陈年大蒜提取物中含硫化合物的药代动力学:S.烯丙基半胱氨酸、S.1.丙烯基半胱氨酸、S.甲基半胱氨酸、S.烯丙基巯基半胱氨酸及其他(综述)。

IF 2.3
Experimental and therapeutic medicine Pub Date : 2025-03-26 eCollection Date: 2025-05-01 DOI:10.3892/etm.2025.12852
Masato Nakamoto, Kayo Kunimura, Masahiro Ohtani
{"title":"陈年大蒜提取物中含硫化合物的药代动力学:S.烯丙基半胱氨酸、S.1.丙烯基半胱氨酸、S.甲基半胱氨酸、S.烯丙基巯基半胱氨酸及其他(综述)。","authors":"Masato Nakamoto, Kayo Kunimura, Masahiro Ohtani","doi":"10.3892/etm.2025.12852","DOIUrl":null,"url":null,"abstract":"<p><p>Aged garlic extract (AGE) is produced by aging raw garlic (<i>Allium sativum L.</i>) in an alcoholic solution for >10 months. AGE is rich in sulfur-containing amino acids, such as <i>S</i>-allylcysteine (SAC), <i>S</i>-1-propenylcysteine (S1PC), <i>S</i>-methylcysteine (SMC) and <i>S</i>-allylmercaptocysteine (SAMC). These sulfur-containing amino acids exert various beneficial pharmacological effects and have different pharmacokinetic properties. For instance, SAC, S1PC and SMC are well absorbed in rats with high bioavailability (88.0-95.8%), whereas SAMC is not detected in the plasma after oral administration. Orally administered SAC and S1PC are excreted in urine in their <i>N</i>-acetylated forms and ~50% of SMC is excreted as inorganic sulfur compounds, whereas SAMC immediately reacts with blood and is metabolized into volatile sulfur compounds. The present review summarizes and discusses the pharmacokinetic profiles (absorption, distribution, metabolism and excretion) of sulfur-containing compounds present in AGE and other garlic-derived substances, such as allicin.</p>","PeriodicalId":94002,"journal":{"name":"Experimental and therapeutic medicine","volume":"29 5","pages":"102"},"PeriodicalIF":2.3000,"publicationDate":"2025-03-26","publicationTypes":"Journal Article","fieldsOfStudy":null,"isOpenAccess":false,"openAccessPdf":"https://www.ncbi.nlm.nih.gov/pmc/articles/PMC11959343/pdf/","citationCount":"0","resultStr":"{\"title\":\"Pharmacokinetics of sulfur?containing compounds in aged garlic extract: <i>S</i>?Allylcysteine, <i>S</i>?1?propenylcysteine, <i>S</i>?methylcysteine, <i>S</i>?allylmercaptocysteine and others (Review).\",\"authors\":\"Masato Nakamoto, Kayo Kunimura, Masahiro Ohtani\",\"doi\":\"10.3892/etm.2025.12852\",\"DOIUrl\":null,\"url\":null,\"abstract\":\"<p><p>Aged garlic extract (AGE) is produced by aging raw garlic (<i>Allium sativum L.</i>) in an alcoholic solution for >10 months. AGE is rich in sulfur-containing amino acids, such as <i>S</i>-allylcysteine (SAC), <i>S</i>-1-propenylcysteine (S1PC), <i>S</i>-methylcysteine (SMC) and <i>S</i>-allylmercaptocysteine (SAMC). These sulfur-containing amino acids exert various beneficial pharmacological effects and have different pharmacokinetic properties. For instance, SAC, S1PC and SMC are well absorbed in rats with high bioavailability (88.0-95.8%), whereas SAMC is not detected in the plasma after oral administration. Orally administered SAC and S1PC are excreted in urine in their <i>N</i>-acetylated forms and ~50% of SMC is excreted as inorganic sulfur compounds, whereas SAMC immediately reacts with blood and is metabolized into volatile sulfur compounds. The present review summarizes and discusses the pharmacokinetic profiles (absorption, distribution, metabolism and excretion) of sulfur-containing compounds present in AGE and other garlic-derived substances, such as allicin.</p>\",\"PeriodicalId\":94002,\"journal\":{\"name\":\"Experimental and therapeutic medicine\",\"volume\":\"29 5\",\"pages\":\"102\"},\"PeriodicalIF\":2.3000,\"publicationDate\":\"2025-03-26\",\"publicationTypes\":\"Journal Article\",\"fieldsOfStudy\":null,\"isOpenAccess\":false,\"openAccessPdf\":\"https://www.ncbi.nlm.nih.gov/pmc/articles/PMC11959343/pdf/\",\"citationCount\":\"0\",\"resultStr\":null,\"platform\":\"Semanticscholar\",\"paperid\":null,\"PeriodicalName\":\"Experimental and therapeutic medicine\",\"FirstCategoryId\":\"1085\",\"ListUrlMain\":\"https://doi.org/10.3892/etm.2025.12852\",\"RegionNum\":0,\"RegionCategory\":null,\"ArticlePicture\":[],\"TitleCN\":null,\"AbstractTextCN\":null,\"PMCID\":null,\"EPubDate\":\"2025/5/1 0:00:00\",\"PubModel\":\"eCollection\",\"JCR\":\"\",\"JCRName\":\"\",\"Score\":null,\"Total\":0}","platform":"Semanticscholar","paperid":null,"PeriodicalName":"Experimental and therapeutic medicine","FirstCategoryId":"1085","ListUrlMain":"https://doi.org/10.3892/etm.2025.12852","RegionNum":0,"RegionCategory":null,"ArticlePicture":[],"TitleCN":null,"AbstractTextCN":null,"PMCID":null,"EPubDate":"2025/5/1 0:00:00","PubModel":"eCollection","JCR":"","JCRName":"","Score":null,"Total":0}
引用次数: 0

摘要

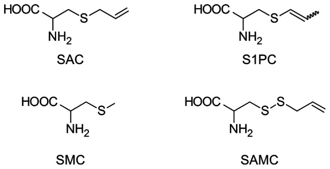
陈年大蒜提取物(AGE)是由生大蒜(Allium sativum L.)在酒精溶液中陈年10个月而产生的。AGE富含s -烯丙基半胱氨酸(SAC)、s -1-丙烯基半胱氨酸(S1PC)、s -甲基半胱氨酸(SMC)和s -烯丙基巯基半胱氨酸(SAMC)等含硫氨基酸。这些含硫氨基酸发挥各种有益的药理作用,具有不同的药代动力学性质。例如,SAC、S1PC和SMC在大鼠体内吸收良好,生物利用度高(88.0-95.8%),而口服给药后血浆中未检测到SAMC。口服SAC和S1PC以n -乙酰化形式从尿液中排出,约50%的SMC以无机硫化合物的形式排出,而SAMC立即与血液反应并代谢成挥发性硫化合物。本文综述并讨论了AGE中含硫化合物和大蒜素等大蒜衍生物质的药代动力学特征(吸收、分布、代谢和排泄)。
本文章由计算机程序翻译,如有差异,请以英文原文为准。

Pharmacokinetics of sulfur?containing compounds in aged garlic extract: <i>S</i>?Allylcysteine, <i>S</i>?1?propenylcysteine, <i>S</i>?methylcysteine, <i>S</i>?allylmercaptocysteine and others (Review).

Pharmacokinetics of sulfur?containing compounds in aged garlic extract: <i>S</i>?Allylcysteine, <i>S</i>?1?propenylcysteine, <i>S</i>?methylcysteine, <i>S</i>?allylmercaptocysteine and others (Review).

Pharmacokinetics of sulfur?containing compounds in aged garlic extract: <i>S</i>?Allylcysteine, <i>S</i>?1?propenylcysteine, <i>S</i>?methylcysteine, <i>S</i>?allylmercaptocysteine and others (Review).

Pharmacokinetics of sulfur?containing compounds in aged garlic extract: S?Allylcysteine, S?1?propenylcysteine, S?methylcysteine, S?allylmercaptocysteine and others (Review).

Aged garlic extract (AGE) is produced by aging raw garlic (Allium sativum L.) in an alcoholic solution for >10 months. AGE is rich in sulfur-containing amino acids, such as S-allylcysteine (SAC), S-1-propenylcysteine (S1PC), S-methylcysteine (SMC) and S-allylmercaptocysteine (SAMC). These sulfur-containing amino acids exert various beneficial pharmacological effects and have different pharmacokinetic properties. For instance, SAC, S1PC and SMC are well absorbed in rats with high bioavailability (88.0-95.8%), whereas SAMC is not detected in the plasma after oral administration. Orally administered SAC and S1PC are excreted in urine in their N-acetylated forms and ~50% of SMC is excreted as inorganic sulfur compounds, whereas SAMC immediately reacts with blood and is metabolized into volatile sulfur compounds. The present review summarizes and discusses the pharmacokinetic profiles (absorption, distribution, metabolism and excretion) of sulfur-containing compounds present in AGE and other garlic-derived substances, such as allicin.

求助全文
通过发布文献求助,成功后即可免费获取论文全文。 去求助
来源期刊
自引率
0.00%
发文量
0
×
引用
GB/T 7714-2015
复制
MLA
复制
APA
复制
导出至
BibTeX EndNote RefMan NoteFirst NoteExpress
×
提示
您的信息不完整,为了账户安全,请先补充。
现在去补充
×
提示
您因"违规操作"
具体请查看互助需知
我知道了
×
提示
确定
请完成安全验证×
copy
已复制链接
快去分享给好友吧!
我知道了
右上角分享
点击右上角分享
0
联系我们:info@booksci.cn Book学术提供免费学术资源搜索服务,方便国内外学者检索中英文文献。致力于提供最便捷和优质的服务体验。 Copyright © 2023 布克学术 All rights reserved.
京ICP备2023020795号-1
ghs 京公网安备 11010802042870号
Book学术文献互助
Book学术文献互助群
群 号:604180095
Book学术官方微信