偏倚风险。虽然 ABFT 一般来说并不优于其他治疗方法,但在特定病例中仍可能是一种临床有效的选择,应进一步研究。目前,建议临床医生在考虑将 ABFT 作为单独干预有自杀倾向的青少年时谨慎行事,并根据具体情况做出决定。
本文章由计算机程序翻译,如有差异,请以英文原文为准。

Effectiveness of Attachment-Based Family Therapy for Suicidal Adolescents and Young Adults: A Systematic Review and Meta-Analysis.

Effectiveness of Attachment-Based Family Therapy for Suicidal Adolescents and Young Adults: A Systematic Review and Meta-Analysis.

Effectiveness of Attachment-Based Family Therapy for Suicidal Adolescents and Young Adults: A Systematic Review and Meta-Analysis.

Background: Suicide is a leading cause of death among adolescents and young adults. While only few evidence-based treatments with limited efficacy are available, family processes have recently been posed as a possible alternative target for intervention. Here, we review the evidence for Attachment-Based Family Therapy (ABFT), a guideline-listed treatment targeting intrafamilial ruptures and building protective caregiver-child relationships.

Method: PubMed, PsycINFO, Embase, and Scopus were searched for prospective trials on ABFT in youth published up until November 6th, 2023, and including measures of suicidality. Results were independently screened by two researchers following PRISMA guidelines. Risk of bias was assessed using the Cochrane RoB-2 framework. A random effects meta-analysis was conducted on suicidal ideation and depressive symptoms post-intervention scores in randomized-controlled trials (RCTs).

Results: Seven articles reporting on four RCTs (n = 287) and three open trials (n = 45) were identified. Mean age of participants was M pooled = 15.2 years and the majority identified as female (~80%). Overall, ABFT was not significantly more effective in reducing youth suicidal ideation, gpooled = 0.40, 95% CI [-0.12, 0.93], nor depressive symptoms, gpooled = 0.33, 95% CI [-0.18, 0.84], compared to investigated controls (Waitlist, (Enhanced) Treatment as Usual, Family-Enhanced Nondirective Supportive Therapy).

Conclusion: Evidence is strongly limited, with few available trials, small sample sizes, high sample heterogeneity, attrition rates, and risk of bias. While not generally superior to other treatments, ABFT might still be a clinically valid option in specific cases and should be further investigated. Clinicians are currently recommended to apply caution when considering ABFT as stand-alone intervention for suicidal youth and to decide on a case-by-case basis.

求助全文
通过发布文献求助,成功后即可免费获取论文全文。 去求助
来源期刊
Clinical Psychology in Europe
Clinical Psychology in Europe Psychology-Clinical Psychology
CiteScore
3.00
自引率
0.00%
发文量
26
审稿时长
16 weeks
×
引用
GB/T 7714-2015
复制
MLA
复制
APA
复制
导出至
BibTeX EndNote RefMan NoteFirst NoteExpress
×
提示
您的信息不完整,为了账户安全,请先补充。
现在去补充
×
提示
您因"违规操作"
具体请查看互助需知
我知道了
×
提示
确定
请完成安全验证×
copy
已复制链接
快去分享给好友吧!
我知道了
右上角分享
点击右上角分享
0
联系我们:info@booksci.cn Book学术提供免费学术资源搜索服务,方便国内外学者检索中英文文献。致力于提供最便捷和优质的服务体验。 Copyright © 2023 布克学术 All rights reserved.
京ICP备2023020795号-1
ghs 京公网安备 11010802042870号
Book学术文献互助
Book学术文献互助群
群 号:604180095
Book学术官方微信