IL-34在脓毒症和脓毒症引起的急性肺损伤中的预后作用:初步结果和未来方向。

IF 1.4 4区 生物学 Q4 BIOCHEMISTRY & MOLECULAR BIOLOGY
Acta biochimica Polonica Pub Date : 2025-03-19 eCollection Date: 2025-01-01 DOI:10.3389/abp.2025.13958
Run Cai, Jianke Ren, Chenwei Zhou, Yuxin Liu, Jianlei Tang, Weiyan Cui, Yongmin Yan, Sheliang Xue, Yanjuan Zhou
{"title":"IL-34在脓毒症和脓毒症引起的急性肺损伤中的预后作用:初步结果和未来方向。","authors":"Run Cai, Jianke Ren, Chenwei Zhou, Yuxin Liu, Jianlei Tang, Weiyan Cui, Yongmin Yan, Sheliang Xue, Yanjuan Zhou","doi":"10.3389/abp.2025.13958","DOIUrl":null,"url":null,"abstract":"<p><strong>Objective: </strong>This study aimed to evaluate the potential of interleukin-34 (IL-34) as a novel biomarker for predicting mortality in sepsis patients, with a specific focus on those with sepsis-induced acute lung injury (ALI).</p><p><strong>Methods: </strong>This prospective cohort study enrolled 115 sepsis patients admitted to the intensive care unit (ICU). The patients were divided into survival and non-survival groups, as well as ALI and non-ALI subgroups. Serum levels of IL-34, in conjunction with other established biomarkers such as interleukin-6 (IL-6), C-reactive protein (CRP), and lactate, were measured and analyzed. Statistical analyses, including receiver operating characteristic (ROC) curves, Kaplan-Meier survival curves and Cox regression models, were used to determine the prognostic significance of IL-34.</p><p><strong>Results: </strong>Serum IL-34 levels were significantly elevated in sepsis patients compared to healthy controls, and they were also higher in non-survival group compared to survival group (<i>p</i> < 0.05). Additionally, IL-34 levels exhibited a positive correlation with sepsis severity, as indicated by APACHE II and SOFA scores. Kaplan-Meier survival curves and multivariate COX regression analysis revealed that IL-34 is an independent risk factor for death within 28 days of sepsis. The serum IL-34 level in the ALI group was significantly higher than that in the non-ALI group, particularly in severe cases (<i>p</i> < 0.05). However, the prognostic value of IL-34 in sepsis-induced ALI requires further investigation.</p><p><strong>Conclusion: </strong>IL-34 shows promise as an independent prognostic factor in sepsis patients and may enhance risk stratification, especially in those with sepsis-induced ALI.</p>","PeriodicalId":6984,"journal":{"name":"Acta biochimica Polonica","volume":"72 ","pages":"13958"},"PeriodicalIF":1.4000,"publicationDate":"2025-03-19","publicationTypes":"Journal Article","fieldsOfStudy":null,"isOpenAccess":false,"openAccessPdf":"https://www.ncbi.nlm.nih.gov/pmc/articles/PMC11963693/pdf/","citationCount":"0","resultStr":"{\"title\":\"Prognostic role of IL-34 in sepsis and sepsis-induced acute lung injury: preliminary results and future directions.\",\"authors\":\"Run Cai, Jianke Ren, Chenwei Zhou, Yuxin Liu, Jianlei Tang, Weiyan Cui, Yongmin Yan, Sheliang Xue, Yanjuan Zhou\",\"doi\":\"10.3389/abp.2025.13958\",\"DOIUrl\":null,\"url\":null,\"abstract\":\"<p><strong>Objective: </strong>This study aimed to evaluate the potential of interleukin-34 (IL-34) as a novel biomarker for predicting mortality in sepsis patients, with a specific focus on those with sepsis-induced acute lung injury (ALI).</p><p><strong>Methods: </strong>This prospective cohort study enrolled 115 sepsis patients admitted to the intensive care unit (ICU). The patients were divided into survival and non-survival groups, as well as ALI and non-ALI subgroups. Serum levels of IL-34, in conjunction with other established biomarkers such as interleukin-6 (IL-6), C-reactive protein (CRP), and lactate, were measured and analyzed. Statistical analyses, including receiver operating characteristic (ROC) curves, Kaplan-Meier survival curves and Cox regression models, were used to determine the prognostic significance of IL-34.</p><p><strong>Results: </strong>Serum IL-34 levels were significantly elevated in sepsis patients compared to healthy controls, and they were also higher in non-survival group compared to survival group (<i>p</i> < 0.05). Additionally, IL-34 levels exhibited a positive correlation with sepsis severity, as indicated by APACHE II and SOFA scores. Kaplan-Meier survival curves and multivariate COX regression analysis revealed that IL-34 is an independent risk factor for death within 28 days of sepsis. The serum IL-34 level in the ALI group was significantly higher than that in the non-ALI group, particularly in severe cases (<i>p</i> < 0.05). However, the prognostic value of IL-34 in sepsis-induced ALI requires further investigation.</p><p><strong>Conclusion: </strong>IL-34 shows promise as an independent prognostic factor in sepsis patients and may enhance risk stratification, especially in those with sepsis-induced ALI.</p>\",\"PeriodicalId\":6984,\"journal\":{\"name\":\"Acta biochimica Polonica\",\"volume\":\"72 \",\"pages\":\"13958\"},\"PeriodicalIF\":1.4000,\"publicationDate\":\"2025-03-19\",\"publicationTypes\":\"Journal Article\",\"fieldsOfStudy\":null,\"isOpenAccess\":false,\"openAccessPdf\":\"https://www.ncbi.nlm.nih.gov/pmc/articles/PMC11963693/pdf/\",\"citationCount\":\"0\",\"resultStr\":null,\"platform\":\"Semanticscholar\",\"paperid\":null,\"PeriodicalName\":\"Acta biochimica Polonica\",\"FirstCategoryId\":\"99\",\"ListUrlMain\":\"https://doi.org/10.3389/abp.2025.13958\",\"RegionNum\":4,\"RegionCategory\":\"生物学\",\"ArticlePicture\":[],\"TitleCN\":null,\"AbstractTextCN\":null,\"PMCID\":null,\"EPubDate\":\"2025/1/1 0:00:00\",\"PubModel\":\"eCollection\",\"JCR\":\"Q4\",\"JCRName\":\"BIOCHEMISTRY & MOLECULAR BIOLOGY\",\"Score\":null,\"Total\":0}","platform":"Semanticscholar","paperid":null,"PeriodicalName":"Acta biochimica Polonica","FirstCategoryId":"99","ListUrlMain":"https://doi.org/10.3389/abp.2025.13958","RegionNum":4,"RegionCategory":"生物学","ArticlePicture":[],"TitleCN":null,"AbstractTextCN":null,"PMCID":null,"EPubDate":"2025/1/1 0:00:00","PubModel":"eCollection","JCR":"Q4","JCRName":"BIOCHEMISTRY & MOLECULAR BIOLOGY","Score":null,"Total":0}
引用次数: 0

摘要

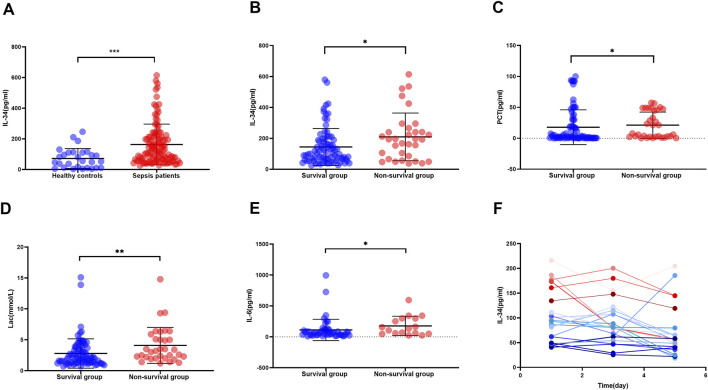
目的:本研究旨在评估白细胞介素-34 (IL-34)作为预测脓毒症患者死亡率的新生物标志物的潜力,特别关注脓毒症引起的急性肺损伤(ALI)患者。方法:本前瞻性队列研究纳入了115例入住重症监护病房(ICU)的脓毒症患者。将患者分为生存组和非生存组,以及ALI和非ALI亚组。测量和分析血清IL-34水平,以及其他已建立的生物标志物,如白细胞介素-6 (IL-6)、c反应蛋白(CRP)和乳酸盐。采用统计学分析,包括受试者工作特征(ROC)曲线、Kaplan-Meier生存曲线和Cox回归模型来确定IL-34的预后意义。结果:脓毒症患者血清IL-34水平明显高于健康对照组,非生存组血清IL-34水平明显高于生存组(p < 0.05)。此外,如APACHE II和SOFA评分所示,IL-34水平与脓毒症严重程度呈正相关。Kaplan-Meier生存曲线和多因素COX回归分析显示IL-34是脓毒症28天内死亡的独立危险因素。ALI组血清IL-34水平显著高于非ALI组,尤其在重症组显著高于非ALI组(p < 0.05)。然而,IL-34在脓毒症诱导的ALI中的预后价值有待进一步研究。结论:IL-34有望作为脓毒症患者的独立预后因素,并可能增强风险分层,特别是在脓毒症诱导的ALI患者中。
本文章由计算机程序翻译,如有差异,请以英文原文为准。

Prognostic role of IL-34 in sepsis and sepsis-induced acute lung injury: preliminary results and future directions.

Prognostic role of IL-34 in sepsis and sepsis-induced acute lung injury: preliminary results and future directions.

Prognostic role of IL-34 in sepsis and sepsis-induced acute lung injury: preliminary results and future directions.

Prognostic role of IL-34 in sepsis and sepsis-induced acute lung injury: preliminary results and future directions.

Objective: This study aimed to evaluate the potential of interleukin-34 (IL-34) as a novel biomarker for predicting mortality in sepsis patients, with a specific focus on those with sepsis-induced acute lung injury (ALI).

Methods: This prospective cohort study enrolled 115 sepsis patients admitted to the intensive care unit (ICU). The patients were divided into survival and non-survival groups, as well as ALI and non-ALI subgroups. Serum levels of IL-34, in conjunction with other established biomarkers such as interleukin-6 (IL-6), C-reactive protein (CRP), and lactate, were measured and analyzed. Statistical analyses, including receiver operating characteristic (ROC) curves, Kaplan-Meier survival curves and Cox regression models, were used to determine the prognostic significance of IL-34.

Results: Serum IL-34 levels were significantly elevated in sepsis patients compared to healthy controls, and they were also higher in non-survival group compared to survival group (p < 0.05). Additionally, IL-34 levels exhibited a positive correlation with sepsis severity, as indicated by APACHE II and SOFA scores. Kaplan-Meier survival curves and multivariate COX regression analysis revealed that IL-34 is an independent risk factor for death within 28 days of sepsis. The serum IL-34 level in the ALI group was significantly higher than that in the non-ALI group, particularly in severe cases (p < 0.05). However, the prognostic value of IL-34 in sepsis-induced ALI requires further investigation.

Conclusion: IL-34 shows promise as an independent prognostic factor in sepsis patients and may enhance risk stratification, especially in those with sepsis-induced ALI.

求助全文
通过发布文献求助,成功后即可免费获取论文全文。 去求助
来源期刊
Acta biochimica Polonica
Acta biochimica Polonica 生物-生化与分子生物学
CiteScore
2.40
自引率
0.00%
发文量
99
审稿时长
4-8 weeks
期刊介绍: Acta Biochimica Polonica is a journal covering enzymology and metabolism, membranes and bioenergetics, gene structure and expression, protein, nucleic acid and carbohydrate structure and metabolism.
×
引用
GB/T 7714-2015
复制
MLA
复制
APA
复制
导出至
BibTeX EndNote RefMan NoteFirst NoteExpress
×
提示
您的信息不完整,为了账户安全,请先补充。
现在去补充
×
提示
您因"违规操作"
具体请查看互助需知
我知道了
×
提示
确定
请完成安全验证×
copy
已复制链接
快去分享给好友吧!
我知道了
右上角分享
点击右上角分享
0
联系我们:info@booksci.cn Book学术提供免费学术资源搜索服务,方便国内外学者检索中英文文献。致力于提供最便捷和优质的服务体验。 Copyright © 2023 布克学术 All rights reserved.
京ICP备2023020795号-1
ghs 京公网安备 11010802042870号
Book学术文献互助
Book学术文献互助群
群 号:604180095
Book学术官方微信