甲状腺激素水平与慢性肾脏疾病发病率的关系:德黑兰甲状腺研究(TTS)。

IF 1.8 Q3 ENDOCRINOLOGY & METABOLISM
Atoosa Motaghedi Larijani, Safdar Masoumi, Hengameh Abdi, Atieh Amouzegar, Fereidoun Azizi
{"title":"甲状腺激素水平与慢性肾脏疾病发病率的关系:德黑兰甲状腺研究(TTS)。","authors":"Atoosa Motaghedi Larijani, Safdar Masoumi, Hengameh Abdi, Atieh Amouzegar, Fereidoun Azizi","doi":"10.1186/s13044-025-00228-9","DOIUrl":null,"url":null,"abstract":"<p><strong>Background: </strong>Evidence regarding the relationship between thyroid hormone levels within the normal range and the incidence of chronic kidney disease (CKD) in adults is scarce. This study aimed to identify the association between thyrotropin (TSH) and free thyroxine (FT4) levels with the incidence of CKD in a large cohort study over long-term follow-up.</p><p><strong>Methods: </strong>This prospective cohort study, with an 18-year follow-up, included 4118 adults without CKD from the Tehran thyroid Study (TTS). Participants were categorized by tertiles of normal TSH levels (low-normal, middle-normal, and high-normal) and abnormal TSH. The study outcome was incident CKD, defined as an estimated glomerular filtration rate (eGFR) < 60 mL/min/1.73 m<sup>2</sup>. Multivariable Cox proportional hazard models were used to estimate hazard ratios (HRs) for CKD incidence based on thyroid hormone levels.</p><p><strong>Results: </strong>The HR for CKD development was 1.08 (95%CI: 1.01-1.15) per 1 SD increase in the TSH levels. Compared with participants with low-normal TSH levels, those with high-normal (HR:1.37; 95%CI: 1.03-1.84) and abnormal TSH (HR:1.24; 95%CI: 1.05-1.46) had a significantly higher risk of developing CKD. In subgroup analyses, the association between TSH level and CKD was significant in participants younger than 60 years, females, non-obese, non-smokers, and those without diabetes and hypertension. No association was observed between FT4 levels and incident CKD (HR: 0.92; 95%CI: 0.79-1.09). However, a significant association was observed between FT4 levels within the normal range and CKD development in those younger than 60 years old (HR: 0.77; 95% CI: 0.61-0.98).</p><p><strong>Conclusion: </strong>Increased TSH levels, even within the normal range, linearly increased the risk of CKD even after adjustment for important risk factors. As a result, TSH may potentially be an independent risk factor for incident CKD.</p>","PeriodicalId":39048,"journal":{"name":"Thyroid Research","volume":"18 1","pages":"13"},"PeriodicalIF":1.8000,"publicationDate":"2025-04-02","publicationTypes":"Journal Article","fieldsOfStudy":null,"isOpenAccess":false,"openAccessPdf":"https://www.ncbi.nlm.nih.gov/pmc/articles/PMC11963448/pdf/","citationCount":"0","resultStr":"{\"title\":\"The association of thyroid hormone levels and incidence of chronic kidney disease: the Tehran thyroid study (TTS).\",\"authors\":\"Atoosa Motaghedi Larijani, Safdar Masoumi, Hengameh Abdi, Atieh Amouzegar, Fereidoun Azizi\",\"doi\":\"10.1186/s13044-025-00228-9\",\"DOIUrl\":null,\"url\":null,\"abstract\":\"<p><strong>Background: </strong>Evidence regarding the relationship between thyroid hormone levels within the normal range and the incidence of chronic kidney disease (CKD) in adults is scarce. This study aimed to identify the association between thyrotropin (TSH) and free thyroxine (FT4) levels with the incidence of CKD in a large cohort study over long-term follow-up.</p><p><strong>Methods: </strong>This prospective cohort study, with an 18-year follow-up, included 4118 adults without CKD from the Tehran thyroid Study (TTS). Participants were categorized by tertiles of normal TSH levels (low-normal, middle-normal, and high-normal) and abnormal TSH. The study outcome was incident CKD, defined as an estimated glomerular filtration rate (eGFR) < 60 mL/min/1.73 m<sup>2</sup>. Multivariable Cox proportional hazard models were used to estimate hazard ratios (HRs) for CKD incidence based on thyroid hormone levels.</p><p><strong>Results: </strong>The HR for CKD development was 1.08 (95%CI: 1.01-1.15) per 1 SD increase in the TSH levels. Compared with participants with low-normal TSH levels, those with high-normal (HR:1.37; 95%CI: 1.03-1.84) and abnormal TSH (HR:1.24; 95%CI: 1.05-1.46) had a significantly higher risk of developing CKD. In subgroup analyses, the association between TSH level and CKD was significant in participants younger than 60 years, females, non-obese, non-smokers, and those without diabetes and hypertension. No association was observed between FT4 levels and incident CKD (HR: 0.92; 95%CI: 0.79-1.09). However, a significant association was observed between FT4 levels within the normal range and CKD development in those younger than 60 years old (HR: 0.77; 95% CI: 0.61-0.98).</p><p><strong>Conclusion: </strong>Increased TSH levels, even within the normal range, linearly increased the risk of CKD even after adjustment for important risk factors. As a result, TSH may potentially be an independent risk factor for incident CKD.</p>\",\"PeriodicalId\":39048,\"journal\":{\"name\":\"Thyroid Research\",\"volume\":\"18 1\",\"pages\":\"13\"},\"PeriodicalIF\":1.8000,\"publicationDate\":\"2025-04-02\",\"publicationTypes\":\"Journal Article\",\"fieldsOfStudy\":null,\"isOpenAccess\":false,\"openAccessPdf\":\"https://www.ncbi.nlm.nih.gov/pmc/articles/PMC11963448/pdf/\",\"citationCount\":\"0\",\"resultStr\":null,\"platform\":\"Semanticscholar\",\"paperid\":null,\"PeriodicalName\":\"Thyroid Research\",\"FirstCategoryId\":\"1085\",\"ListUrlMain\":\"https://doi.org/10.1186/s13044-025-00228-9\",\"RegionNum\":0,\"RegionCategory\":null,\"ArticlePicture\":[],\"TitleCN\":null,\"AbstractTextCN\":null,\"PMCID\":null,\"EPubDate\":\"\",\"PubModel\":\"\",\"JCR\":\"Q3\",\"JCRName\":\"ENDOCRINOLOGY & METABOLISM\",\"Score\":null,\"Total\":0}","platform":"Semanticscholar","paperid":null,"PeriodicalName":"Thyroid Research","FirstCategoryId":"1085","ListUrlMain":"https://doi.org/10.1186/s13044-025-00228-9","RegionNum":0,"RegionCategory":null,"ArticlePicture":[],"TitleCN":null,"AbstractTextCN":null,"PMCID":null,"EPubDate":"","PubModel":"","JCR":"Q3","JCRName":"ENDOCRINOLOGY & METABOLISM","Score":null,"Total":0}
引用次数: 0

摘要

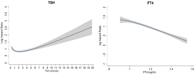
背景:关于正常范围内甲状腺激素水平与成人慢性肾脏疾病(CKD)发病率之间关系的证据很少。本研究旨在通过一项长期随访的大型队列研究,确定促甲状腺素(TSH)和游离甲状腺素(FT4)水平与CKD发病率之间的关系。方法:这项前瞻性队列研究,随访18年,包括来自德黑兰甲状腺研究(TTS)的4118名无CKD的成年人。参与者按正常TSH水平(低正常、中正常、高正常)和异常TSH水平分类。研究结果为CKD发生率,定义为肾小球滤过率(eGFR) 2。使用多变量Cox比例风险模型估计基于甲状腺激素水平的CKD发病率的风险比(hr)。结果:TSH水平每升高1 SD, CKD发展的HR为1.08 (95%CI: 1.01-1.15)。与低正常TSH水平的参与者相比,高正常(HR:1.37;95%CI: 1.03-1.84)和TSH异常(HR:1.24;95%CI: 1.05-1.46)发生慢性肾病的风险显著增高。在亚组分析中,TSH水平与CKD之间的关联在年龄小于60岁、女性、非肥胖、不吸烟、无糖尿病和高血压的参与者中具有显著意义。FT4水平与CKD发生率无关联(HR: 0.92;95%置信区间:0.79—-1.09)。然而,在正常范围内的FT4水平与60岁以下的CKD发展之间存在显著关联(HR: 0.77;95% ci: 0.61-0.98)。结论:TSH水平升高,即使在正常范围内,即使调整了重要的危险因素,也会线性增加CKD的风险。因此,TSH可能是CKD发生的独立危险因素。
本文章由计算机程序翻译,如有差异,请以英文原文为准。

The association of thyroid hormone levels and incidence of chronic kidney disease: the Tehran thyroid study (TTS).

The association of thyroid hormone levels and incidence of chronic kidney disease: the Tehran thyroid study (TTS).

The association of thyroid hormone levels and incidence of chronic kidney disease: the Tehran thyroid study (TTS).

The association of thyroid hormone levels and incidence of chronic kidney disease: the Tehran thyroid study (TTS).

Background: Evidence regarding the relationship between thyroid hormone levels within the normal range and the incidence of chronic kidney disease (CKD) in adults is scarce. This study aimed to identify the association between thyrotropin (TSH) and free thyroxine (FT4) levels with the incidence of CKD in a large cohort study over long-term follow-up.

Methods: This prospective cohort study, with an 18-year follow-up, included 4118 adults without CKD from the Tehran thyroid Study (TTS). Participants were categorized by tertiles of normal TSH levels (low-normal, middle-normal, and high-normal) and abnormal TSH. The study outcome was incident CKD, defined as an estimated glomerular filtration rate (eGFR) < 60 mL/min/1.73 m2. Multivariable Cox proportional hazard models were used to estimate hazard ratios (HRs) for CKD incidence based on thyroid hormone levels.

Results: The HR for CKD development was 1.08 (95%CI: 1.01-1.15) per 1 SD increase in the TSH levels. Compared with participants with low-normal TSH levels, those with high-normal (HR:1.37; 95%CI: 1.03-1.84) and abnormal TSH (HR:1.24; 95%CI: 1.05-1.46) had a significantly higher risk of developing CKD. In subgroup analyses, the association between TSH level and CKD was significant in participants younger than 60 years, females, non-obese, non-smokers, and those without diabetes and hypertension. No association was observed between FT4 levels and incident CKD (HR: 0.92; 95%CI: 0.79-1.09). However, a significant association was observed between FT4 levels within the normal range and CKD development in those younger than 60 years old (HR: 0.77; 95% CI: 0.61-0.98).

Conclusion: Increased TSH levels, even within the normal range, linearly increased the risk of CKD even after adjustment for important risk factors. As a result, TSH may potentially be an independent risk factor for incident CKD.

求助全文
通过发布文献求助,成功后即可免费获取论文全文。 去求助
来源期刊
Thyroid Research
Thyroid Research Medicine-Endocrinology, Diabetes and Metabolism
CiteScore
3.10
自引率
4.50%
发文量
21
审稿时长
8 weeks
×
引用
GB/T 7714-2015
复制
MLA
复制
APA
复制
导出至
BibTeX EndNote RefMan NoteFirst NoteExpress
×
提示
您的信息不完整,为了账户安全,请先补充。
现在去补充
×
提示
您因"违规操作"
具体请查看互助需知
我知道了
×
提示
确定
请完成安全验证×
copy
已复制链接
快去分享给好友吧!
我知道了
右上角分享
点击右上角分享
0
联系我们:info@booksci.cn Book学术提供免费学术资源搜索服务,方便国内外学者检索中英文文献。致力于提供最便捷和优质的服务体验。 Copyright © 2023 布克学术 All rights reserved.
京ICP备2023020795号-1
ghs 京公网安备 11010802042870号
Book学术文献互助
Book学术文献互助群
群 号:604180095
Book学术官方微信