hr阳性、her2阳性乳腺癌5年后临床治疗评分(CTS5)的临床相关性

IF 7.6 2区 医学 Q1 ONCOLOGY
Soong June Bae, Sohyun Moon, Yoonwon Kook, Seung Ho Baek, Minji Lee, Jee Hung Kim, Sung Gwe Ahn, Joon Jeong
{"title":"hr阳性、her2阳性乳腺癌5年后临床治疗评分(CTS5)的临床相关性","authors":"Soong June Bae, Sohyun Moon, Yoonwon Kook, Seung Ho Baek, Minji Lee, Jee Hung Kim, Sung Gwe Ahn, Joon Jeong","doi":"10.1038/s41523-025-00747-6","DOIUrl":null,"url":null,"abstract":"<p><p>There is currently no reliable predictive tool for late recurrence in hormone receptor (HR)-positive, human epidermal growth factor receptor 2 (HER2)-positive breast cancer. This study aimed to explore the potential of the clinical treatment score post-5l̥years (CTS5) as a predictive tool for long-term survival beyond 5 years in patients with specifically HR-positive, HER2-positive breast cancer. We collected patient-level data from the HERceptin Adjuvant (HERA) (BIG1-01; ClinicalTrials.gov identifier: NCT00045032) trial. Our investigation focused on assessing the risk of late distant recurrence (DR) and overall survival (OS) according to the CTS5 risk score as continuous value and CTS5 stratification risk groups. A total of 1,818 patients with HR-positive, HER2-positive breast cancer were included in this analysis. The CTS5 score, as a continuous variable, emerged as an independent prognostic factor for both late DR (adjusted HR, 2.05; 95% CI, 1.63-2.58; P < 0.001) and OS (adjusted HR, 2.02; 95% CI, 1.58-2.58; P < 0.001), respectively. In addition, multivariable analysis showed a significant association between the high-risk group and adverse outcomes in late DR (adjusted HR, 2.76; 95% CI, 1.84-4.13; P < 0.001) and OS (adjusted HR, 2.44; 95% CI, 1.59-3.73; P < 0.001) compared to low/intermediate group. Consistent results were observed, regardless of age or administration of HER2-targeted therapy. CTS5 is a useful prognostic tool for predicting late DR and OS in HR-positive, HER2-positive breast cancer patients. Extension of endocrine therapy should be actively considered in patients with CTS5 high-risk group.</p>","PeriodicalId":19247,"journal":{"name":"NPJ Breast Cancer","volume":"11 1","pages":"33"},"PeriodicalIF":7.6000,"publicationDate":"2025-04-02","publicationTypes":"Journal Article","fieldsOfStudy":null,"isOpenAccess":false,"openAccessPdf":"https://www.ncbi.nlm.nih.gov/pmc/articles/PMC11965345/pdf/","citationCount":"0","resultStr":"{\"title\":\"Clinical relevance of clinical treatment score post-5 years (CTS5) in HR-positive, HER2-positive breast cancer.\",\"authors\":\"Soong June Bae, Sohyun Moon, Yoonwon Kook, Seung Ho Baek, Minji Lee, Jee Hung Kim, Sung Gwe Ahn, Joon Jeong\",\"doi\":\"10.1038/s41523-025-00747-6\",\"DOIUrl\":null,\"url\":null,\"abstract\":\"<p><p>There is currently no reliable predictive tool for late recurrence in hormone receptor (HR)-positive, human epidermal growth factor receptor 2 (HER2)-positive breast cancer. This study aimed to explore the potential of the clinical treatment score post-5l̥years (CTS5) as a predictive tool for long-term survival beyond 5 years in patients with specifically HR-positive, HER2-positive breast cancer. We collected patient-level data from the HERceptin Adjuvant (HERA) (BIG1-01; ClinicalTrials.gov identifier: NCT00045032) trial. Our investigation focused on assessing the risk of late distant recurrence (DR) and overall survival (OS) according to the CTS5 risk score as continuous value and CTS5 stratification risk groups. A total of 1,818 patients with HR-positive, HER2-positive breast cancer were included in this analysis. The CTS5 score, as a continuous variable, emerged as an independent prognostic factor for both late DR (adjusted HR, 2.05; 95% CI, 1.63-2.58; P < 0.001) and OS (adjusted HR, 2.02; 95% CI, 1.58-2.58; P < 0.001), respectively. In addition, multivariable analysis showed a significant association between the high-risk group and adverse outcomes in late DR (adjusted HR, 2.76; 95% CI, 1.84-4.13; P < 0.001) and OS (adjusted HR, 2.44; 95% CI, 1.59-3.73; P < 0.001) compared to low/intermediate group. Consistent results were observed, regardless of age or administration of HER2-targeted therapy. CTS5 is a useful prognostic tool for predicting late DR and OS in HR-positive, HER2-positive breast cancer patients. Extension of endocrine therapy should be actively considered in patients with CTS5 high-risk group.</p>\",\"PeriodicalId\":19247,\"journal\":{\"name\":\"NPJ Breast Cancer\",\"volume\":\"11 1\",\"pages\":\"33\"},\"PeriodicalIF\":7.6000,\"publicationDate\":\"2025-04-02\",\"publicationTypes\":\"Journal Article\",\"fieldsOfStudy\":null,\"isOpenAccess\":false,\"openAccessPdf\":\"https://www.ncbi.nlm.nih.gov/pmc/articles/PMC11965345/pdf/\",\"citationCount\":\"0\",\"resultStr\":null,\"platform\":\"Semanticscholar\",\"paperid\":null,\"PeriodicalName\":\"NPJ Breast Cancer\",\"FirstCategoryId\":\"3\",\"ListUrlMain\":\"https://doi.org/10.1038/s41523-025-00747-6\",\"RegionNum\":2,\"RegionCategory\":\"医学\",\"ArticlePicture\":[],\"TitleCN\":null,\"AbstractTextCN\":null,\"PMCID\":null,\"EPubDate\":\"\",\"PubModel\":\"\",\"JCR\":\"Q1\",\"JCRName\":\"ONCOLOGY\",\"Score\":null,\"Total\":0}","platform":"Semanticscholar","paperid":null,"PeriodicalName":"NPJ Breast Cancer","FirstCategoryId":"3","ListUrlMain":"https://doi.org/10.1038/s41523-025-00747-6","RegionNum":2,"RegionCategory":"医学","ArticlePicture":[],"TitleCN":null,"AbstractTextCN":null,"PMCID":null,"EPubDate":"","PubModel":"","JCR":"Q1","JCRName":"ONCOLOGY","Score":null,"Total":0}
引用次数: 0

摘要

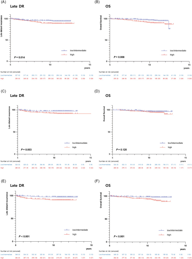
对于激素受体(HR)阳性、人表皮生长因子受体2 (HER2)阳性乳腺癌的晚期复发,目前尚无可靠的预测工具。本研究旨在探索5l年后临床治疗评分(CTS5)作为特异性hr阳性、her2阳性乳腺癌患者5年以上长期生存的预测工具的潜力。我们收集了HERceptin佐剂(HERA) (BIG1-01;ClinicalTrials.gov标识符:NCT00045032)试验。我们的研究重点是根据CTS5风险评分作为连续值和CTS5分层风险组来评估晚期远处复发(DR)和总生存(OS)的风险。该分析共纳入1818例hr阳性、her2阳性乳腺癌患者。CTS5评分作为一个连续变量,成为晚期DR的独立预后因素(调整后HR, 2.05;95% ci, 1.63-2.58;P
本文章由计算机程序翻译,如有差异,请以英文原文为准。

Clinical relevance of clinical treatment score post-5 years (CTS5) in HR-positive, HER2-positive breast cancer.

Clinical relevance of clinical treatment score post-5 years (CTS5) in HR-positive, HER2-positive breast cancer.

Clinical relevance of clinical treatment score post-5 years (CTS5) in HR-positive, HER2-positive breast cancer.

Clinical relevance of clinical treatment score post-5 years (CTS5) in HR-positive, HER2-positive breast cancer.

There is currently no reliable predictive tool for late recurrence in hormone receptor (HR)-positive, human epidermal growth factor receptor 2 (HER2)-positive breast cancer. This study aimed to explore the potential of the clinical treatment score post-5l̥years (CTS5) as a predictive tool for long-term survival beyond 5 years in patients with specifically HR-positive, HER2-positive breast cancer. We collected patient-level data from the HERceptin Adjuvant (HERA) (BIG1-01; ClinicalTrials.gov identifier: NCT00045032) trial. Our investigation focused on assessing the risk of late distant recurrence (DR) and overall survival (OS) according to the CTS5 risk score as continuous value and CTS5 stratification risk groups. A total of 1,818 patients with HR-positive, HER2-positive breast cancer were included in this analysis. The CTS5 score, as a continuous variable, emerged as an independent prognostic factor for both late DR (adjusted HR, 2.05; 95% CI, 1.63-2.58; P < 0.001) and OS (adjusted HR, 2.02; 95% CI, 1.58-2.58; P < 0.001), respectively. In addition, multivariable analysis showed a significant association between the high-risk group and adverse outcomes in late DR (adjusted HR, 2.76; 95% CI, 1.84-4.13; P < 0.001) and OS (adjusted HR, 2.44; 95% CI, 1.59-3.73; P < 0.001) compared to low/intermediate group. Consistent results were observed, regardless of age or administration of HER2-targeted therapy. CTS5 is a useful prognostic tool for predicting late DR and OS in HR-positive, HER2-positive breast cancer patients. Extension of endocrine therapy should be actively considered in patients with CTS5 high-risk group.

求助全文
通过发布文献求助,成功后即可免费获取论文全文。 去求助
来源期刊
NPJ Breast Cancer
NPJ Breast Cancer Medicine-Pharmacology (medical)
CiteScore
10.10
自引率
1.70%
发文量
122
审稿时长
9 weeks
期刊介绍: npj Breast Cancer publishes original research articles, reviews, brief correspondence, meeting reports, editorial summaries and hypothesis generating observations which could be unexplained or preliminary findings from experiments, novel ideas, or the framing of new questions that need to be solved. Featured topics of the journal include imaging, immunotherapy, molecular classification of disease, mechanism-based therapies largely targeting signal transduction pathways, carcinogenesis including hereditary susceptibility and molecular epidemiology, survivorship issues including long-term toxicities of treatment and secondary neoplasm occurrence, the biophysics of cancer, mechanisms of metastasis and their perturbation, and studies of the tumor microenvironment.
×
引用
GB/T 7714-2015
复制
MLA
复制
APA
复制
导出至
BibTeX EndNote RefMan NoteFirst NoteExpress
×
提示
您的信息不完整,为了账户安全,请先补充。
现在去补充
×
提示
您因"违规操作"
具体请查看互助需知
我知道了
×
提示
确定
请完成安全验证×
copy
已复制链接
快去分享给好友吧!
我知道了
右上角分享
点击右上角分享
0
联系我们:info@booksci.cn Book学术提供免费学术资源搜索服务,方便国内外学者检索中英文文献。致力于提供最便捷和优质的服务体验。 Copyright © 2023 布克学术 All rights reserved.
京ICP备2023020795号-1
ghs 京公网安备 11010802042870号
Book学术文献互助
Book学术文献互助群
群 号:604180095
Book学术官方微信