血清铁水平与MASLD和肝纤维化的关系。

IF 2.6 3区 综合性期刊 Q1 MULTIDISCIPLINARY SCIENCES
PLoS ONE Pub Date : 2025-04-01 eCollection Date: 2025-01-01 DOI:10.1371/journal.pone.0319057
Wenying Guo, Ting Weng, Yufei Song
{"title":"血清铁水平与MASLD和肝纤维化的关系。","authors":"Wenying Guo, Ting Weng, Yufei Song","doi":"10.1371/journal.pone.0319057","DOIUrl":null,"url":null,"abstract":"<p><strong>Background: </strong>The MASLD proposal updates and supplements the previous definition of NAFLD, making it more suitable for addressing the current understanding of chronic liver diseases. This study aims to investigate the potential association between serum iron status and the occurrence of MASLD and liver fibrosis.</p><p><strong>Methods: </strong>An in-depth analysis was conducted using the 2017-2020 NHANES data. To assess the relationship between serum iron status and the prevalence of MASLD and liver fibrosis, we performed comprehensive data analysis. This approach accounts for multiple variables, enhancing the robustness and reliability of our results by reducing potential confounding factors.</p><p><strong>Results: </strong>Our application of linear regression models provided significant insights through a comprehensive data analysis. Elevated serum ferritin, TIBC, and UIBC showed a distinct positive correlation with CAP, while only serum ferritin was positively correlated with LSM. Multivariate logistic regression analysis revealed that elevated levels of serum ferritin, TIBC, and UIBC were significantly associated with the occurrence of MASLD, whereas only serum ferritin showed a similar association with the occurrence of liver fibrosis.</p><p><strong>Conclusion: </strong>This study highlights the significant positive correlation between elevated levels of serum ferritin, TIBC, and UIBC with CAP and the prevalence of MASLD. A similar relationship was observed between serum ferritin with LSM and the prevalence of liver fibrosis.</p>","PeriodicalId":20189,"journal":{"name":"PLoS ONE","volume":"20 4","pages":"e0319057"},"PeriodicalIF":2.6000,"publicationDate":"2025-04-01","publicationTypes":"Journal Article","fieldsOfStudy":null,"isOpenAccess":false,"openAccessPdf":"https://www.ncbi.nlm.nih.gov/pmc/articles/PMC11960921/pdf/","citationCount":"0","resultStr":"{\"title\":\"Association of serum iron status with MASLD and liver fibrosis.\",\"authors\":\"Wenying Guo, Ting Weng, Yufei Song\",\"doi\":\"10.1371/journal.pone.0319057\",\"DOIUrl\":null,\"url\":null,\"abstract\":\"<p><strong>Background: </strong>The MASLD proposal updates and supplements the previous definition of NAFLD, making it more suitable for addressing the current understanding of chronic liver diseases. This study aims to investigate the potential association between serum iron status and the occurrence of MASLD and liver fibrosis.</p><p><strong>Methods: </strong>An in-depth analysis was conducted using the 2017-2020 NHANES data. To assess the relationship between serum iron status and the prevalence of MASLD and liver fibrosis, we performed comprehensive data analysis. This approach accounts for multiple variables, enhancing the robustness and reliability of our results by reducing potential confounding factors.</p><p><strong>Results: </strong>Our application of linear regression models provided significant insights through a comprehensive data analysis. Elevated serum ferritin, TIBC, and UIBC showed a distinct positive correlation with CAP, while only serum ferritin was positively correlated with LSM. Multivariate logistic regression analysis revealed that elevated levels of serum ferritin, TIBC, and UIBC were significantly associated with the occurrence of MASLD, whereas only serum ferritin showed a similar association with the occurrence of liver fibrosis.</p><p><strong>Conclusion: </strong>This study highlights the significant positive correlation between elevated levels of serum ferritin, TIBC, and UIBC with CAP and the prevalence of MASLD. A similar relationship was observed between serum ferritin with LSM and the prevalence of liver fibrosis.</p>\",\"PeriodicalId\":20189,\"journal\":{\"name\":\"PLoS ONE\",\"volume\":\"20 4\",\"pages\":\"e0319057\"},\"PeriodicalIF\":2.6000,\"publicationDate\":\"2025-04-01\",\"publicationTypes\":\"Journal Article\",\"fieldsOfStudy\":null,\"isOpenAccess\":false,\"openAccessPdf\":\"https://www.ncbi.nlm.nih.gov/pmc/articles/PMC11960921/pdf/\",\"citationCount\":\"0\",\"resultStr\":null,\"platform\":\"Semanticscholar\",\"paperid\":null,\"PeriodicalName\":\"PLoS ONE\",\"FirstCategoryId\":\"103\",\"ListUrlMain\":\"https://doi.org/10.1371/journal.pone.0319057\",\"RegionNum\":3,\"RegionCategory\":\"综合性期刊\",\"ArticlePicture\":[],\"TitleCN\":null,\"AbstractTextCN\":null,\"PMCID\":null,\"EPubDate\":\"2025/1/1 0:00:00\",\"PubModel\":\"eCollection\",\"JCR\":\"Q1\",\"JCRName\":\"MULTIDISCIPLINARY SCIENCES\",\"Score\":null,\"Total\":0}","platform":"Semanticscholar","paperid":null,"PeriodicalName":"PLoS ONE","FirstCategoryId":"103","ListUrlMain":"https://doi.org/10.1371/journal.pone.0319057","RegionNum":3,"RegionCategory":"综合性期刊","ArticlePicture":[],"TitleCN":null,"AbstractTextCN":null,"PMCID":null,"EPubDate":"2025/1/1 0:00:00","PubModel":"eCollection","JCR":"Q1","JCRName":"MULTIDISCIPLINARY SCIENCES","Score":null,"Total":0}
引用次数: 0

摘要

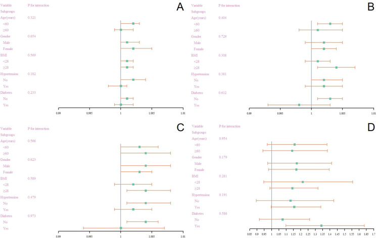
背景:MASLD提案更新和补充了先前NAFLD的定义,使其更适合解决当前对慢性肝病的理解。本研究旨在探讨血清铁水平与MASLD和肝纤维化发生之间的潜在关联。方法:采用2017-2020年NHANES数据进行深入分析。为了评估血清铁水平与MASLD患病率和肝纤维化之间的关系,我们进行了全面的数据分析。这种方法考虑了多个变量,通过减少潜在的混杂因素,增强了我们结果的稳健性和可靠性。结果:我们的线性回归模型的应用提供了重要的见解,通过全面的数据分析。血清铁蛋白升高、TIBC、UIBC与CAP呈显著正相关,而血清铁蛋白升高与LSM呈显著正相关。多因素logistic回归分析显示,血清铁蛋白、TIBC和UIBC水平升高与MASLD的发生显著相关,而只有血清铁蛋白与肝纤维化的发生有类似的相关性。结论:本研究强调了血清铁蛋白、TIBC和UIBC水平升高与CAP和MASLD患病率之间的显著正相关。血清铁蛋白与LSM和肝纤维化患病率之间也存在类似的关系。
本文章由计算机程序翻译,如有差异,请以英文原文为准。

Association of serum iron status with MASLD and liver fibrosis.

Association of serum iron status with MASLD and liver fibrosis.

Association of serum iron status with MASLD and liver fibrosis.

Association of serum iron status with MASLD and liver fibrosis.

Background: The MASLD proposal updates and supplements the previous definition of NAFLD, making it more suitable for addressing the current understanding of chronic liver diseases. This study aims to investigate the potential association between serum iron status and the occurrence of MASLD and liver fibrosis.

Methods: An in-depth analysis was conducted using the 2017-2020 NHANES data. To assess the relationship between serum iron status and the prevalence of MASLD and liver fibrosis, we performed comprehensive data analysis. This approach accounts for multiple variables, enhancing the robustness and reliability of our results by reducing potential confounding factors.

Results: Our application of linear regression models provided significant insights through a comprehensive data analysis. Elevated serum ferritin, TIBC, and UIBC showed a distinct positive correlation with CAP, while only serum ferritin was positively correlated with LSM. Multivariate logistic regression analysis revealed that elevated levels of serum ferritin, TIBC, and UIBC were significantly associated with the occurrence of MASLD, whereas only serum ferritin showed a similar association with the occurrence of liver fibrosis.

Conclusion: This study highlights the significant positive correlation between elevated levels of serum ferritin, TIBC, and UIBC with CAP and the prevalence of MASLD. A similar relationship was observed between serum ferritin with LSM and the prevalence of liver fibrosis.

求助全文
通过发布文献求助,成功后即可免费获取论文全文。 去求助
来源期刊
PLoS ONE
PLoS ONE 生物-生物学
CiteScore
6.20
自引率
5.40%
发文量
14242
审稿时长
3.7 months
期刊介绍: PLOS ONE is an international, peer-reviewed, open-access, online publication. PLOS ONE welcomes reports on primary research from any scientific discipline. It provides: * Open-access—freely accessible online, authors retain copyright * Fast publication times * Peer review by expert, practicing researchers * Post-publication tools to indicate quality and impact * Community-based dialogue on articles * Worldwide media coverage
×
引用
GB/T 7714-2015
复制
MLA
复制
APA
复制
导出至
BibTeX EndNote RefMan NoteFirst NoteExpress
×
提示
您的信息不完整,为了账户安全,请先补充。
现在去补充
×
提示
您因"违规操作"
具体请查看互助需知
我知道了
×
提示
确定
请完成安全验证×
copy
已复制链接
快去分享给好友吧!
我知道了
右上角分享
点击右上角分享
0
联系我们:info@booksci.cn Book学术提供免费学术资源搜索服务,方便国内外学者检索中英文文献。致力于提供最便捷和优质的服务体验。 Copyright © 2023 布克学术 All rights reserved.
京ICP备2023020795号-1
ghs 京公网安备 11010802042870号
Book学术文献互助
Book学术文献互助群
群 号:604180095
Book学术官方微信