动态的,可解释的,基于机器学习的结果预测作为急性缺血性卒中患者护理的新机会:一项概念验证研究。

IF 1.6 Q3 PERIPHERAL VASCULAR DISEASE
Stroke Research and Treatment Pub Date : 2025-03-25 eCollection Date: 2025-01-01 DOI:10.1155/srat/3561616
Ivan Petrović, Sava Njegovan, Olivera Tomašević, Dmitar Vlahović, Sonja Rajić, Željko Živanović, Isidora Milosavljević, Ana Balenović, Nikola Jorgovanović
{"title":"动态的,可解释的,基于机器学习的结果预测作为急性缺血性卒中患者护理的新机会:一项概念验证研究。","authors":"Ivan Petrović, Sava Njegovan, Olivera Tomašević, Dmitar Vlahović, Sonja Rajić, Željko Živanović, Isidora Milosavljević, Ana Balenović, Nikola Jorgovanović","doi":"10.1155/srat/3561616","DOIUrl":null,"url":null,"abstract":"<p><p><b>Introduction:</b> While the machine learning (ML) model's black-box nature presents a significant barrier to effective clinical application, the dynamic nature of stroke patients' recovery further undermines the reliability of established predictive scores and models, making them less suitable for accurate prediction and appropriate patient care. This research is aimed at building and evaluating an interpretable ML-based model, which would perform outcome prediction at different time points of patients' recovery, giving more secure and understandable output through interpretable packages. <b>Materials and Methods:</b> A retrospective analysis was conducted on acute ischemic stroke (AIS) patients treated with alteplase at the Neurology Clinic of the University Clinical Center of Vojvodina (Novi Sad, Serbia), for 14 years. Clinical data were grouped into four categories based on collection time-baseline, 2-h, 24-h, and discharge features-serving as inputs for three different classifiers-support vector machine (SVM), logistic regression (LR), and random forest (RF). The 90-day modified Rankin scale (mRS) was used as the outcome measure, distinguishing between favorable (mRS ≤ 2) and unfavorable outcomes (mRS ≥ 3). <b>Results:</b> The sample was described with 49 features and included 355 patients, with a median age of 67 years (interquartile range (IQR) 60-74 years), 66% being male. The models achieved strong discrimination in the testing set, with area under the curve (AUC) values ranging from 0.80 to 0.96. Additionally, they were compared with a model based on the DRAGON score, which showed an AUC of 0.760 (95% confidence interval (CI), 0.640-0.862). The decision-making process was more thoroughly understood using interpretable packages: Shapley additive explanation (SHAP) and local interpretable model-agnostic explanation (LIME). They revealed the most significant features at both the group and individual patient levels. <b>Conclusions and Clinical Implications:</b> This study demonstrated the moderate to strong efficacy of interpretable ML-based models in predicting the functional outcomes of alteplase-treated AIS patients. In all constructed models, age, onset-to-treatment time, and platelet count were recognized as the important predictors, followed by clinical parameters measured at different time points, such as the National Institutes of Health Stroke Scale (NIHSS) and systolic and diastolic blood pressure values. The dynamic approach, coupled with interpretable models, can aid in providing insights into the potential factors that could be modified and thus contribute to a better outcome.</p>","PeriodicalId":22054,"journal":{"name":"Stroke Research and Treatment","volume":"2025 ","pages":"3561616"},"PeriodicalIF":1.6000,"publicationDate":"2025-03-25","publicationTypes":"Journal Article","fieldsOfStudy":null,"isOpenAccess":false,"openAccessPdf":"https://www.ncbi.nlm.nih.gov/pmc/articles/PMC11961286/pdf/","citationCount":"0","resultStr":"{\"title\":\"Dynamic, Interpretable, Machine Learning-Based Outcome Prediction as a New Emerging Opportunity in Acute Ischemic Stroke Patient Care: A Proof-of-Concept Study.\",\"authors\":\"Ivan Petrović, Sava Njegovan, Olivera Tomašević, Dmitar Vlahović, Sonja Rajić, Željko Živanović, Isidora Milosavljević, Ana Balenović, Nikola Jorgovanović\",\"doi\":\"10.1155/srat/3561616\",\"DOIUrl\":null,\"url\":null,\"abstract\":\"<p><p><b>Introduction:</b> While the machine learning (ML) model's black-box nature presents a significant barrier to effective clinical application, the dynamic nature of stroke patients' recovery further undermines the reliability of established predictive scores and models, making them less suitable for accurate prediction and appropriate patient care. This research is aimed at building and evaluating an interpretable ML-based model, which would perform outcome prediction at different time points of patients' recovery, giving more secure and understandable output through interpretable packages. <b>Materials and Methods:</b> A retrospective analysis was conducted on acute ischemic stroke (AIS) patients treated with alteplase at the Neurology Clinic of the University Clinical Center of Vojvodina (Novi Sad, Serbia), for 14 years. Clinical data were grouped into four categories based on collection time-baseline, 2-h, 24-h, and discharge features-serving as inputs for three different classifiers-support vector machine (SVM), logistic regression (LR), and random forest (RF). The 90-day modified Rankin scale (mRS) was used as the outcome measure, distinguishing between favorable (mRS ≤ 2) and unfavorable outcomes (mRS ≥ 3). <b>Results:</b> The sample was described with 49 features and included 355 patients, with a median age of 67 years (interquartile range (IQR) 60-74 years), 66% being male. The models achieved strong discrimination in the testing set, with area under the curve (AUC) values ranging from 0.80 to 0.96. Additionally, they were compared with a model based on the DRAGON score, which showed an AUC of 0.760 (95% confidence interval (CI), 0.640-0.862). The decision-making process was more thoroughly understood using interpretable packages: Shapley additive explanation (SHAP) and local interpretable model-agnostic explanation (LIME). They revealed the most significant features at both the group and individual patient levels. <b>Conclusions and Clinical Implications:</b> This study demonstrated the moderate to strong efficacy of interpretable ML-based models in predicting the functional outcomes of alteplase-treated AIS patients. In all constructed models, age, onset-to-treatment time, and platelet count were recognized as the important predictors, followed by clinical parameters measured at different time points, such as the National Institutes of Health Stroke Scale (NIHSS) and systolic and diastolic blood pressure values. The dynamic approach, coupled with interpretable models, can aid in providing insights into the potential factors that could be modified and thus contribute to a better outcome.</p>\",\"PeriodicalId\":22054,\"journal\":{\"name\":\"Stroke Research and Treatment\",\"volume\":\"2025 \",\"pages\":\"3561616\"},\"PeriodicalIF\":1.6000,\"publicationDate\":\"2025-03-25\",\"publicationTypes\":\"Journal Article\",\"fieldsOfStudy\":null,\"isOpenAccess\":false,\"openAccessPdf\":\"https://www.ncbi.nlm.nih.gov/pmc/articles/PMC11961286/pdf/\",\"citationCount\":\"0\",\"resultStr\":null,\"platform\":\"Semanticscholar\",\"paperid\":null,\"PeriodicalName\":\"Stroke Research and Treatment\",\"FirstCategoryId\":\"1085\",\"ListUrlMain\":\"https://doi.org/10.1155/srat/3561616\",\"RegionNum\":0,\"RegionCategory\":null,\"ArticlePicture\":[],\"TitleCN\":null,\"AbstractTextCN\":null,\"PMCID\":null,\"EPubDate\":\"2025/1/1 0:00:00\",\"PubModel\":\"eCollection\",\"JCR\":\"Q3\",\"JCRName\":\"PERIPHERAL VASCULAR DISEASE\",\"Score\":null,\"Total\":0}","platform":"Semanticscholar","paperid":null,"PeriodicalName":"Stroke Research and Treatment","FirstCategoryId":"1085","ListUrlMain":"https://doi.org/10.1155/srat/3561616","RegionNum":0,"RegionCategory":null,"ArticlePicture":[],"TitleCN":null,"AbstractTextCN":null,"PMCID":null,"EPubDate":"2025/1/1 0:00:00","PubModel":"eCollection","JCR":"Q3","JCRName":"PERIPHERAL VASCULAR DISEASE","Score":null,"Total":0}
引用次数: 0

摘要

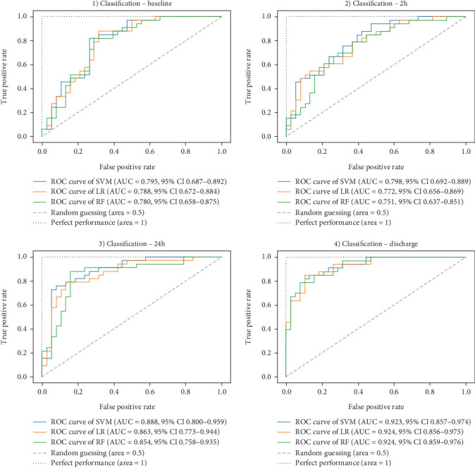
导言:机器学习(ML)模型的黑箱特性对有效的临床应用构成了重大障碍,而脑卒中患者康复的动态特性进一步削弱了已建立的预测评分和模型的可靠性,使其不适合准确预测和适当的患者护理。本研究旨在建立和评估一个可解释的基于ml的模型,该模型将在患者康复的不同时间点进行结果预测,通过可解释的包提供更安全、可理解的输出。材料与方法:回顾性分析了伏伊伏丁那大学临床中心(Novi Sad, Serbia)神经病学诊所14年来接受阿替普酶治疗的急性缺血性卒中(AIS)患者。临床数据根据收集时间基线、2小时、24小时和出院特征分为四类,作为三种不同分类器(支持向量机(SVM)、逻辑回归(LR)和随机森林(RF))的输入。采用90天改良Rankin量表(mRS)作为结果测量,区分有利(mRS≤2)和不利结果(mRS≥3)。结果:该样本描述了49个特征,包括355例患者,中位年龄为67岁(四分位数范围(IQR) 60-74岁),66%为男性。模型在测试集中具有较强的判别性,曲线下面积(AUC)值在0.80 ~ 0.96之间。此外,将它们与基于DRAGON评分的模型进行比较,其AUC为0.760(95%置信区间(CI), 0.640-0.862)。使用可解释的包:Shapley加性解释(SHAP)和局部可解释的模型不可知论解释(LIME)可以更彻底地理解决策过程。他们在群体和个体水平上揭示了最重要的特征。结论和临床意义:本研究表明,可解释的基于ml的模型在预测阿替普酶治疗的AIS患者的功能结局方面具有中等到较强的疗效。在所有构建的模型中,年龄、发病至治疗时间和血小板计数被认为是重要的预测因素,其次是在不同时间点测量的临床参数,如美国国立卫生研究院卒中量表(NIHSS)和收缩压和舒张压值。动态方法与可解释的模型相结合,可以帮助提供对可以修改的潜在因素的见解,从而有助于获得更好的结果。
本文章由计算机程序翻译,如有差异,请以英文原文为准。

Dynamic, Interpretable, Machine Learning-Based Outcome Prediction as a New Emerging Opportunity in Acute Ischemic Stroke Patient Care: A Proof-of-Concept Study.

Dynamic, Interpretable, Machine Learning-Based Outcome Prediction as a New Emerging Opportunity in Acute Ischemic Stroke Patient Care: A Proof-of-Concept Study.

Dynamic, Interpretable, Machine Learning-Based Outcome Prediction as a New Emerging Opportunity in Acute Ischemic Stroke Patient Care: A Proof-of-Concept Study.

Dynamic, Interpretable, Machine Learning-Based Outcome Prediction as a New Emerging Opportunity in Acute Ischemic Stroke Patient Care: A Proof-of-Concept Study.

Introduction: While the machine learning (ML) model's black-box nature presents a significant barrier to effective clinical application, the dynamic nature of stroke patients' recovery further undermines the reliability of established predictive scores and models, making them less suitable for accurate prediction and appropriate patient care. This research is aimed at building and evaluating an interpretable ML-based model, which would perform outcome prediction at different time points of patients' recovery, giving more secure and understandable output through interpretable packages. Materials and Methods: A retrospective analysis was conducted on acute ischemic stroke (AIS) patients treated with alteplase at the Neurology Clinic of the University Clinical Center of Vojvodina (Novi Sad, Serbia), for 14 years. Clinical data were grouped into four categories based on collection time-baseline, 2-h, 24-h, and discharge features-serving as inputs for three different classifiers-support vector machine (SVM), logistic regression (LR), and random forest (RF). The 90-day modified Rankin scale (mRS) was used as the outcome measure, distinguishing between favorable (mRS ≤ 2) and unfavorable outcomes (mRS ≥ 3). Results: The sample was described with 49 features and included 355 patients, with a median age of 67 years (interquartile range (IQR) 60-74 years), 66% being male. The models achieved strong discrimination in the testing set, with area under the curve (AUC) values ranging from 0.80 to 0.96. Additionally, they were compared with a model based on the DRAGON score, which showed an AUC of 0.760 (95% confidence interval (CI), 0.640-0.862). The decision-making process was more thoroughly understood using interpretable packages: Shapley additive explanation (SHAP) and local interpretable model-agnostic explanation (LIME). They revealed the most significant features at both the group and individual patient levels. Conclusions and Clinical Implications: This study demonstrated the moderate to strong efficacy of interpretable ML-based models in predicting the functional outcomes of alteplase-treated AIS patients. In all constructed models, age, onset-to-treatment time, and platelet count were recognized as the important predictors, followed by clinical parameters measured at different time points, such as the National Institutes of Health Stroke Scale (NIHSS) and systolic and diastolic blood pressure values. The dynamic approach, coupled with interpretable models, can aid in providing insights into the potential factors that could be modified and thus contribute to a better outcome.

求助全文
通过发布文献求助,成功后即可免费获取论文全文。 去求助
来源期刊
Stroke Research and Treatment
Stroke Research and Treatment PERIPHERAL VASCULAR DISEASE-
CiteScore
3.20
自引率
0.00%
发文量
14
审稿时长
12 weeks
×
引用
GB/T 7714-2015
复制
MLA
复制
APA
复制
导出至
BibTeX EndNote RefMan NoteFirst NoteExpress
×
提示
您的信息不完整,为了账户安全,请先补充。
现在去补充
×
提示
您因"违规操作"
具体请查看互助需知
我知道了
×
提示
确定
请完成安全验证×
copy
已复制链接
快去分享给好友吧!
我知道了
右上角分享
点击右上角分享
0
联系我们:info@booksci.cn Book学术提供免费学术资源搜索服务,方便国内外学者检索中英文文献。致力于提供最便捷和优质的服务体验。 Copyright © 2023 布克学术 All rights reserved.
京ICP备2023020795号-1
ghs 京公网安备 11010802042870号
Book学术文献互助
Book学术文献互助群
群 号:604180095
Book学术官方微信