缺血性脑卒中患者急性和亚急性期离子和细胞毒性水肿的动力学:23Na MRI和弥散MRI的互补

IF 2.7 4区 医学 Q2 BIOPHYSICS
Maëva Cotinat, Noëlle Messaoudi, Emmanuelle Robinet, Laurent Suissa, Emilie Doche, Maxime Guye, Bertrand Audoin, Laurent Bensoussan, Jean-Philippe Ranjeva, Wafaa Zaaraoui
{"title":"缺血性脑卒中患者急性和亚急性期离子和细胞毒性水肿的动力学:23Na MRI和弥散MRI的互补","authors":"Maëva Cotinat, Noëlle Messaoudi, Emmanuelle Robinet, Laurent Suissa, Emilie Doche, Maxime Guye, Bertrand Audoin, Laurent Bensoussan, Jean-Philippe Ranjeva, Wafaa Zaaraoui","doi":"10.1002/nbm.70028","DOIUrl":null,"url":null,"abstract":"<p><p>Cerebral imaging is crucial in the diagnosis and treatment algorithm of acute stroke to determine salvageable brain tissue. While diffusion MRI is commonly used to define the ischemic core, it cannot reliably distinguish irreversibly damaged from salvageable tissue. We investigated the added value of <sup>23</sup>Na MRI to define irreversible necrotic tissue after a stroke. Fifteen patients with acute stroke involving medial cerebral artery occlusion were longitudinally explored with conventional and <sup>23</sup>Na MRI within 24 h, 70 h following stroke and at 3 months to characterize the necrotic area. Time-courses of sodium accumulations were observed within regions presenting with or spared by cytotoxic/ionic edema and converting or not to necrosis. Dynamics of sodium accumulations were very different across subjects. At the group level, time-courses of sodium signal in cytotoxic edema showed a non-linear increase with an upper asymptote of 59 ± 6%% relative to the contralateral hemisphere. Regions with a larger early increase in <sup>23</sup>Na signal (ionic edema) showed a non-linear accumulation during the first 70 h and were associated with subsequent necrosis at month 3. Some of the regions with no ionic edema during the first 70 h became necrotic at month 3, showing that pejorative pathophysiological processes could worsen after 70 h following attack. Final necrotic volume was well predicted by the cytotoxic volume (ADC decrease) during the first 24 h, and by the volume of ionic edema during the subacute period (25-70 h) following attack. The regions showing ionic edema showed a non-linear increase of <sup>23</sup>Na signal during the first 70 h, with larger sodium accumulations in regions converting to necrosis at month 3. It may be of interest to consider the role of ionic edema imaging in the 70 h after stroke and reperfusion, with a view to better understand stroke pathophysiology. Sodium MRI could add complementary information about the fate of cell necrosis within low ADC signal regions.</p>","PeriodicalId":19309,"journal":{"name":"NMR in Biomedicine","volume":"38 5","pages":"e70028"},"PeriodicalIF":2.7000,"publicationDate":"2025-05-01","publicationTypes":"Journal Article","fieldsOfStudy":null,"isOpenAccess":false,"openAccessPdf":"https://www.ncbi.nlm.nih.gov/pmc/articles/PMC11964797/pdf/","citationCount":"0","resultStr":"{\"title\":\"Dynamics of Ionic and Cytotoxic Edema During Acute and Subacute Stages of Patients With Ischemic Stroke: Complementarity of <sup>23</sup>Na MRI and Diffusion MRI.\",\"authors\":\"Maëva Cotinat, Noëlle Messaoudi, Emmanuelle Robinet, Laurent Suissa, Emilie Doche, Maxime Guye, Bertrand Audoin, Laurent Bensoussan, Jean-Philippe Ranjeva, Wafaa Zaaraoui\",\"doi\":\"10.1002/nbm.70028\",\"DOIUrl\":null,\"url\":null,\"abstract\":\"<p><p>Cerebral imaging is crucial in the diagnosis and treatment algorithm of acute stroke to determine salvageable brain tissue. While diffusion MRI is commonly used to define the ischemic core, it cannot reliably distinguish irreversibly damaged from salvageable tissue. We investigated the added value of <sup>23</sup>Na MRI to define irreversible necrotic tissue after a stroke. Fifteen patients with acute stroke involving medial cerebral artery occlusion were longitudinally explored with conventional and <sup>23</sup>Na MRI within 24 h, 70 h following stroke and at 3 months to characterize the necrotic area. Time-courses of sodium accumulations were observed within regions presenting with or spared by cytotoxic/ionic edema and converting or not to necrosis. Dynamics of sodium accumulations were very different across subjects. At the group level, time-courses of sodium signal in cytotoxic edema showed a non-linear increase with an upper asymptote of 59 ± 6%% relative to the contralateral hemisphere. Regions with a larger early increase in <sup>23</sup>Na signal (ionic edema) showed a non-linear accumulation during the first 70 h and were associated with subsequent necrosis at month 3. Some of the regions with no ionic edema during the first 70 h became necrotic at month 3, showing that pejorative pathophysiological processes could worsen after 70 h following attack. Final necrotic volume was well predicted by the cytotoxic volume (ADC decrease) during the first 24 h, and by the volume of ionic edema during the subacute period (25-70 h) following attack. The regions showing ionic edema showed a non-linear increase of <sup>23</sup>Na signal during the first 70 h, with larger sodium accumulations in regions converting to necrosis at month 3. It may be of interest to consider the role of ionic edema imaging in the 70 h after stroke and reperfusion, with a view to better understand stroke pathophysiology. Sodium MRI could add complementary information about the fate of cell necrosis within low ADC signal regions.</p>\",\"PeriodicalId\":19309,\"journal\":{\"name\":\"NMR in Biomedicine\",\"volume\":\"38 5\",\"pages\":\"e70028\"},\"PeriodicalIF\":2.7000,\"publicationDate\":\"2025-05-01\",\"publicationTypes\":\"Journal Article\",\"fieldsOfStudy\":null,\"isOpenAccess\":false,\"openAccessPdf\":\"https://www.ncbi.nlm.nih.gov/pmc/articles/PMC11964797/pdf/\",\"citationCount\":\"0\",\"resultStr\":null,\"platform\":\"Semanticscholar\",\"paperid\":null,\"PeriodicalName\":\"NMR in Biomedicine\",\"FirstCategoryId\":\"3\",\"ListUrlMain\":\"https://doi.org/10.1002/nbm.70028\",\"RegionNum\":4,\"RegionCategory\":\"医学\",\"ArticlePicture\":[],\"TitleCN\":null,\"AbstractTextCN\":null,\"PMCID\":null,\"EPubDate\":\"\",\"PubModel\":\"\",\"JCR\":\"Q2\",\"JCRName\":\"BIOPHYSICS\",\"Score\":null,\"Total\":0}","platform":"Semanticscholar","paperid":null,"PeriodicalName":"NMR in Biomedicine","FirstCategoryId":"3","ListUrlMain":"https://doi.org/10.1002/nbm.70028","RegionNum":4,"RegionCategory":"医学","ArticlePicture":[],"TitleCN":null,"AbstractTextCN":null,"PMCID":null,"EPubDate":"","PubModel":"","JCR":"Q2","JCRName":"BIOPHYSICS","Score":null,"Total":0}
引用次数: 0

摘要

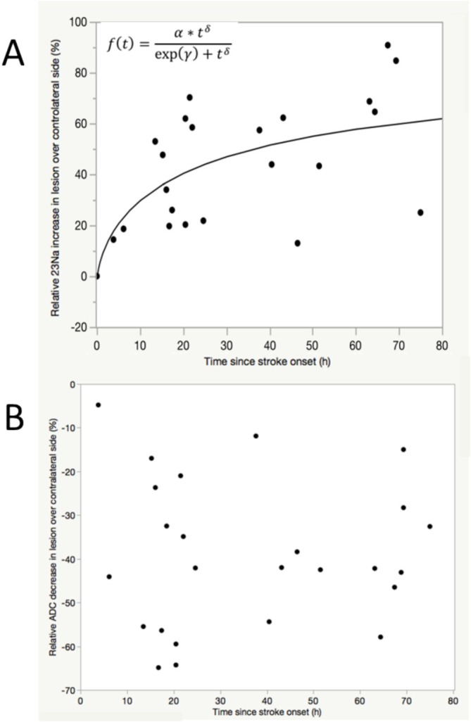
脑成像在急性脑卒中的诊断和治疗算法中至关重要,以确定可挽救的脑组织。虽然弥散MRI通常用于确定缺血核心,但它不能可靠地区分不可逆损伤和可修复组织。我们研究了23Na MRI对脑卒中后不可逆坏死组织的附加价值。对15例急性脑卒中合并大脑内侧动脉闭塞的患者,分别在脑卒中后24小时、70小时和3个月进行常规和23Na MRI纵向探查,以表征坏死区域。在出现细胞毒性/离子水肿或未发生细胞毒性/离子水肿、转化为坏死或未转化为坏死的区域内观察钠积累的时间过程。钠积累的动态在不同的受试者之间有很大的不同。在组水平上,细胞毒性水肿钠信号的时间进程呈非线性增加,相对于对侧半球的上渐近线为59±6%。早期23Na信号增加较大的区域(离子水肿)在前70小时内呈非线性积累,并在第3个月发生坏死。一些在最初70小时内没有离子水肿的区域在第3个月坏死,表明在发作后70小时贬损的病理生理过程可能会恶化。通过前24小时的细胞毒性体积(ADC减少)和发作后亚急性期(25-70小时)的离子水肿体积可以很好地预测最终的坏死体积。出现离子水肿的区域在最初的70小时内表现出23Na信号的非线性增加,在第3个月转化为坏死的区域有较大的钠积累。考虑离子水肿成像在脑卒中和再灌注后70小时的作用,有助于更好地了解脑卒中病理生理。钠核磁共振可以补充低ADC信号区细胞坏死命运的信息。
本文章由计算机程序翻译,如有差异,请以英文原文为准。

Dynamics of Ionic and Cytotoxic Edema During Acute and Subacute Stages of Patients With Ischemic Stroke: Complementarity of <sup>23</sup>Na MRI and Diffusion MRI.

Dynamics of Ionic and Cytotoxic Edema During Acute and Subacute Stages of Patients With Ischemic Stroke: Complementarity of <sup>23</sup>Na MRI and Diffusion MRI.

Dynamics of Ionic and Cytotoxic Edema During Acute and Subacute Stages of Patients With Ischemic Stroke: Complementarity of <sup>23</sup>Na MRI and Diffusion MRI.

Dynamics of Ionic and Cytotoxic Edema During Acute and Subacute Stages of Patients With Ischemic Stroke: Complementarity of 23Na MRI and Diffusion MRI.

Cerebral imaging is crucial in the diagnosis and treatment algorithm of acute stroke to determine salvageable brain tissue. While diffusion MRI is commonly used to define the ischemic core, it cannot reliably distinguish irreversibly damaged from salvageable tissue. We investigated the added value of 23Na MRI to define irreversible necrotic tissue after a stroke. Fifteen patients with acute stroke involving medial cerebral artery occlusion were longitudinally explored with conventional and 23Na MRI within 24 h, 70 h following stroke and at 3 months to characterize the necrotic area. Time-courses of sodium accumulations were observed within regions presenting with or spared by cytotoxic/ionic edema and converting or not to necrosis. Dynamics of sodium accumulations were very different across subjects. At the group level, time-courses of sodium signal in cytotoxic edema showed a non-linear increase with an upper asymptote of 59 ± 6%% relative to the contralateral hemisphere. Regions with a larger early increase in 23Na signal (ionic edema) showed a non-linear accumulation during the first 70 h and were associated with subsequent necrosis at month 3. Some of the regions with no ionic edema during the first 70 h became necrotic at month 3, showing that pejorative pathophysiological processes could worsen after 70 h following attack. Final necrotic volume was well predicted by the cytotoxic volume (ADC decrease) during the first 24 h, and by the volume of ionic edema during the subacute period (25-70 h) following attack. The regions showing ionic edema showed a non-linear increase of 23Na signal during the first 70 h, with larger sodium accumulations in regions converting to necrosis at month 3. It may be of interest to consider the role of ionic edema imaging in the 70 h after stroke and reperfusion, with a view to better understand stroke pathophysiology. Sodium MRI could add complementary information about the fate of cell necrosis within low ADC signal regions.

求助全文
通过发布文献求助,成功后即可免费获取论文全文。 去求助
来源期刊
NMR in Biomedicine
NMR in Biomedicine 医学-光谱学
CiteScore
6.00
自引率
10.30%
发文量
209
审稿时长
3-8 weeks
期刊介绍: NMR in Biomedicine is a journal devoted to the publication of original full-length papers, rapid communications and review articles describing the development of magnetic resonance spectroscopy or imaging methods or their use to investigate physiological, biochemical, biophysical or medical problems. Topics for submitted papers should be in one of the following general categories: (a) development of methods and instrumentation for MR of biological systems; (b) studies of normal or diseased organs, tissues or cells; (c) diagnosis or treatment of disease. Reports may cover work on patients or healthy human subjects, in vivo animal experiments, studies of isolated organs or cultured cells, analysis of tissue extracts, NMR theory, experimental techniques, or instrumentation.
×
引用
GB/T 7714-2015
复制
MLA
复制
APA
复制
导出至
BibTeX EndNote RefMan NoteFirst NoteExpress
×
提示
您的信息不完整,为了账户安全,请先补充。
现在去补充
×
提示
您因"违规操作"
具体请查看互助需知
我知道了
×
提示
确定
请完成安全验证×
copy
已复制链接
快去分享给好友吧!
我知道了
右上角分享
点击右上角分享
0
联系我们:info@booksci.cn Book学术提供免费学术资源搜索服务,方便国内外学者检索中英文文献。致力于提供最便捷和优质的服务体验。 Copyright © 2023 布克学术 All rights reserved.
京ICP备2023020795号-1
ghs 京公网安备 11010802042870号
Book学术文献互助
Book学术文献互助群
群 号:604180095
Book学术官方微信