反?陈年大蒜提取物的动脉粥样硬化作用:作用方式和治疗效果(综述)。

IF 2.3
Experimental and therapeutic medicine Pub Date : 2025-03-26 eCollection Date: 2025-05-01 DOI:10.3892/etm.2025.12854
Satomi Miki, Miyuki Takashima, Jun-Ichiro Suzuki
{"title":"反?陈年大蒜提取物的动脉粥样硬化作用:作用方式和治疗效果(综述)。","authors":"Satomi Miki, Miyuki Takashima, Jun-Ichiro Suzuki","doi":"10.3892/etm.2025.12854","DOIUrl":null,"url":null,"abstract":"<p><p>Atherosclerosis, a chronic inflammatory disease characterized by plaque buildup within the arteries that obstructs blood flow and significantly increases the morbidity and mortality rates associated with cardiovascular diseases caused by impaired blood flow due to vascular stenosis or occlusion, such as angina and myocardial infarction. The development of atherosclerosis involves a complex interplay of endothelial dysfunction, accumulation of oxidized low-density lipoprotein and macrophage-driven inflammation. The risk factors for atherosclerosis include chronic inflammation, hyperlipidemia and hypertension. Effective management of these risk factors can prevent and delay the onset and progression of atherosclerosis. Garlic and its processed preparations have previously been utilized to mitigate cardiovascular risk factors and continue to be used in traditional medicine in several countries. Among these preparations, aged garlic extract (AGE) has been shown to improve atherosclerosis in clinical trials and animal studies. AGE contains various compounds with potential anti-atherosclerotic properties, such as <i>S</i>-1-propenylcysteine, <i>S</i>-allylcysteine and other sulfur-containing constituents, which may help prevent the development and progression of atherosclerosis. The present manuscript reviewed and discussed the anti-atherogenic effect of AGE and its constituents by highlighting their mode of action and potential benefits for prevention and therapy in the management of atherosclerosis.</p>","PeriodicalId":94002,"journal":{"name":"Experimental and therapeutic medicine","volume":"29 5","pages":"104"},"PeriodicalIF":2.3000,"publicationDate":"2025-03-26","publicationTypes":"Journal Article","fieldsOfStudy":null,"isOpenAccess":false,"openAccessPdf":"https://www.ncbi.nlm.nih.gov/pmc/articles/PMC11959349/pdf/","citationCount":"0","resultStr":"{\"title\":\"Anti?atherosclerotic effect of aged garlic extract: Mode of action and therapeutic benefits (Review).\",\"authors\":\"Satomi Miki, Miyuki Takashima, Jun-Ichiro Suzuki\",\"doi\":\"10.3892/etm.2025.12854\",\"DOIUrl\":null,\"url\":null,\"abstract\":\"<p><p>Atherosclerosis, a chronic inflammatory disease characterized by plaque buildup within the arteries that obstructs blood flow and significantly increases the morbidity and mortality rates associated with cardiovascular diseases caused by impaired blood flow due to vascular stenosis or occlusion, such as angina and myocardial infarction. The development of atherosclerosis involves a complex interplay of endothelial dysfunction, accumulation of oxidized low-density lipoprotein and macrophage-driven inflammation. The risk factors for atherosclerosis include chronic inflammation, hyperlipidemia and hypertension. Effective management of these risk factors can prevent and delay the onset and progression of atherosclerosis. Garlic and its processed preparations have previously been utilized to mitigate cardiovascular risk factors and continue to be used in traditional medicine in several countries. Among these preparations, aged garlic extract (AGE) has been shown to improve atherosclerosis in clinical trials and animal studies. AGE contains various compounds with potential anti-atherosclerotic properties, such as <i>S</i>-1-propenylcysteine, <i>S</i>-allylcysteine and other sulfur-containing constituents, which may help prevent the development and progression of atherosclerosis. The present manuscript reviewed and discussed the anti-atherogenic effect of AGE and its constituents by highlighting their mode of action and potential benefits for prevention and therapy in the management of atherosclerosis.</p>\",\"PeriodicalId\":94002,\"journal\":{\"name\":\"Experimental and therapeutic medicine\",\"volume\":\"29 5\",\"pages\":\"104\"},\"PeriodicalIF\":2.3000,\"publicationDate\":\"2025-03-26\",\"publicationTypes\":\"Journal Article\",\"fieldsOfStudy\":null,\"isOpenAccess\":false,\"openAccessPdf\":\"https://www.ncbi.nlm.nih.gov/pmc/articles/PMC11959349/pdf/\",\"citationCount\":\"0\",\"resultStr\":null,\"platform\":\"Semanticscholar\",\"paperid\":null,\"PeriodicalName\":\"Experimental and therapeutic medicine\",\"FirstCategoryId\":\"1085\",\"ListUrlMain\":\"https://doi.org/10.3892/etm.2025.12854\",\"RegionNum\":0,\"RegionCategory\":null,\"ArticlePicture\":[],\"TitleCN\":null,\"AbstractTextCN\":null,\"PMCID\":null,\"EPubDate\":\"2025/5/1 0:00:00\",\"PubModel\":\"eCollection\",\"JCR\":\"\",\"JCRName\":\"\",\"Score\":null,\"Total\":0}","platform":"Semanticscholar","paperid":null,"PeriodicalName":"Experimental and therapeutic medicine","FirstCategoryId":"1085","ListUrlMain":"https://doi.org/10.3892/etm.2025.12854","RegionNum":0,"RegionCategory":null,"ArticlePicture":[],"TitleCN":null,"AbstractTextCN":null,"PMCID":null,"EPubDate":"2025/5/1 0:00:00","PubModel":"eCollection","JCR":"","JCRName":"","Score":null,"Total":0}
引用次数: 0

摘要

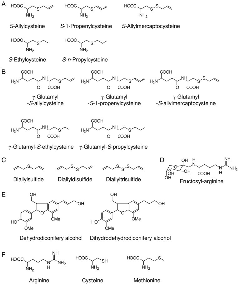
动脉粥样硬化,一种慢性炎症性疾病,其特征是动脉内斑块积聚,阻碍血液流动,并显著增加与心血管疾病相关的发病率和死亡率,这些疾病是由血管狭窄或闭塞引起的血流受损,如心绞痛和心肌梗死。动脉粥样硬化的发展涉及内皮功能障碍、氧化低密度脂蛋白积累和巨噬细胞驱动的炎症的复杂相互作用。动脉粥样硬化的危险因素包括慢性炎症、高脂血症和高血压。有效管理这些危险因素可以预防和延缓动脉粥样硬化的发生和发展。大蒜及其加工制剂以前已被用来减轻心血管危险因素,并继续在一些国家的传统医学中使用。在这些制剂中,老化大蒜提取物(AGE)已在临床试验和动物研究中显示出改善动脉粥样硬化的作用。AGE含有多种具有潜在抗动脉粥样硬化特性的化合物,如s -1-丙烯半胱氨酸、s -丙烯半胱氨酸和其他含硫成分,可能有助于预防动脉粥样硬化的发生和发展。本文回顾并讨论了AGE及其成分的抗动脉粥样硬化作用,强调了它们的作用方式和在动脉粥样硬化管理中预防和治疗的潜在益处。
本文章由计算机程序翻译,如有差异,请以英文原文为准。

Anti?atherosclerotic effect of aged garlic extract: Mode of action and therapeutic benefits (Review).

Anti?atherosclerotic effect of aged garlic extract: Mode of action and therapeutic benefits (Review).

Anti?atherosclerotic effect of aged garlic extract: Mode of action and therapeutic benefits (Review).

Anti?atherosclerotic effect of aged garlic extract: Mode of action and therapeutic benefits (Review).

Atherosclerosis, a chronic inflammatory disease characterized by plaque buildup within the arteries that obstructs blood flow and significantly increases the morbidity and mortality rates associated with cardiovascular diseases caused by impaired blood flow due to vascular stenosis or occlusion, such as angina and myocardial infarction. The development of atherosclerosis involves a complex interplay of endothelial dysfunction, accumulation of oxidized low-density lipoprotein and macrophage-driven inflammation. The risk factors for atherosclerosis include chronic inflammation, hyperlipidemia and hypertension. Effective management of these risk factors can prevent and delay the onset and progression of atherosclerosis. Garlic and its processed preparations have previously been utilized to mitigate cardiovascular risk factors and continue to be used in traditional medicine in several countries. Among these preparations, aged garlic extract (AGE) has been shown to improve atherosclerosis in clinical trials and animal studies. AGE contains various compounds with potential anti-atherosclerotic properties, such as S-1-propenylcysteine, S-allylcysteine and other sulfur-containing constituents, which may help prevent the development and progression of atherosclerosis. The present manuscript reviewed and discussed the anti-atherogenic effect of AGE and its constituents by highlighting their mode of action and potential benefits for prevention and therapy in the management of atherosclerosis.

求助全文
通过发布文献求助,成功后即可免费获取论文全文。 去求助
来源期刊
自引率
0.00%
发文量
0
×
引用
GB/T 7714-2015
复制
MLA
复制
APA
复制
导出至
BibTeX EndNote RefMan NoteFirst NoteExpress
×
提示
您的信息不完整,为了账户安全,请先补充。
现在去补充
×
提示
您因"违规操作"
具体请查看互助需知
我知道了
×
提示
确定
请完成安全验证×
copy
已复制链接
快去分享给好友吧!
我知道了
右上角分享
点击右上角分享
0
联系我们:info@booksci.cn Book学术提供免费学术资源搜索服务,方便国内外学者检索中英文文献。致力于提供最便捷和优质的服务体验。 Copyright © 2023 布克学术 All rights reserved.
京ICP备2023020795号-1
ghs 京公网安备 11010802042870号
Book学术文献互助
Book学术文献互助群
群 号:604180095
Book学术官方微信