一项随机对照试验的结果,该试验调查了社区干预对严重精神疾病患者赋权的有效性。

IF 3.5 2区 医学 Q1 PSYCHIATRY
Annabel Sandra Mueller-Stierlin, Thomas Becker, Nils Greve, Anke Hänsel, Katrin Herder, Anne Kohlmann, Jutta Lehle, Uta Majewsky, Friedrich Meixner, Elke Prestin, Melanie Pouwels, Nadja Puschner, Sabrina Reuter, Mara Schumacher, Stefanie Wöhler, Reinhold Kilian
{"title":"一项随机对照试验的结果,该试验调查了社区干预对严重精神疾病患者赋权的有效性。","authors":"Annabel Sandra Mueller-Stierlin, Thomas Becker, Nils Greve, Anke Hänsel, Katrin Herder, Anne Kohlmann, Jutta Lehle, Uta Majewsky, Friedrich Meixner, Elke Prestin, Melanie Pouwels, Nadja Puschner, Sabrina Reuter, Mara Schumacher, Stefanie Wöhler, Reinhold Kilian","doi":"10.1007/s00127-025-02879-3","DOIUrl":null,"url":null,"abstract":"<p><strong>Purpose: </strong>The effectiveness of community mental health services with respect to enhancing empowerment among patients with severe mental illness (SMI) has rarely been investigated. In this multicenter trial the effectiveness of a community mental health intervention (acronym: GBV) added to treatment as usual (TAU) compared to TAU alone was investigated.</p><p><strong>Methods: </strong>In a randomized controlled multicenter trial with twelve sites spread across Germany, people living with SMI aged 18-82 years were investigated over 24 months. The trial was conducted from 2020 to 2023, a time period affected by the Covid-19 pandemic. The intervention was delivered by multiprofessional GBV teams based on the Functional Assertive Community Treatment (FACT) program and was supplemented by strategies that increase the degree of self-determination. The primary outcome was measured by the Assessment of Empowerment in Patients with Affective and Schizophrenic Disorders (EPAS). Difference in difference (DiD) effect sizes were estimated on an intention-to-treat basis.</p><p><strong>Results: </strong>A total of 929 persons with SMI were randomly assigned to the GBV plus TAU intervention (n = 470) or to TAU alone (n = 459). The dropout rate over 24 months amounted to 28%. DiD effect sizes over 24 months indicate significant treatment effects for empowerment (d = 0.27; 95% CI = 0.14 0.40). Serious adverse events (SAE) were reported for 15 (3.2%) participants in the GBV + TAU vs. 17 (3.7%) in the TAU group.</p><p><strong>Conclusion: </strong>The addition of GBV to TAU, for patients with SMI, can be recommended as an effective measure to improve key psychosocial outcomes in mental health care settings across Germany.</p><p><strong>Trial registration: </strong>German Clinical Trial Register, DRKS00019086. Registered on 3 January 2020, https://drks.de/search/de/trial/DRKS00019086 .</p>","PeriodicalId":49510,"journal":{"name":"Social Psychiatry and Psychiatric Epidemiology","volume":" ","pages":"2135-2147"},"PeriodicalIF":3.5000,"publicationDate":"2025-09-01","publicationTypes":"Journal Article","fieldsOfStudy":null,"isOpenAccess":false,"openAccessPdf":"https://www.ncbi.nlm.nih.gov/pmc/articles/PMC12378831/pdf/","citationCount":"0","resultStr":"{\"title\":\"Results from a randomized controlled trial investigating effectiveness of a community-based intervention on empowerment of people with severe mental illness.\",\"authors\":\"Annabel Sandra Mueller-Stierlin, Thomas Becker, Nils Greve, Anke Hänsel, Katrin Herder, Anne Kohlmann, Jutta Lehle, Uta Majewsky, Friedrich Meixner, Elke Prestin, Melanie Pouwels, Nadja Puschner, Sabrina Reuter, Mara Schumacher, Stefanie Wöhler, Reinhold Kilian\",\"doi\":\"10.1007/s00127-025-02879-3\",\"DOIUrl\":null,\"url\":null,\"abstract\":\"<p><strong>Purpose: </strong>The effectiveness of community mental health services with respect to enhancing empowerment among patients with severe mental illness (SMI) has rarely been investigated. In this multicenter trial the effectiveness of a community mental health intervention (acronym: GBV) added to treatment as usual (TAU) compared to TAU alone was investigated.</p><p><strong>Methods: </strong>In a randomized controlled multicenter trial with twelve sites spread across Germany, people living with SMI aged 18-82 years were investigated over 24 months. The trial was conducted from 2020 to 2023, a time period affected by the Covid-19 pandemic. The intervention was delivered by multiprofessional GBV teams based on the Functional Assertive Community Treatment (FACT) program and was supplemented by strategies that increase the degree of self-determination. The primary outcome was measured by the Assessment of Empowerment in Patients with Affective and Schizophrenic Disorders (EPAS). Difference in difference (DiD) effect sizes were estimated on an intention-to-treat basis.</p><p><strong>Results: </strong>A total of 929 persons with SMI were randomly assigned to the GBV plus TAU intervention (n = 470) or to TAU alone (n = 459). The dropout rate over 24 months amounted to 28%. DiD effect sizes over 24 months indicate significant treatment effects for empowerment (d = 0.27; 95% CI = 0.14 0.40). Serious adverse events (SAE) were reported for 15 (3.2%) participants in the GBV + TAU vs. 17 (3.7%) in the TAU group.</p><p><strong>Conclusion: </strong>The addition of GBV to TAU, for patients with SMI, can be recommended as an effective measure to improve key psychosocial outcomes in mental health care settings across Germany.</p><p><strong>Trial registration: </strong>German Clinical Trial Register, DRKS00019086. Registered on 3 January 2020, https://drks.de/search/de/trial/DRKS00019086 .</p>\",\"PeriodicalId\":49510,\"journal\":{\"name\":\"Social Psychiatry and Psychiatric Epidemiology\",\"volume\":\" \",\"pages\":\"2135-2147\"},\"PeriodicalIF\":3.5000,\"publicationDate\":\"2025-09-01\",\"publicationTypes\":\"Journal Article\",\"fieldsOfStudy\":null,\"isOpenAccess\":false,\"openAccessPdf\":\"https://www.ncbi.nlm.nih.gov/pmc/articles/PMC12378831/pdf/\",\"citationCount\":\"0\",\"resultStr\":null,\"platform\":\"Semanticscholar\",\"paperid\":null,\"PeriodicalName\":\"Social Psychiatry and Psychiatric Epidemiology\",\"FirstCategoryId\":\"3\",\"ListUrlMain\":\"https://doi.org/10.1007/s00127-025-02879-3\",\"RegionNum\":2,\"RegionCategory\":\"医学\",\"ArticlePicture\":[],\"TitleCN\":null,\"AbstractTextCN\":null,\"PMCID\":null,\"EPubDate\":\"2025/4/1 0:00:00\",\"PubModel\":\"Epub\",\"JCR\":\"Q1\",\"JCRName\":\"PSYCHIATRY\",\"Score\":null,\"Total\":0}","platform":"Semanticscholar","paperid":null,"PeriodicalName":"Social Psychiatry and Psychiatric Epidemiology","FirstCategoryId":"3","ListUrlMain":"https://doi.org/10.1007/s00127-025-02879-3","RegionNum":2,"RegionCategory":"医学","ArticlePicture":[],"TitleCN":null,"AbstractTextCN":null,"PMCID":null,"EPubDate":"2025/4/1 0:00:00","PubModel":"Epub","JCR":"Q1","JCRName":"PSYCHIATRY","Score":null,"Total":0}
引用次数: 0

摘要

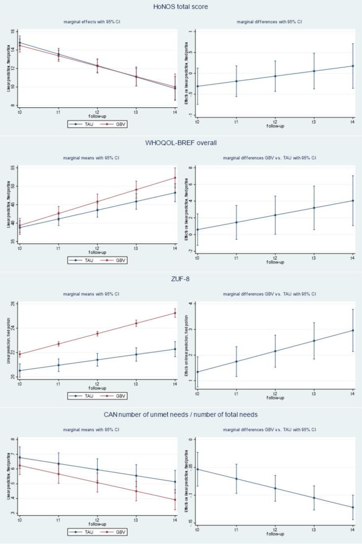
目的:社区精神卫生服务在加强严重精神疾病(SMI)患者赋权方面的有效性很少得到调查。在这项多中心试验中,研究了社区心理健康干预(简称:GBV)与常规治疗(TAU)相结合的有效性,并与单独的TAU进行了比较。方法:在一项分布于德国12个地点的随机对照多中心试验中,对18-82岁的重度精神分裂症患者进行了为期24个月的调查。该试验于2020年至2023年进行,这段时间受到Covid-19大流行的影响。干预由基于功能性自信社区治疗(FACT)项目的多专业GBV团队提供,并辅以提高自我决定程度的策略。主要结果通过情感性和精神分裂症患者授权评估(EPAS)来衡量。在意向治疗基础上估计差异效应量(DiD)。结果:共有929名重度精神障碍患者被随机分配到GBV + TAU干预组(n = 470)或单独TAU干预组(n = 459)。24个月的辍学率达到28%。超过24个月的DiD效应量表明授权治疗效果显著(d = 0.27;95% ci = 0.14 0.40)。GBV + TAU组报告了15例(3.2%)严重不良事件(SAE), TAU组报告了17例(3.7%)。结论:对于重度精神分裂症患者,在TAU基础上添加GBV可作为改善德国精神卫生保健机构关键社会心理结局的有效措施。试验注册:德国临床试验注册,DRKS00019086。2020年1月3日注册,邮箱:https://drks.de/search/de/trial/DRKS00019086。
本文章由计算机程序翻译,如有差异,请以英文原文为准。

Results from a randomized controlled trial investigating effectiveness of a community-based intervention on empowerment of people with severe mental illness.

Results from a randomized controlled trial investigating effectiveness of a community-based intervention on empowerment of people with severe mental illness.

Results from a randomized controlled trial investigating effectiveness of a community-based intervention on empowerment of people with severe mental illness.

Results from a randomized controlled trial investigating effectiveness of a community-based intervention on empowerment of people with severe mental illness.

Purpose: The effectiveness of community mental health services with respect to enhancing empowerment among patients with severe mental illness (SMI) has rarely been investigated. In this multicenter trial the effectiveness of a community mental health intervention (acronym: GBV) added to treatment as usual (TAU) compared to TAU alone was investigated.

Methods: In a randomized controlled multicenter trial with twelve sites spread across Germany, people living with SMI aged 18-82 years were investigated over 24 months. The trial was conducted from 2020 to 2023, a time period affected by the Covid-19 pandemic. The intervention was delivered by multiprofessional GBV teams based on the Functional Assertive Community Treatment (FACT) program and was supplemented by strategies that increase the degree of self-determination. The primary outcome was measured by the Assessment of Empowerment in Patients with Affective and Schizophrenic Disorders (EPAS). Difference in difference (DiD) effect sizes were estimated on an intention-to-treat basis.

Results: A total of 929 persons with SMI were randomly assigned to the GBV plus TAU intervention (n = 470) or to TAU alone (n = 459). The dropout rate over 24 months amounted to 28%. DiD effect sizes over 24 months indicate significant treatment effects for empowerment (d = 0.27; 95% CI = 0.14 0.40). Serious adverse events (SAE) were reported for 15 (3.2%) participants in the GBV + TAU vs. 17 (3.7%) in the TAU group.

Conclusion: The addition of GBV to TAU, for patients with SMI, can be recommended as an effective measure to improve key psychosocial outcomes in mental health care settings across Germany.

Trial registration: German Clinical Trial Register, DRKS00019086. Registered on 3 January 2020, https://drks.de/search/de/trial/DRKS00019086 .

求助全文
通过发布文献求助,成功后即可免费获取论文全文。 去求助
来源期刊
CiteScore
8.50
自引率
2.30%
发文量
184
审稿时长
3-6 weeks
期刊介绍: Social Psychiatry and Psychiatric Epidemiology is intended to provide a medium for the prompt publication of scientific contributions concerned with all aspects of the epidemiology of psychiatric disorders - social, biological and genetic. In addition, the journal has a particular focus on the effects of social conditions upon behaviour and the relationship between psychiatric disorders and the social environment. Contributions may be of a clinical nature provided they relate to social issues, or they may deal with specialised investigations in the fields of social psychology, sociology, anthropology, epidemiology, health service research, health economies or public mental health. We will publish papers on cross-cultural and trans-cultural themes. We do not publish case studies or small case series. While we will publish studies of reliability and validity of new instruments of interest to our readership, we will not publish articles reporting on the performance of established instruments in translation. Both original work and review articles may be submitted.
×
引用
GB/T 7714-2015
复制
MLA
复制
APA
复制
导出至
BibTeX EndNote RefMan NoteFirst NoteExpress
×
提示
您的信息不完整,为了账户安全,请先补充。
现在去补充
×
提示
您因"违规操作"
具体请查看互助需知
我知道了
×
提示
确定
请完成安全验证×
copy
已复制链接
快去分享给好友吧!
我知道了
右上角分享
点击右上角分享
0
联系我们:info@booksci.cn Book学术提供免费学术资源搜索服务,方便国内外学者检索中英文文献。致力于提供最便捷和优质的服务体验。 Copyright © 2023 布克学术 All rights reserved.
京ICP备2023020795号-1
ghs 京公网安备 11010802042870号
Book学术文献互助
Book学术文献互助群
群 号:604180095
Book学术官方微信